有氧适能、脂质比、内脏脂肪指数和青少年高血压风险:一项观察性研究

Danladi Ibrahim Musa, Daniel T Goon, Sunday Omachi, Sunday U Jonathan
{"title":"有氧适能、脂质比、内脏脂肪指数和青少年高血压风险:一项观察性研究","authors":"Danladi Ibrahim Musa, Daniel T Goon, Sunday Omachi, Sunday U Jonathan","doi":"10.5409/wjcp.v14.i3.105939","DOIUrl":null,"url":null,"abstract":"<p><strong>Background: </strong>Hypertension (HTN) is a significant global health concern due to its rising prevalence and associated risks of cardiovascular disease, chronic kidney disease, and other comorbidities. The increasing rates of HTN among youth have been partly attributed to the global rise in childhood obesity, lipid abnormalities, and sedentary lifestyles.</p><p><strong>Aim: </strong>To investigate the independent associations of aerobic fitness (AF), the triglyceride-to-high-density lipoprotein cholesterol (TG/HDL-C) ratio, visceral adiposity index (VAI), and resting blood pressure (BP) in Nigerian adolescents.</p><p><strong>Methods: </strong>A multistage sampling technique was used to select 403 in-school adolescents aged 11-19 years in Kogi East, Nigeria. Participants were assessed for AF, TG/HDL-C ratio, VAI, systolic BP (SBP), and diastolic BP (DBP). The associations between the independent variables and the risk of systolic and diastolic HTN were examined using multivariate regression models, controlling for age and maturity status. Receiver operating characteristics curve (ROC) and area under the curve (AUC) were employed to determine the predictive capacities of the independent variables.</p><p><strong>Results: </strong>The overall prevalence of systolic HTN was 5.5% (girls: 7%; boys: 4%) while diastolic HTN was 12.7% (girls: 16.9%; boys: 8.4%). Among girls, all independent variables showed significant associations with SBP, including fitness (<i>P</i> < 0.001), TG/HDL-C (<i>P</i> < 0.001), and VAI (<i>P</i> < 0.001), with VAI showing the strongest association. In boys, all independent variables except VAI (<i>P</i> = 0.063) were significantly associated with SBP, with fitness showing the stronger predictive power (Fitness, <i>P</i> < 0.001; TG/HDL-C, <i>P</i> = 0.029). For DBP, all independent variables, except fitness in girls (<i>P</i> = 0.099), were significantly associated (<i>P</i> < 0.001) in both sexes. Unfit boys were 1.1 times more likely to develop systolic HTN (95%CI: 1.01-1.15, <i>P</i> = 0.018) and had 1.1 times higher odds of developing diastolic HTN (95%CI: 1.03-1.13, <i>P</i> = 0.001). Only the ROC for DBP turned up significant (<i>P</i> < 0.001) AUCs for TG/HDL-C and VAI in girls only, with 0.6 and 1.0 thresholds respectively.</p><p><strong>Conclusion: </strong>AF, dyslipidemia, and visceral adipose tissue dysfunction were independently associated with the risk of HTN in Nigerian adolescents. These findings highlight the importance of promoting a healthy diet and encouraging aerobic physical activity among adolescents to reduce the risk of HTN.</p>","PeriodicalId":75338,"journal":{"name":"World journal of clinical pediatrics","volume":"14 3","pages":"105939"},"PeriodicalIF":0.0000,"publicationDate":"2025-09-09","publicationTypes":"Journal Article","fieldsOfStudy":null,"isOpenAccess":false,"openAccessPdf":"https://www.ncbi.nlm.nih.gov/pmc/articles/PMC12308586/pdf/","citationCount":"0","resultStr":"{\"title\":\"Aerobic fitness, lipid ratio, visceral adiposity index and risk of hypertension in adolescents: An observational study.\",\"authors\":\"Danladi Ibrahim Musa, Daniel T Goon, Sunday Omachi, Sunday U Jonathan\",\"doi\":\"10.5409/wjcp.v14.i3.105939\",\"DOIUrl\":null,\"url\":null,\"abstract\":\"<p><strong>Background: </strong>Hypertension (HTN) is a significant global health concern due to its rising prevalence and associated risks of cardiovascular disease, chronic kidney disease, and other comorbidities. The increasing rates of HTN among youth have been partly attributed to the global rise in childhood obesity, lipid abnormalities, and sedentary lifestyles.