唾液皮质醇和牙周炎严重程度:基于压力和炎症的横断面生物标志物评估。

IF 4.4 Q1 Medicine
Velitchka Dosseva-Panova, Antoaneta Mlachkova, Marina Miteva, Dimitar Dimitrov
{"title":"唾液皮质醇和牙周炎严重程度:基于压力和炎症的横断面生物标志物评估。","authors":"Velitchka Dosseva-Panova, Antoaneta Mlachkova, Marina Miteva, Dimitar Dimitrov","doi":"10.3390/medsci13030120","DOIUrl":null,"url":null,"abstract":"<p><p><b>Background:</b> Psychological stress is increasingly recognized as a potential modifier of periodontal disease through both behavioral and biological mechanisms. Cortisol, a key stress hormone, exerts complex immunomodulatory effects and may influence periodontal inflammation and tissue breakdown. This study aimed to compare salivary levels of cortisol, interleukin-1β, and interleukin-6 in patients with varying periodontitis severity and examine their associations with clinical periodontal parameters. <b>Methods:</b> A total of 67 patients diagnosed with periodontitis were classified according to the 2017 World Workshop Classification into Stage I/II vs. Stage III/IV and Grade B vs. Grade C. Unstimulated saliva samples were collected and analyzed for cortisol using electrochemiluminescence immunoassay, and for IL-1β and IL-6 using ELISA. Statistical analyses included Mann-Whitney U test, Spearman's correlations, and multivariate regression. <b>Results:</b> Median salivary cortisol levels were significantly higher in Stage III/IV (11.90 nmol/L) than in Stage I/II (7.64 nmol/L; <i>p</i> = 0.014) and in Grade C (10.60 nmol/L) vs. Grade B (7.70 nmol/L; <i>p</i> = 0.019). In multivariate analysis, cortisol independently predicted both Stage III/IV (OR = 1.23, <i>p</i> = 0.007) and Grade C (OR = 1.24, <i>p</i> = 0.026) periodontitis. ROC analysis showed that salivary cortisol had moderate diagnostic performance for Stage III/IV periodontitis (AUC = 0.68, cut-off 11.57 nmol/L) and Grade C (AUC = 0.67, cut-off 9.76 nmol/L). Cortisol showed significant positive correlations with clinical markers of disease severity and with IL-1β (r = 0.399, <i>p</i> = 0.001) and IL-6 (r = 0.424, <i>p</i> < 0.001). <b>Conclusions:</b> Salivary cortisol is a promising non-invasive biomarker reflecting both stress-related physiological burden and clinical severity in periodontitis. Cortisol measurement may represent a valuable addition to multifactorial assessments and risk stratification in periodontitis, pending further validation in longitudinal studies.</p>","PeriodicalId":74152,"journal":{"name":"Medical sciences (Basel, Switzerland)","volume":"13 3","pages":""},"PeriodicalIF":4.4000,"publicationDate":"2025-08-08","publicationTypes":"Journal Article","fieldsOfStudy":null,"isOpenAccess":false,"openAccessPdf":"https://www.ncbi.nlm.nih.gov/pmc/articles/PMC12372139/pdf/","citationCount":"0","resultStr":"{\"title\":\"Salivary Cortisol and Periodontitis Severity: A Cross-Sectional Biomarker-Based Assessment of Stress and Inflammation.\",\"authors\":\"Velitchka Dosseva-Panova, Antoaneta Mlachkova, Marina Miteva, Dimitar Dimitrov\",\"doi\":\"10.3390/medsci13030120\",\"DOIUrl\":null,\"url\":null,\"abstract\":\"<p><p><b>Background:</b> Psychological stress is increasingly recognized as a potential modifier of periodontal disease through both behavioral and biological mechanisms. Cortisol, a key stress hormone, exerts complex immunomodulatory effects and may influence periodontal inflammation and tissue breakdown. This study aimed to compare salivary levels of cortisol, interleukin-1β, and interleukin-6 in patients with varying periodontitis severity and examine their associations with clinical periodontal parameters. <b>Methods:</b> A total of 67 patients diagnosed with periodontitis were classified according to the 2017 World Workshop Classification into Stage I/II vs. Stage III/IV and Grade B vs. Grade C. Unstimulated saliva samples were collected and analyzed for cortisol using electrochemiluminescence immunoassay, and for IL-1β and IL-6 using ELISA. Statistical analyses included Mann-Whitney U test, Spearman's correlations, and multivariate regression. <b>Results:</b> Median salivary cortisol levels were significantly higher in Stage III/IV (11.90 nmol/L) than in Stage I/II (7.64 nmol/L; <i>p</i> = 0.014) and in Grade C (10.60 nmol/L) vs. Grade B (7.70 nmol/L; <i>p</i> = 0.019). In multivariate analysis, cortisol independently predicted both Stage III/IV (OR = 1.23, <i>p</i> = 0.007) and Grade C (OR = 1.24, <i>p</i> = 0.026) periodontitis. ROC analysis showed that salivary cortisol had moderate diagnostic performance for Stage III/IV periodontitis (AUC = 0.68, cut-off 11.57 nmol/L) and Grade C (AUC = 0.67, cut-off 9.76 nmol/L). Cortisol showed significant positive correlations with clinical markers of disease severity and with IL-1β (r = 0.399, <i>p</i> = 0.001) and IL-6 (r = 0.424, <i>p</i> < 0.001). <b>Conclusions:</b> Salivary cortisol is a promising non-invasive biomarker reflecting both stress-related physiological burden and clinical severity in periodontitis. Cortisol measurement may represent a valuable addition to multifactorial assessments and risk stratification in periodontitis, pending further validation in longitudinal studies.</p>\",\"PeriodicalId\":74152,\"journal\":{\"name\":\"Medical sciences (Basel, Switzerland)\",\"volume\":\"13 3\",\"pages\":\"\"},\"PeriodicalIF\":4.4000,\"publicationDate\":\"2025-08-08\",\"publicationTypes\":\"Journal Article\",\"fieldsOfStudy\":null,\"isOpenAccess\":false,\"openAccessPdf\":\"https://www.ncbi.nlm.nih.gov/pmc/articles/PMC12372139/pdf/\",\"citationCount\":\"0\",\"resultStr\":null,\"platform\":\"Semanticscholar\",\"paperid\":null,\"PeriodicalName\":\"Medical sciences (Basel, Switzerland)\",\"FirstCategoryId\":\"1085\",\"ListUrlMain\":\"https://doi.org/10.3390/medsci13030120\",\"RegionNum\":0,\"RegionCategory\":null,\"ArticlePicture\":[],\"TitleCN\":null,\"AbstractTextCN\":null,\"PMCID\":null,\"EPubDate\":\"\",\"PubModel\":\"\",\"JCR\":\"Q1\",\"JCRName\":\"Medicine\",\"Score\":null,\"Total\":0}","platform":"Semanticscholar","paperid":null,"PeriodicalName":"Medical sciences (Basel, Switzerland)","FirstCategoryId":"1085","ListUrlMain":"https://doi.org/10.3390/medsci13030120","RegionNum":0,"RegionCategory":null,"ArticlePicture":[],"TitleCN":null,"AbstractTextCN":null,"PMCID":null,"EPubDate":"","PubModel":"","JCR":"Q1","JCRName":"Medicine","Score":null,"Total":0}
引用次数: 0

