围产期侮辱维度与类精神病经历的发展轨迹。

IF 4.1 Q2 PSYCHIATRY
Eric R Larson, Nicole R Karcher, Alexandra B Moussa-Tooks
{"title":"围产期侮辱维度与类精神病经历的发展轨迹。","authors":"Eric R Larson, Nicole R Karcher, Alexandra B Moussa-Tooks","doi":"10.1038/s41537-025-00662-6","DOIUrl":null,"url":null,"abstract":"<p><p>Perinatal insults (e.g., obstetric complications, substance exposure) are increasing in prevalence and confer risk for psychotic-like experiences in offspring, contributing to a growing public health burden. Perinatal insults often co-occur, creating methodological challenges in understanding their impacts on psychosis-spectrum phenotypes. Data-driven approaches to organizing perinatal insults and testing their longitudinal effects on psychotic-like experiences in youth increases ecological validity and translational utility. Using data from 11,417 youth ages 9-14 across five years of the Adolescent Brain Cognitive Development (ABCD) Study, data-driven dimensions of perinatal insults were derived through exploratory factor analysis of thirty-one perinatal insults. Latent growth modeling tested the effect of perinatal insult dimensions on trajectories (baseline, rate-of-change, year-four severity) of distressing psychotic-like experiences. Six dimensions of perinatal insults were observed (substance exposure, obstetric complications, birth complications, postnatal challenges, parental age, medical needs). Substance exposure (β = 0.42, 95% CI [0.20, 0.63]), obstetric complications (β = 0.34, 95% CI [0.08, 0.61]), and parental age (β = 1.00, 95% CI [0.76, 1.22]) were associated with elevated baseline psychotic-like experiences. Perinatal insult dimensions were not associated with increasing rates-of-change in psychotic-like experiences. Medical needs (β = -0.12, 95% CI [-0.20, -0.05]) and parental age (β = -0.11, 95% CI [-0.18, -0.03]) were associated with steeper declines in psychotic-like experiences. Perinatal insult dimensions remained associated with elevated psychotic-like experiences at year-four. Data-driven dimensions of perinatal insults are associated with stably elevated psychotic-like experience trajectories across early adolescence. Given the role of psychotic-like experiences in later psychopathology and functioning, early identification of at-risk offspring is critical in reducing the public health burden of these exposures.</p>","PeriodicalId":74758,"journal":{"name":"Schizophrenia (Heidelberg, Germany)","volume":"11 1","pages":"115"},"PeriodicalIF":4.1000,"publicationDate":"2025-08-25","publicationTypes":"Journal Article","fieldsOfStudy":null,"isOpenAccess":false,"openAccessPdf":"https://www.ncbi.nlm.nih.gov/pmc/articles/PMC12379231/pdf/","citationCount":"0","resultStr":"{\"title\":\"Perinatal insult dimensions and developmental trajectories of psychotic-like experiences.\",\"authors\":\"Eric R Larson, Nicole R Karcher, Alexandra B Moussa-Tooks\",\"doi\":\"10.1038/s41537-025-00662-6\",\"DOIUrl\":null,\"url\":null,\"abstract\":\"<p><p>Perinatal insults (e.g., obstetric complications, substance exposure) are increasing in prevalence and confer risk for psychotic-like experiences in offspring, contributing to a growing public health burden. Perinatal insults often co-occur, creating methodological challenges in understanding their impacts on psychosis-spectrum phenotypes. Data-driven approaches to organizing perinatal insults and testing their longitudinal effects on psychotic-like experiences in youth increases ecological validity and translational utility. Using data from 11,417 youth ages 9-14 across five years of the Adolescent Brain Cognitive Development (ABCD) Study, data-driven dimensions of perinatal insults were derived through exploratory factor analysis of thirty-one perinatal insults. Latent growth modeling tested the effect of perinatal insult dimensions on trajectories (baseline, rate-of-change, year-four severity) of distressing psychotic-like experiences. Six dimensions of perinatal insults were observed (substance exposure, obstetric complications, birth complications, postnatal challenges, parental age, medical needs). Substance exposure (β = 0.42, 95% CI [0.20, 0.63]), obstetric complications (β = 0.34, 95% CI [0.08, 0.61]), and parental age (β = 1.00, 95% CI [0.76, 1.22]) were associated with elevated baseline psychotic-like experiences. Perinatal insult dimensions were not associated with increasing rates-of-change in psychotic-like experiences. Medical needs (β = -0.12, 95% CI [-0.20, -0.05]) and parental age (β = -0.11, 95% CI [-0.18, -0.03]) were associated with steeper declines in psychotic-like experiences. Perinatal insult dimensions remained associated with elevated psychotic-like experiences at year-four. Data-driven dimensions of perinatal insults are associated with stably elevated psychotic-like experience trajectories across early adolescence. Given the role of psychotic-like experiences in later psychopathology and functioning, early identification of at-risk offspring is critical in reducing the public health burden of these exposures.</p>\",\"PeriodicalId\":74758,\"journal\":{\"name\":\"Schizophrenia (Heidelberg, Germany)\",\"volume\":\"11 1\",\"pages\":\"115\"},\"PeriodicalIF\":4.1000,\"publicationDate\":\"2025-08-25\",\"publicationTypes\":\"Journal Article\",\"fieldsOfStudy\":null,\"isOpenAccess\":false,\"openAccessPdf\":\"https://www.ncbi.nlm.nih.gov/pmc/articles/PMC12379231/pdf/\",\"citationCount\":\"0\",\"resultStr\":null,\"platform\":\"Semanticscholar\",\"paperid\":null,\"PeriodicalName\":\"Schizophrenia (Heidelberg, Germany)\",\"FirstCategoryId\":\"1085\",\"ListUrlMain\":\"https://doi.org/10.1038/s41537-025-00662-6\",\"RegionNum\":0,\"RegionCategory\":null,\"ArticlePicture\":[],\"TitleCN\":null,\"AbstractTextCN\":null,\"PMCID\":null,\"EPubDate\":\"\",\"PubModel\":\"\",\"JCR\":\"Q2\",\"JCRName\":\"PSYCHIATRY\",\"Score\":null,\"Total\":0}","platform":"Semanticscholar","paperid":null,"PeriodicalName":"Schizophrenia (Heidelberg, Germany)","FirstCategoryId":"1085","ListUrlMain":"https://doi.org/10.1038/s41537-025-00662-6","RegionNum":0,"RegionCategory":null,"ArticlePicture":[],"TitleCN":null,"AbstractTextCN":null,"PMCID":null,"EPubDate":"","PubModel":"","JCR":"Q2","JCRName":"PSYCHIATRY","Score":null,"Total":0}
引用次数: 0

