预先存在的疼痛对身体对外部疼痛刺激反应的影响:实验研究。

Burcu Ozek, Zhenyuan Lu, Srinivasan Radhakrishnan, Sagar Kamarthi
{"title":"预先存在的疼痛对身体对外部疼痛刺激反应的影响:实验研究。","authors":"Burcu Ozek, Zhenyuan Lu, Srinivasan Radhakrishnan, Sagar Kamarthi","doi":"10.2196/70938","DOIUrl":null,"url":null,"abstract":"<p><strong>Background: </strong>Accurately assessing pain severity is essential for effective pain treatment and desirable patient outcomes. In clinical settings, pain intensity assessment relies on self-reporting methods, which are subjective to individuals and impractical for noncommunicative or critically ill patients. Previous studies have attempted to measure pain objectively using physiological responses to an external pain stimulus, assuming that the participant is free of internal body pain. However, this approach does not reflect the situation in a clinical setting, where a patient subjected to an external pain stimulus may already be experiencing internal body pain.</p><p><strong>Objective: </strong>This study investigates the hypothesis that an individual's physiological response to external pain varies in the presence of preexisting pain.</p><p><strong>Methods: </strong>We recruited 39 healthy participants aged 22-37 years, including 23 female and 16 male participants. Physiological signals, electrodermal activity, and electromyography were recorded while participants were subject to a combination of preexisting heat pain and cold pain stimuli. Feature engineering methods were applied to extract time-series features, and statistical analysis using ANOVA was conducted to assess significance.</p><p><strong>Results: </strong>We found that the preexisting pain influences the body's physiological responses to an external pain stimulus. Several features-particularly those related to temporal statistics, successive differences, and distributions-showed statistically significant variation across varying preexisting pain conditions, with P values <.05 depending on the feature and stimulus.</p><p><strong>Conclusions: </strong>Our findings suggest that preexisting pain alters the body's physiological response to new pain stimuli, highlighting the importance of considering pain history in objective pain assessment models.</p>","PeriodicalId":87288,"journal":{"name":"JMIR biomedical engineering","volume":"10 ","pages":"e70938"},"PeriodicalIF":0.0000,"publicationDate":"2025-08-20","publicationTypes":"Journal Article","fieldsOfStudy":null,"isOpenAccess":false,"openAccessPdf":"https://www.ncbi.nlm.nih.gov/pmc/articles/PMC12367283/pdf/","citationCount":"0","resultStr":"{\"title\":\"Influence of Pre-Existing Pain on the Body's Response to External Pain Stimuli: Experimental Study.\",\"authors\":\"Burcu Ozek, Zhenyuan Lu, Srinivasan Radhakrishnan, Sagar Kamarthi\",\"doi\":\"10.2196/70938\",\"DOIUrl\":null,\"url\":null,\"abstract\":\"<p><strong>Background: </strong>Accurately assessing pain severity is essential for effective pain treatment and desirable patient outcomes. In clinical settings, pain intensity assessment relies on self-reporting methods, which are subjective to individuals and impractical for noncommunicative or critically ill patients. Previous studies have attempted to measure pain objectively using physiological responses to an external pain stimulus, assuming that the participant is free of internal body pain. However, this approach does not reflect the situation in a clinical setting, where a patient subjected to an external pain stimulus may already be experiencing internal body pain.</p><p><strong>Objective: </strong>This study investigates the hypothesis that an individual's physiological response to external pain varies in the presence of preexisting pain.</p><p><strong>Methods: </strong>We recruited 39 healthy participants aged 22-37 years, including 23 female and 16 male participants. Physiological signals, electrodermal activity, and electromyography were recorded while participants were subject to a combination of preexisting heat pain and cold pain stimuli. Feature engineering methods were applied to extract time-series features, and statistical analysis using ANOVA was conducted to assess significance.</p><p><strong>Results: </strong>We found that the preexisting pain influences the body's physiological responses to an external pain stimulus. Several features-particularly those related to temporal statistics, successive differences, and distributions-showed statistically significant variation across varying preexisting pain conditions, with P values <.05 depending on the feature and stimulus.</p><p><strong>Conclusions: </strong>Our findings suggest that preexisting pain alters the body's physiological response to new pain stimuli, highlighting the importance of considering pain history in objective pain assessment models.</p>\",\"PeriodicalId\":87288,\"journal\":{\"name\":\"JMIR biomedical engineering\",\"volume\":\"10 \",\"pages\":\"e70938\"},\"PeriodicalIF\":0.0000,\"publicationDate\":\"2025-08-20\",\"publicationTypes\":\"Journal Article\",\"fieldsOfStudy\":null,\"isOpenAccess\":false,\"openAccessPdf\":\"https://www.ncbi.nlm.nih.gov/pmc/articles/PMC12367283/pdf/\",\"citationCount\":\"0\",\"resultStr\":null,\"platform\":\"Semanticscholar\",\"paperid\":null,\"PeriodicalName\":\"JMIR biomedical engineering\",\"FirstCategoryId\":\"1085\",\"ListUrlMain\":\"https://doi.org/10.2196/70938\",\"RegionNum\":0,\"RegionCategory\":null,\"ArticlePicture\":[],\"TitleCN\":null,\"AbstractTextCN\":null,\"PMCID\":null,\"EPubDate\":\"\",\"PubModel\":\"\",\"JCR\":\"\",\"JCRName\":\"\",\"Score\":null,\"Total\":0}","platform":"Semanticscholar","paperid":null,"PeriodicalName":"JMIR biomedical engineering","FirstCategoryId":"1085","ListUrlMain":"https://doi.org/10.2196/70938","RegionNum":0,"RegionCategory":null,"ArticlePicture":[],"TitleCN":null,"AbstractTextCN":null,"PMCID":null,"EPubDate":"","PubModel":"","JCR":"","JCRName":"","Score":null,"Total":0}
引用次数: 0