摘要

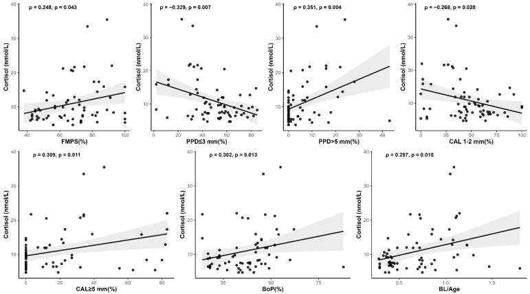
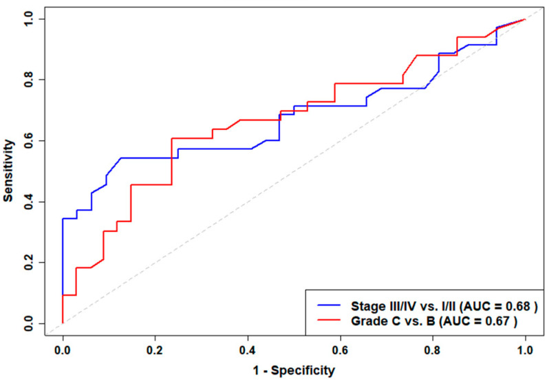
背景:心理压力越来越被认为是牙周病的一个潜在的调节因素,通过行为和生物学机制。皮质醇是一种关键的应激激素,具有复杂的免疫调节作用,可能影响牙周炎症和组织破坏。本研究旨在比较不同牙周炎严重程度患者唾液中皮质醇、白细胞介素-1β和白细胞介素-6的水平,并研究它们与临床牙周参数的关系。方法:根据2017年世界研讨会分类,将67例诊断为牙周炎的患者分为I/II期与III/IV期,B级与c级。收集未刺激唾液样本,使用电化学发光免疫分析法分析皮质醇,使用ELISA法分析IL-1β和IL-6。统计分析包括Mann-Whitney U检验、Spearman相关和多元回归。结果:III/IV期患者唾液皮质醇水平中位数(11.90 nmol/L)显著高于I/II期患者(7.64 nmol/L, p = 0.014), C级患者(10.60 nmol/L)显著高于B级患者(7.70 nmol/L, p = 0.019)。在多变量分析中,皮质醇独立预测III/IV期牙周炎(OR = 1.23, p = 0.007)和C级牙周炎(OR = 1.24, p = 0.026)。ROC分析显示,唾液皮质醇对III/IV期牙周炎(AUC = 0.68,截止值为11.57 nmol/L)和C级牙周炎(AUC = 0.67,截止值为9.76 nmol/L)具有中等诊断作用。皮质醇与疾病严重程度临床指标、IL-1β (r = 0.399, p = 0.001)、IL-6 (r = 0.424, p < 0.001)呈显著正相关。结论:唾液皮质醇是一种很有前途的非侵入性生物标志物,可以反映牙周炎患者的应激相关生理负担和临床严重程度。皮质醇测量可能是牙周炎多因素评估和风险分层的一个有价值的补充,有待于进一步的纵向研究验证。
本文章由计算机程序翻译,如有差异,请以英文原文为准。