</p><p><strong>Aim: </strong>To investigate the independent associations of aerobic fitness (AF), the triglyceride-to-high-density lipoprotein cholesterol (TG/HDL-C) ratio, visceral adiposity index (VAI), and resting blood pressure (BP) in Nigerian adolescents.</p><p><strong>Methods: </strong>A multistage sampling technique was used to select 403 in-school adolescents aged 11-19 years in Kogi East, Nigeria. Participants were assessed for AF, TG/HDL-C ratio, VAI, systolic BP (SBP), and diastolic BP (DBP). The associations between the independent variables and the risk of systolic and diastolic HTN were examined using multivariate regression models, controlling for age and maturity status. Receiver operating characteristics curve (ROC) and area under the curve (AUC) were employed to determine the predictive capacities of the independent variables.</p><p><strong>Results: </strong>The overall prevalence of systolic HTN was 5.5% (girls: 7%; boys: 4%) while diastolic HTN was 12.7% (girls: 16.9%; boys: 8.4%). Among girls, all independent variables showed significant associations with SBP, including fitness (<i>P</i> < 0.001), TG/HDL-C (<i>P</i> < 0.001), and VAI (<i>P</i> < 0.001), with VAI showing the strongest association. In boys, all independent variables except VAI (<i>P</i> = 0.063) were significantly associated with SBP, with fitness showing the stronger predictive power (Fitness, <i>P</i> < 0.001; TG/HDL-C, <i>P</i> = 0.029). For DBP, all independent variables, except fitness in girls (<i>P</i> = 0.099), were significantly associated (<i>P</i> < 0.001) in both sexes. Unfit boys were 1.1 times more likely to develop systolic HTN (95%CI: 1.01-1.15, <i>P</i> = 0.018) and had 1.1 times higher odds of developing diastolic HTN (95%CI: 1.03-1.13, <i>P</i> = 0.001). Only the ROC for DBP turned up significant (<i>P</i> < 0.001) AUCs for TG/HDL-C and VAI in girls only, with 0.6 and 1.0 thresholds respectively.</p><p><strong>Conclusion: </strong>AF, dyslipidemia, and visceral adipose tissue dysfunction were independently associated with the risk of HTN in Nigerian adolescents. These findings highlight the importance of promoting a healthy diet and encouraging aerobic physical activity among adolescents to reduce the risk of HTN.</p>\",\"PeriodicalId\":75338,\"journal\":{\"name\":\"World journal of clinical pediatrics\",\"volume\":\"14 3\",\"pages\":\"105939\"},\"PeriodicalIF\":0.0000,\"publicationDate\":\"2025-09-09\",\"publicationTypes\":\"Journal Article\",\"fieldsOfStudy\":null,\"isOpenAccess\":false,\"openAccessPdf\":\"https://www.ncbi.nlm.nih.gov/pmc/articles/PMC12308586/pdf/\",\"citationCount\":\"0\",\"resultStr\":null,\"platform\":\"Semanticscholar\",\"paperid\":null,\"PeriodicalName\":\"World journal of clinical pediatrics\",\"FirstCategoryId\":\"1085\",\"ListUrlMain\":\"https://doi.org/10.5409/wjcp.v14.i3.105939\",\"RegionNum\":0,\"RegionCategory\":null,\"ArticlePicture\":[],\"TitleCN\":null,\"AbstractTextCN\":null,\"PMCID\":null,\"EPubDate\":\"\",\"PubModel\":\"\",\"JCR\":\"\",\"JCRName\":\"\",\"Score\":null,\"Total\":0}","platform":"Semanticscholar","paperid":null,"PeriodicalName":"World journal of clinical pediatrics","FirstCategoryId":"1085","ListUrlMain":"https://doi.org/10.5409/wjcp.v14.i3.105939","RegionNum":0,"RegionCategory":null,"ArticlePicture":[],"TitleCN":null,"AbstractTextCN":null,"PMCID":null,"EPubDate":"","PubModel":"","JCR":"","JCRName":"","Score":null,"Total":0}
引用次数: 0

