急性缺血性脑卒中后感染的患病率和相关因素:一项超过5年的单中心回顾性研究

IF 2.2
Weny Rinawati, Aryati Aryati, Abdulloh Machin, Stefan Kiechl, Gregor Broessner
{"title":"急性缺血性脑卒中后感染的患病率和相关因素:一项超过5年的单中心回顾性研究","authors":"Weny Rinawati, Aryati Aryati, Abdulloh Machin, Stefan Kiechl, Gregor Broessner","doi":"10.3390/epidemiologia6030046","DOIUrl":null,"url":null,"abstract":"<p><strong>Background/objectives: </strong>Infections after stroke are a serious medical problem and have a significant impact on the outcome of stroke, but data regarding the Asian population are limited. This study aims to determine the bacterial and fungal profile of pathogenic organisms of infections after acute ischemic stroke (AIS).</p><p><strong>Methods: </strong>This is a retrospective study using the medical records of patients at least 18 years old who were hospitalized with AIS in a tertiary stroke hospital from 1 January 2018 to 31 December 2022. Demographic, patient-related, and other examination data were extracted from hospital medical records. Infections after AIS were defined as any infection that developed during the acute phase of ischemic stroke and was confirmed by microbiologic culture as the gold standard. Factors associated with infection were analyzed using multiple logistic regression.</p><p><strong>Results: </strong>Among 599 AIS patients with infection who underwent microbiologic culture, the prevalence of infection with an isolated pathogen was 21.4%, and most organisms were from sputum. Positive microbiologic culture revealed that bacteria such as <i>K. pneumoniae</i>, <i>E. coli</i>, <i>A. baumannii</i>, and <i>S. aureus</i> were the most common causes of infection, while fungi were rare. During the COVID-19 period, bacteria developed resistance to antimicrobials, including β-lactamase antibiotics for Gram-negative bacteria and methicillin for Gram-positive bacteria. Care in the intensive ward, including the stroke unit, reduced the risk of a positive microbiological culture in the COVID-19 and non-COVID-19 period. Urinary catheters promoted infections in the non-COVID-19 period, whereas steroids, total parenteral nutrition, and tracheostomy were negatively associated with infections after AIS in the COVID-19 period.</p><p><strong>Conclusions: </strong>The prevalence and factors associated with infection after stroke changed during the COVID-19 period. The risk of infection after stroke requires preventive measures such as early dysphagia screening.</p>","PeriodicalId":72944,"journal":{"name":"Epidemiolgia (Basel, Switzerland)","volume":"6 3","pages":""},"PeriodicalIF":2.2000,"publicationDate":"2025-08-11","publicationTypes":"Journal Article","fieldsOfStudy":null,"isOpenAccess":false,"openAccessPdf":"https://www.ncbi.nlm.nih.gov/pmc/articles/PMC12372096/pdf/","citationCount":"0","resultStr":"{\"title\":\"Prevalence and Factors Associated with Infections After Acute Ischemic Stroke: A Single-Center Retrospective Study over Five Years.\",\"authors\":\"Weny Rinawati, Aryati Aryati, Abdulloh Machin, Stefan Kiechl, Gregor Broessner\",\"doi\":\"10.3390/epidemiologia6030046\",\"DOIUrl\":null,\"url\":null,\"abstract\":\"<p><strong>Background/objectives: </strong>Infections after stroke are a serious medical problem and have a significant impact on the outcome of stroke, but data regarding the Asian population are limited. This study aims to determine the bacterial and fungal profile of pathogenic organisms of infections after acute ischemic stroke (AIS).</p><p><strong>Methods: </strong>This is a retrospective study using the medical records of patients at least 18 years old who were hospitalized with AIS in a tertiary stroke hospital from 1 January 2018 to 31 December 2022. Demographic, patient-related, and other examination data were extracted from hospital medical records. Infections after AIS were defined as any infection that developed during the acute phase of ischemic stroke and was confirmed by microbiologic culture as the gold standard. Factors associated with infection were analyzed using multiple logistic regression.</p><p><strong>Results: </strong>Among 599 AIS patients with infection who underwent microbiologic culture, the prevalence of infection with an isolated pathogen was 21.4%, and most organisms were from sputum. Positive microbiologic culture revealed that bacteria such as <i>K. pneumoniae</i>, <i>E. coli</i>, <i>A. baumannii</i>, and <i>S. aureus</i> were the most common causes of infection, while fungi were rare. During the COVID-19 period, bacteria developed resistance to antimicrobials, including β-lactamase antibiotics for Gram-negative bacteria and methicillin for Gram-positive bacteria. Care in the intensive ward, including the stroke unit, reduced the risk of a positive microbiological culture in the COVID-19 and non-COVID-19 period. Urinary catheters promoted infections in the non-COVID-19 period, whereas steroids, total parenteral nutrition, and tracheostomy were negatively associated with infections after AIS in the COVID-19 period.</p><p><strong>Conclusions: </strong>The prevalence and factors associated with infection after stroke changed during the COVID-19 period. The risk of infection after stroke requires preventive measures such as early dysphagia screening.</p>\",\"PeriodicalId\":72944,\"journal\":{\"name\":\"Epidemiolgia (Basel, Switzerland)\",\"volume\":\"6 3\",\"pages\":\"\"},\"PeriodicalIF\":2.2000,\"publicationDate\":\"2025-08-11\",\"publicationTypes\":\"Journal Article\",\"fieldsOfStudy\":null,\"isOpenAccess\":false,\"openAccessPdf\":\"https://www.ncbi.nlm.nih.gov/pmc/articles/PMC12372096/pdf/\",\"citationCount\":\"0\",\"resultStr\":null,\"platform\":\"Semanticscholar\",\"paperid\":null,\"PeriodicalName\":\"Epidemiolgia (Basel, Switzerland)\",\"FirstCategoryId\":\"1085\",\"ListUrlMain\":\"https://doi.org/10.3390/epidemiologia6030046\",\"RegionNum\":0,\"RegionCategory\":null,\"ArticlePicture\":[],\"TitleCN\":null,\"AbstractTextCN\":null,\"PMCID\":null,\"EPubDate\":\"\",\"PubModel\":\"\",\"JCR\":\"\",\"JCRName\":\"\",\"Score\":null,\"Total\":0}","platform":"Semanticscholar","paperid":null,"PeriodicalName":"Epidemiolgia (Basel, Switzerland)","FirstCategoryId":"1085","ListUrlMain":"https://doi.org/10.3390/epidemiologia6030046","RegionNum":0,"RegionCategory":null,"ArticlePicture":[],"TitleCN":null,"AbstractTextCN":null,"PMCID":null,"EPubDate":"","PubModel":"","JCR":"","JCRName":"","Score":null,"Total":0}
引用次数: 0