摘要

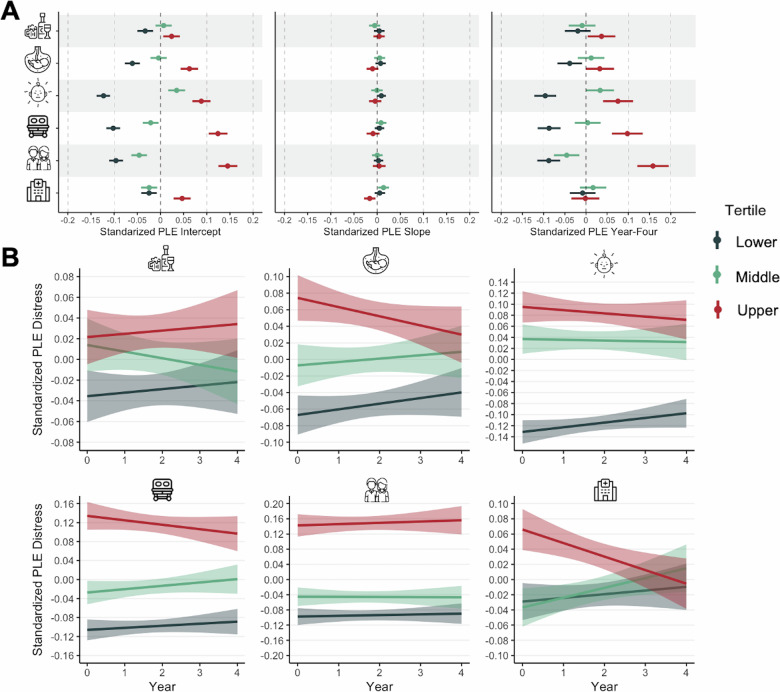
围产期侮辱(例如,产科并发症、物质接触)的发病率正在增加,并给后代带来类似精神疾病的风险,造成越来越大的公共卫生负担。围产期侮辱通常同时发生,在理解其对精神病谱系表型的影响方面产生了方法学上的挑战。数据驱动的方法来组织围产期侮辱和测试他们的纵向影响精神样经验的青年增加生态效度和转化效用。利用5年间11,417名9-14岁青少年大脑认知发展(ABCD)研究的数据,通过对31项围产期侮辱进行探索性因素分析,得出围产期侮辱的数据驱动维度。潜在增长模型测试了围产期侮辱维度对令人痛苦的精神样经历的轨迹(基线、变化率、四年严重性)的影响。观察了围产期侮辱的六个方面(物质接触、产科并发症、分娩并发症、产后挑战、父母年龄、医疗需求)。物质暴露(β = 0.42, 95% CI[0.20, 0.63])、产科并发症(β = 0.34, 95% CI[0.08, 0.61])和父母年龄(β = 1.00, 95% CI[0.76, 1.22])与基线精神样经历升高相关。围产期侮辱维度与精神病样经历的变化率增加无关。医疗需求(β = -0.12, 95% CI[-0.20, -0.05])和父母年龄(β = -0.11, 95% CI[-0.18, -0.03])与类精神病经历的急剧下降有关。围产期侮辱维度仍然与四岁时精神样经历的升高有关。围产期侮辱的数据驱动维度与青春期早期稳定升高的精神病样经验轨迹有关。鉴于类精神病经历在后期精神病理和功能中的作用,早期识别有风险的后代对于减轻这些暴露的公共卫生负担至关重要。
本文章由计算机程序翻译,如有差异,请以英文原文为准。

