评估生殖器硬化地衣的生活质量:疾病严重程度和定位的作用——一项瑞典前瞻性队列研究

IF 4.4 Q1 Medicine
Filippa Lundin, Cassandra Jeppsson, Oliver Seifert, Georgios Kravvas, Sandra Jerkovic Gulin
{"title":"评估生殖器硬化地衣的生活质量:疾病严重程度和定位的作用——一项瑞典前瞻性队列研究","authors":"Filippa Lundin, Cassandra Jeppsson, Oliver Seifert, Georgios Kravvas, Sandra Jerkovic Gulin","doi":"10.3390/medsci13030111","DOIUrl":null,"url":null,"abstract":"<p><strong>Introduction: </strong>Lichen sclerosus (LSc) is a chronic, progressive, inflammatory skin disease that primarily affects the anogenital region in both sexes and across all age groups.</p><p><strong>Aim: </strong>To investigate the relationship between quality of life (QoL) and disease severity, as measured by a newly developed Lichen Sclerosus Score (LSc score), with respect to anatomical site before and after 12 weeks of treatment.</p><p><strong>Methods: </strong>A total of 136 patients diagnosed with LSc (88 men, 48 women) were enrolled between March and September 2022. Patients were clinically evaluated using the LSc score and completed the Dermatology Life Quality Index (DLQI). Treatment was individualized based on clinical findings and history. At 12 weeks, both clinical assessment and DLQI were repeated.</p><p><strong>Results: </strong>LSc scores significantly decreased following treatment (<i>p</i> < 0.001), except in the female subgroup. In men, LSc scores were strongly correlated with DLQI scores both before (r = 0.709; <i>p</i> < 0.001) and after (r = 0.492; <i>p</i> < 0.001) treatment. Among women, a significant correlation was found only before treatment (r = 0.457; <i>p</i> < 0.001). Significant associations were identified between LSc score and DLQI items 1, 8, and 9 in men and the overall cohort. No statistically significant differences in LSc scores or DLQI were observed across anatomical sites after correction for multiple comparisons.</p><p><strong>Conclusions: </strong>Disease severity in genital LSc is closely associated with QoL impairment. This is, to our knowledge, the first study to examine the correlation between a clinical severity score and DLQI. While anatomical site did not significantly affect scores, certain sites may have a disproportionate impact, underscoring the complex ways in which LSc affects patients' lives.</p>","PeriodicalId":74152,"journal":{"name":"Medical sciences (Basel, Switzerland)","volume":"13 3","pages":""},"PeriodicalIF":4.4000,"publicationDate":"2025-08-05","publicationTypes":"Journal Article","fieldsOfStudy":null,"isOpenAccess":false,"openAccessPdf":"https://www.ncbi.nlm.nih.gov/pmc/articles/PMC12371901/pdf/","citationCount":"0","resultStr":"{\"title\":\"Assessing Quality of Life in Genital Lichen Sclerosus: The Role of Disease Severity and Localization-A Swedish Prospective Cohort Study.\",\"authors\":\"Filippa Lundin, Cassandra Jeppsson, Oliver Seifert, Georgios Kravvas, Sandra Jerkovic Gulin\",\"doi\":\"10.3390/medsci13030111\",\"DOIUrl\":null,\"url\":null,\"abstract\":\"<p><strong>Introduction: </strong>Lichen sclerosus (LSc) is a chronic, progressive, inflammatory skin disease that primarily affects the anogenital region in both sexes and across all age groups.</p><p><strong>Aim: </strong>To investigate the relationship between quality of life (QoL) and disease severity, as measured by a newly developed Lichen Sclerosus Score (LSc score), with respect to anatomical site before and after 12 weeks of treatment.</p><p><strong>Methods: </strong>A total of 136 patients diagnosed with LSc (88 men, 48 women) were enrolled between March and September 2022. Patients were clinically evaluated using the LSc score and completed the Dermatology Life Quality Index (DLQI). Treatment was individualized based on clinical findings and history. At 12 weeks, both clinical assessment and DLQI were repeated.</p><p><strong>Results: </strong>LSc scores significantly decreased following treatment (<i>p</i> < 0.001), except in the female subgroup. In men, LSc scores were strongly correlated with DLQI scores both before (r = 0.709; <i>p</i> < 0.001) and after (r = 0.492; <i>p</i> < 0.001) treatment. Among women, a significant correlation was found only before treatment (r = 0.457; <i>p</i> < 0.001). Significant associations were identified between LSc score and DLQI items 1, 8, and 9 in men and the overall cohort. No statistically significant differences in LSc scores or DLQI were observed across anatomical sites after correction for multiple comparisons.</p><p><strong>Conclusions: </strong>Disease severity in genital LSc is closely associated with QoL impairment. This is, to our knowledge, the first study to examine the correlation between a clinical severity score and DLQI. While anatomical site did not significantly affect scores, certain sites may have a disproportionate impact, underscoring the complex ways in which LSc affects patients' lives.</p>\",\"PeriodicalId\":74152,\"journal\":{\"name\":\"Medical sciences (Basel, Switzerland)\",\"volume\":\"13 3\",\"pages\":\"\"},\"PeriodicalIF\":4.4000,\"publicationDate\":\"2025-08-05\",\"publicationTypes\":\"Journal Article\",\"fieldsOfStudy\":null,\"isOpenAccess\":false,\"openAccessPdf\":\"https://www.ncbi.nlm.nih.gov/pmc/articles/PMC12371901/pdf/\",\"citationCount\":\"0\",\"resultStr\":null,\"platform\":\"Semanticscholar\",\"paperid\":null,\"PeriodicalName\":\"Medical sciences (Basel, Switzerland)\",\"FirstCategoryId\":\"1085\",\"ListUrlMain\":\"https://doi.org/10.3390/medsci13030111\",\"RegionNum\":0,\"RegionCategory\":null,\"ArticlePicture\":[],\"TitleCN\":null,\"AbstractTextCN\":null,\"PMCID\":null,\"EPubDate\":\"\",\"PubModel\":\"\",\"JCR\":\"Q1\",\"JCRName\":\"Medicine\",\"Score\":null,\"Total\":0}","platform":"Semanticscholar","paperid":null,"PeriodicalName":"Medical sciences (Basel, Switzerland)","FirstCategoryId":"1085","ListUrlMain":"https://doi.org/10.3390/medsci13030111","RegionNum":0,"RegionCategory":null,"ArticlePicture":[],"TitleCN":null,"AbstractTextCN":null,"PMCID":null,"EPubDate":"","PubModel":"","JCR":"Q1","JCRName":"Medicine","Score":null,"Total":0}
引用次数: 0