摘要

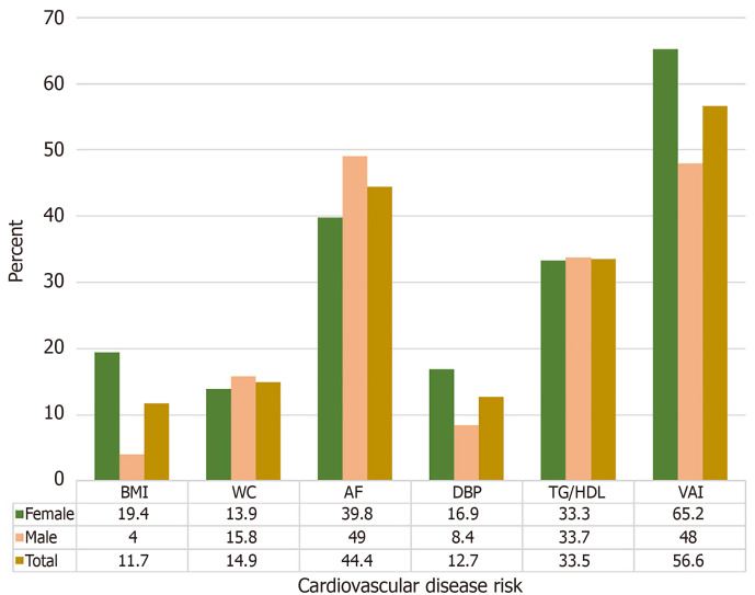
背景:高血压(HTN)是一个重要的全球健康问题,由于其患病率上升和相关的心血管疾病、慢性肾脏疾病和其他合并症的风险。青少年HTN发病率的上升部分归因于全球儿童肥胖、脂质异常和久坐不动的生活方式的增加。目的:探讨尼日利亚青少年有氧适能(AF)、甘油三酯与高密度脂蛋白胆固醇(TG/HDL-C)比值、内脏脂肪指数(VAI)和静息血压(BP)的独立相关性。方法:采用多阶段抽样方法,对尼日利亚东科吉地区11 ~ 19岁的403名在校青少年进行调查。评估参与者房颤、TG/HDL-C比值、VAI、收缩压(SBP)和舒张压(DBP)。在控制年龄和成熟状态的情况下,使用多变量回归模型检验自变量与收缩期和舒张期HTN风险之间的关系。采用受试者工作特征曲线(ROC)和曲线下面积(AUC)来确定自变量的预测能力。结果:收缩期HTN总患病率为5.5%(女孩7%,男孩4%),舒张期HTN总患病率为12.7%(女孩16.9%,男孩8.4%)。在女孩中,所有自变量均与收缩压有显著相关性,包括健身(P < 0.001)、TG/HDL-C (P < 0.001)和VAI (P < 0.001),其中VAI相关性最强。在男孩中,除VAI (P = 0.063)外,所有自变量均与收缩压显著相关,其中适应度的预测能力更强(fitness, P < 0.001; TG/HDL-C, P = 0.029)。对于DBP,除女孩的适应度(P = 0.099)外,所有自变量在两性中均显著相关(P < 0.001)。不健康男孩发生收缩期HTN的可能性是正常男孩的1.1倍(95%CI: 1.01-1.15, P = 0.018),发生舒张期HTN的可能性是正常男孩的1.1倍(95%CI: 1.03-1.13, P = 0.001)。只有DBP的ROC出现显著差异(P < 0.001),女孩的TG/HDL-C和VAI的auc分别为0.6和1.0阈值。结论:房颤、血脂异常和内脏脂肪组织功能障碍与尼日利亚青少年HTN的风险独立相关。这些发现强调了在青少年中促进健康饮食和鼓励有氧体育活动以降低HTN风险的重要性。
本文章由计算机程序翻译,如有差异,请以英文原文为准。

Aerobic fitness, lipid ratio, visceral adiposity index and risk of hypertension in adolescents: An observational study.