Salivary Cortisol and Periodontitis Severity: A Cross-Sectional Biomarker-Based Assessment of Stress and Inflammation.

Salivary Cortisol and Periodontitis Severity: A Cross-Sectional Biomarker-Based Assessment of Stress and Inflammation.

Salivary Cortisol and Periodontitis Severity: A Cross-Sectional Biomarker-Based Assessment of Stress and Inflammation.

Salivary Cortisol and Periodontitis Severity: A Cross-Sectional Biomarker-Based Assessment of Stress and Inflammation.

Background: Psychological stress is increasingly recognized as a potential modifier of periodontal disease through both behavioral and biological mechanisms. Cortisol, a key stress hormone, exerts complex immunomodulatory effects and may influence periodontal inflammation and tissue breakdown. This study aimed to compare salivary levels of cortisol, interleukin-1β, and interleukin-6 in patients with varying periodontitis severity and examine their associations with clinical periodontal parameters. Methods: A total of 67 patients diagnosed with periodontitis were classified according to the 2017 World Workshop Classification into Stage I/II vs. Stage III/IV and Grade B vs. Grade C. Unstimulated saliva samples were collected and analyzed for cortisol using electrochemiluminescence immunoassay, and for IL-1β and IL-6 using ELISA. Statistical analyses included Mann-Whitney U test, Spearman's correlations, and multivariate regression. Results: Median salivary cortisol levels were significantly higher in Stage III/IV (11.90 nmol/L) than in Stage I/II (7.64 nmol/L; p = 0.014) and in Grade C (10.60 nmol/L) vs. Grade B (7.70 nmol/L; p = 0.019). In multivariate analysis, cortisol independently predicted both Stage III/IV (OR = 1.23, p = 0.007) and Grade C (OR = 1.24, p = 0.026) periodontitis. ROC analysis showed that salivary cortisol had moderate diagnostic performance for Stage III/IV periodontitis (AUC = 0.68, cut-off 11.57 nmol/L) and Grade C (AUC = 0.67, cut-off 9.76 nmol/L). Cortisol showed significant positive correlations with clinical markers of disease severity and with IL-1β (r = 0.399, p = 0.001) and IL-6 (r = 0.424, p < 0.001). Conclusions: Salivary cortisol is a promising non-invasive biomarker reflecting both stress-related physiological burden and clinical severity in periodontitis. Cortisol measurement may represent a valuable addition to multifactorial assessments and risk stratification in periodontitis, pending further validation in longitudinal studies.

求助全文
通过发布文献求助,成功后即可免费获取论文全文。 去求助
来源期刊
CiteScore
9.00
自引率
0.00%
发文量
0
审稿时长
6 weeks
×
引用
GB/T 7714-2015
复制
MLA
复制
APA
复制
导出至
BibTeX EndNote RefMan NoteFirst NoteExpress
×
提示
您的信息不完整,为了账户安全,请先补充。
现在去补充
×
提示
您因"违规操作"
具体请查看互助需知
我知道了
×
提示
确定
请完成安全验证×
copy
已复制链接
快去分享给好友吧!
我知道了
右上角分享
点击右上角分享
0
联系我们:info@booksci.cn Book学术提供免费学术资源搜索服务,方便国内外学者检索中英文文献。致力于提供最便捷和优质的服务体验。 Copyright © 2023 布克学术 All rights reserved.
京ICP备2023020795号-1
ghs 京公网安备 11010802042870号
Book学术文献互助
Book学术文献互助群
群 号:604180095
Book学术官方微信