摘要

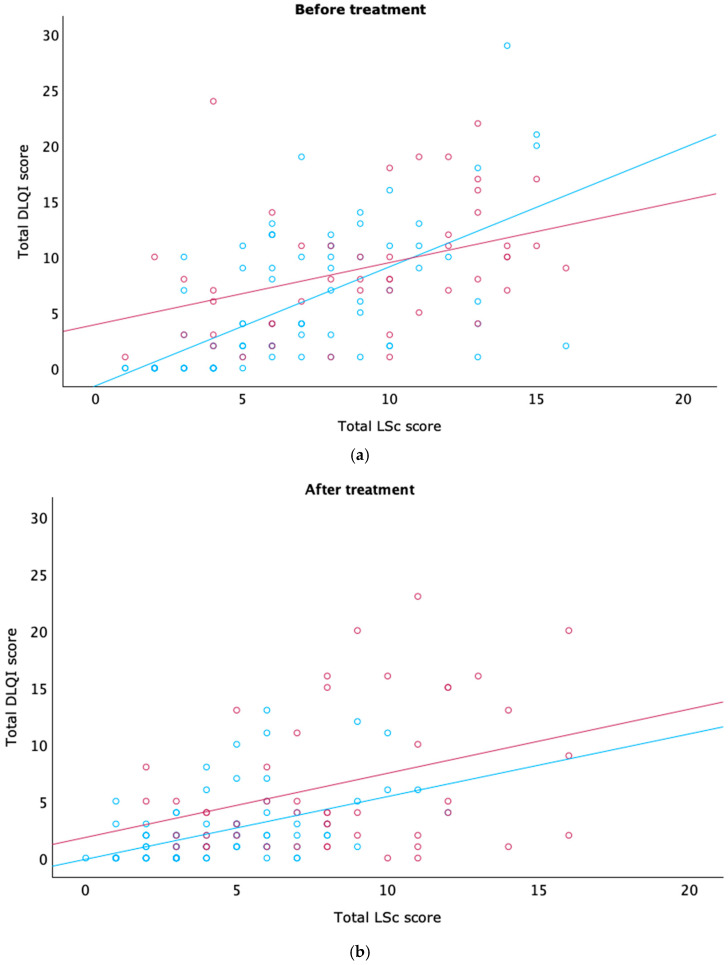
简介:硬化地衣(LSc)是一种慢性、进行性、炎症性皮肤病,主要影响两性和所有年龄组的肛门生殖器区域。目的:探讨生活质量(QoL)与疾病严重程度的关系,以新开发的地衣硬化评分(LSc评分)衡量,在治疗前和治疗后12周的解剖部位。方法:在2022年3月至9月期间,共有136名诊断为LSc的患者(88名男性,48名女性)入组。采用LSc评分对患者进行临床评价,并完成皮肤病生活质量指数(DLQI)。根据临床表现和病史进行个体化治疗。12周时,重复临床评估和DLQI。结果:治疗后LSc评分显著降低(p < 0.001),但女性亚组除外。在男性患者中,治疗前(r = 0.709, p < 0.001)和治疗后(r = 0.492, p < 0.001) LSc评分与DLQI评分呈强相关。在女性中,仅在治疗前发现显著相关(r = 0.457; p < 0.001)。在男性和整个队列中,LSc评分和DLQI项目1、8和9之间存在显著关联。经多重比较校正后,各解剖部位LSc评分或DLQI无统计学差异。结论:生殖器LSc的疾病严重程度与生活质量受损密切相关。据我们所知,这是第一个检验临床严重程度评分与DLQI之间相关性的研究。虽然解剖部位对评分没有显著影响,但某些部位可能有不成比例的影响,强调了LSc影响患者生活的复杂方式。
本文章由计算机程序翻译,如有差异,请以英文原文为准。