Aerobic fitness, lipid ratio, visceral adiposity index and risk of hypertension in adolescents: An observational study.

Aerobic fitness, lipid ratio, visceral adiposity index and risk of hypertension in adolescents: An observational study.

Aerobic fitness, lipid ratio, visceral adiposity index and risk of hypertension in adolescents: An observational study.

Background: Hypertension (HTN) is a significant global health concern due to its rising prevalence and associated risks of cardiovascular disease, chronic kidney disease, and other comorbidities. The increasing rates of HTN among youth have been partly attributed to the global rise in childhood obesity, lipid abnormalities, and sedentary lifestyles.

Aim: To investigate the independent associations of aerobic fitness (AF), the triglyceride-to-high-density lipoprotein cholesterol (TG/HDL-C) ratio, visceral adiposity index (VAI), and resting blood pressure (BP) in Nigerian adolescents.

Methods: A multistage sampling technique was used to select 403 in-school adolescents aged 11-19 years in Kogi East, Nigeria. Participants were assessed for AF, TG/HDL-C ratio, VAI, systolic BP (SBP), and diastolic BP (DBP). The associations between the independent variables and the risk of systolic and diastolic HTN were examined using multivariate regression models, controlling for age and maturity status. Receiver operating characteristics curve (ROC) and area under the curve (AUC) were employed to determine the predictive capacities of the independent variables.

Results: The overall prevalence of systolic HTN was 5.5% (girls: 7%; boys: 4%) while diastolic HTN was 12.7% (girls: 16.9%; boys: 8.4%). Among girls, all independent variables showed significant associations with SBP, including fitness (P < 0.001), TG/HDL-C (P < 0.001), and VAI (P < 0.001), with VAI showing the strongest association. In boys, all independent variables except VAI (P = 0.063) were significantly associated with SBP, with fitness showing the stronger predictive power (Fitness, P < 0.001; TG/HDL-C, P = 0.029). For DBP, all independent variables, except fitness in girls (P = 0.099), were significantly associated (P < 0.001) in both sexes. Unfit boys were 1.1 times more likely to develop systolic HTN (95%CI: 1.01-1.15, P = 0.018) and had 1.1 times higher odds of developing diastolic HTN (95%CI: 1.03-1.13, P = 0.001). Only the ROC for DBP turned up significant (P < 0.001) AUCs for TG/HDL-C and VAI in girls only, with 0.6 and 1.0 thresholds respectively.

Conclusion: AF, dyslipidemia, and visceral adipose tissue dysfunction were independently associated with the risk of HTN in Nigerian adolescents. These findings highlight the importance of promoting a healthy diet and encouraging aerobic physical activity among adolescents to reduce the risk of HTN.

求助全文
通过发布文献求助,成功后即可免费获取论文全文。 去求助
来源期刊
CiteScore
3.20
自引率
0.00%
发文量
0
×
引用
GB/T 7714-2015
复制
MLA
复制
APA
复制
导出至
BibTeX EndNote RefMan NoteFirst NoteExpress
×
提示
您的信息不完整,为了账户安全,请先补充。
现在去补充
×
提示
您因"违规操作"
具体请查看互助需知
我知道了
×
提示
确定
请完成安全验证×
copy
已复制链接
快去分享给好友吧!
我知道了
右上角分享
点击右上角分享
0
联系我们:info@booksci.cn Book学术提供免费学术资源搜索服务,方便国内外学者检索中英文文献。致力于提供最便捷和优质的服务体验。 Copyright © 2023 布克学术 All rights reserved.
京ICP备2023020795号-1
ghs 京公网安备 11010802042870号
Book学术文献互助
Book学术文献互助群
群 号:604180095
Book学术官方微信