摘要

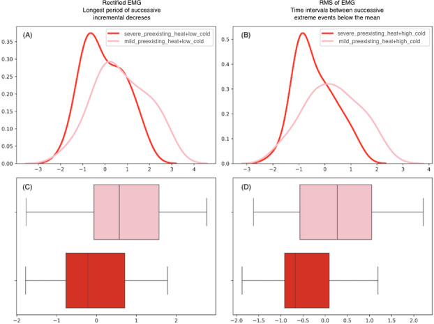
背景:准确评估疼痛严重程度对于有效的疼痛治疗和理想的患者预后至关重要。在临床环境中,疼痛强度评估依赖于自我报告方法,这对个人来说是主观的,对于非交流或危重患者来说是不切实际的。先前的研究试图通过对外部疼痛刺激的生理反应来客观地测量疼痛,假设参与者没有身体内部疼痛。然而,这种方法并不能反映临床环境中的情况,在这种情况下,受到外部疼痛刺激的患者可能已经经历了身体内部的疼痛。目的:本研究探讨了个体对外部疼痛的生理反应在先前存在的疼痛中发生变化的假设。方法:招募年龄22 ~ 37岁的健康受试者39例,其中女性23例,男性16例。当参与者受到预先存在的热痛和冷痛刺激时,记录了生理信号、皮电活动和肌电图。采用特征工程方法提取时间序列特征,并采用方差分析进行统计分析以评估显著性。结果:我们发现先前存在的疼痛会影响身体对外部疼痛刺激的生理反应。结论:我们的研究结果表明,已存在的疼痛会改变身体对新的疼痛刺激的生理反应,这突出了在客观疼痛评估模型中考虑疼痛史的重要性。
本文章由计算机程序翻译,如有差异,请以英文原文为准。

Influence of Pre-Existing Pain on the Body's Response to External Pain Stimuli: Experimental Study.

Influence of Pre-Existing Pain on the Body's Response to External Pain Stimuli: Experimental Study.

Influence of Pre-Existing Pain on the Body's Response to External Pain Stimuli: Experimental Study.

Influence of Pre-Existing Pain on the Body's Response to External Pain Stimuli: Experimental Study.

Background: Accurately assessing pain severity is essential for effective pain treatment and desirable patient outcomes. In clinical settings, pain intensity assessment relies on self-reporting methods, which are subjective to individuals and impractical for noncommunicative or critically ill patients. Previous studies have attempted to measure pain objectively using physiological responses to an external pain stimulus, assuming that the participant is free of internal body pain. However, this approach does not reflect the situation in a clinical setting, where a patient subjected to an external pain stimulus may already be experiencing internal body pain.

Objective: This study investigates the hypothesis that an individual's physiological response to external pain varies in the presence of preexisting pain.

Methods: We recruited 39 healthy participants aged 22-37 years, including 23 female and 16 male participants. Physiological signals, electrodermal activity, and electromyography were recorded while participants were subject to a combination of preexisting heat pain and cold pain stimuli. Feature engineering methods were applied to extract time-series features, and statistical analysis using ANOVA was conducted to assess significance.

Results: We found that the preexisting pain influences the body's physiological responses to an external pain stimulus. Several features-particularly those related to temporal statistics, successive differences, and distributions-showed statistically significant variation across varying preexisting pain conditions, with P values <.05 depending on the feature and stimulus.

Conclusions: Our findings suggest that preexisting pain alters the body's physiological response to new pain stimuli, highlighting the importance of considering pain history in objective pain assessment models.

求助全文
通过发布文献求助,成功后即可免费获取论文全文。 去求助
来源期刊
自引率
0.00%
发文量
0
审稿时长
20 weeks
×
引用
GB/T 7714-2015
复制
MLA
复制
APA
复制
导出至
BibTeX EndNote RefMan NoteFirst NoteExpress
×
提示
您的信息不完整,为了账户安全,请先补充。
现在去补充
×
提示
您因"违规操作"
具体请查看互助需知
我知道了
×
提示
确定
请完成安全验证×
copy
已复制链接
快去分享给好友吧!
我知道了
右上角分享
点击右上角分享
0
联系我们:info@booksci.cn Book学术提供免费学术资源搜索服务,方便国内外学者检索中英文文献。致力于提供最便捷和优质的服务体验。 Copyright © 2023 布克学术 All rights reserved.
京ICP备2023020795号-1
ghs 京公网安备 11010802042870号
Book学术文献互助
Book学术文献互助群
群 号:604180095
Book学术官方微信