Assessing Quality of Life in Genital Lichen Sclerosus: The Role of Disease Severity and Localization-A Swedish Prospective Cohort Study.

Assessing Quality of Life in Genital Lichen Sclerosus: The Role of Disease Severity and Localization-A Swedish Prospective Cohort Study.

Assessing Quality of Life in Genital Lichen Sclerosus: The Role of Disease Severity and Localization-A Swedish Prospective Cohort Study.

Assessing Quality of Life in Genital Lichen Sclerosus: The Role of Disease Severity and Localization-A Swedish Prospective Cohort Study.

Introduction: Lichen sclerosus (LSc) is a chronic, progressive, inflammatory skin disease that primarily affects the anogenital region in both sexes and across all age groups.

Aim: To investigate the relationship between quality of life (QoL) and disease severity, as measured by a newly developed Lichen Sclerosus Score (LSc score), with respect to anatomical site before and after 12 weeks of treatment.

Methods: A total of 136 patients diagnosed with LSc (88 men, 48 women) were enrolled between March and September 2022. Patients were clinically evaluated using the LSc score and completed the Dermatology Life Quality Index (DLQI). Treatment was individualized based on clinical findings and history. At 12 weeks, both clinical assessment and DLQI were repeated.

Results: LSc scores significantly decreased following treatment (p < 0.001), except in the female subgroup. In men, LSc scores were strongly correlated with DLQI scores both before (r = 0.709; p < 0.001) and after (r = 0.492; p < 0.001) treatment. Among women, a significant correlation was found only before treatment (r = 0.457; p < 0.001). Significant associations were identified between LSc score and DLQI items 1, 8, and 9 in men and the overall cohort. No statistically significant differences in LSc scores or DLQI were observed across anatomical sites after correction for multiple comparisons.

Conclusions: Disease severity in genital LSc is closely associated with QoL impairment. This is, to our knowledge, the first study to examine the correlation between a clinical severity score and DLQI. While anatomical site did not significantly affect scores, certain sites may have a disproportionate impact, underscoring the complex ways in which LSc affects patients' lives.

求助全文
通过发布文献求助,成功后即可免费获取论文全文。 去求助
来源期刊
CiteScore
9.00
自引率
0.00%
发文量
0
审稿时长
6 weeks
×
引用
GB/T 7714-2015
复制
MLA
复制
APA
复制
导出至
BibTeX EndNote RefMan NoteFirst NoteExpress
×
提示
您的信息不完整,为了账户安全,请先补充。
现在去补充
×
提示
您因"违规操作"
具体请查看互助需知
我知道了
×
提示
确定
请完成安全验证×
copy
已复制链接
快去分享给好友吧!
我知道了
右上角分享
点击右上角分享
0
联系我们:info@booksci.cn Book学术提供免费学术资源搜索服务,方便国内外学者检索中英文文献。致力于提供最便捷和优质的服务体验。 Copyright © 2023 布克学术 All rights reserved.
京ICP备2023020795号-1
ghs 京公网安备 11010802042870号
Book学术文献互助
Book学术文献互助群
群 号:604180095
Book学术官方微信