Perinatal insult dimensions and developmental trajectories of psychotic-like experiences.

Perinatal insult dimensions and developmental trajectories of psychotic-like experiences.

Perinatal insult dimensions and developmental trajectories of psychotic-like experiences.

Perinatal insult dimensions and developmental trajectories of psychotic-like experiences.

Perinatal insults (e.g., obstetric complications, substance exposure) are increasing in prevalence and confer risk for psychotic-like experiences in offspring, contributing to a growing public health burden. Perinatal insults often co-occur, creating methodological challenges in understanding their impacts on psychosis-spectrum phenotypes. Data-driven approaches to organizing perinatal insults and testing their longitudinal effects on psychotic-like experiences in youth increases ecological validity and translational utility. Using data from 11,417 youth ages 9-14 across five years of the Adolescent Brain Cognitive Development (ABCD) Study, data-driven dimensions of perinatal insults were derived through exploratory factor analysis of thirty-one perinatal insults. Latent growth modeling tested the effect of perinatal insult dimensions on trajectories (baseline, rate-of-change, year-four severity) of distressing psychotic-like experiences. Six dimensions of perinatal insults were observed (substance exposure, obstetric complications, birth complications, postnatal challenges, parental age, medical needs). Substance exposure (β = 0.42, 95% CI [0.20, 0.63]), obstetric complications (β = 0.34, 95% CI [0.08, 0.61]), and parental age (β = 1.00, 95% CI [0.76, 1.22]) were associated with elevated baseline psychotic-like experiences. Perinatal insult dimensions were not associated with increasing rates-of-change in psychotic-like experiences. Medical needs (β = -0.12, 95% CI [-0.20, -0.05]) and parental age (β = -0.11, 95% CI [-0.18, -0.03]) were associated with steeper declines in psychotic-like experiences. Perinatal insult dimensions remained associated with elevated psychotic-like experiences at year-four. Data-driven dimensions of perinatal insults are associated with stably elevated psychotic-like experience trajectories across early adolescence. Given the role of psychotic-like experiences in later psychopathology and functioning, early identification of at-risk offspring is critical in reducing the public health burden of these exposures.

求助全文
通过发布文献求助,成功后即可免费获取论文全文。 去求助
来源期刊
自引率
0.00%
发文量
0
×
引用
GB/T 7714-2015
复制
MLA
复制
APA
复制
导出至
BibTeX EndNote RefMan NoteFirst NoteExpress
×
提示
您的信息不完整,为了账户安全,请先补充。
现在去补充
×
提示
您因"违规操作"
具体请查看互助需知
我知道了
×
提示
确定
请完成安全验证×
copy
已复制链接
快去分享给好友吧!
我知道了
右上角分享
点击右上角分享
0
联系我们:info@booksci.cn Book学术提供免费学术资源搜索服务,方便国内外学者检索中英文文献。致力于提供最便捷和优质的服务体验。 Copyright © 2023 布克学术 All rights reserved.
京ICP备2023020795号-1
ghs 京公网安备 11010802042870号
Book学术文献互助
Book学术文献互助群
群 号:604180095
Book学术官方微信