摘要

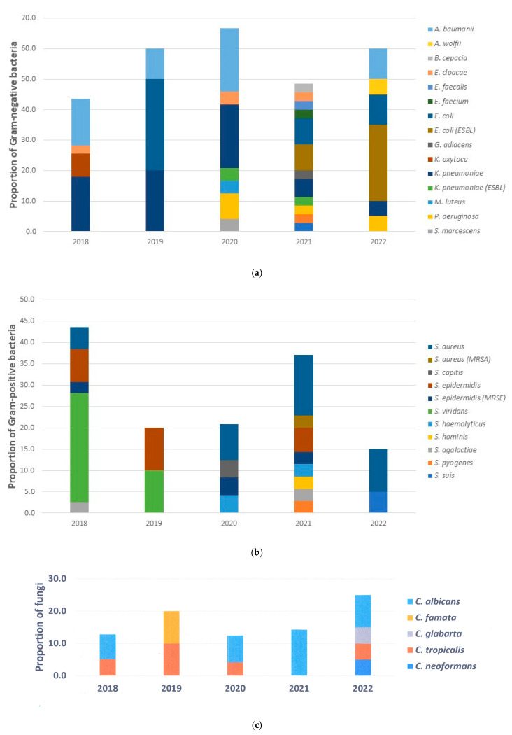
背景/目的:卒中后感染是一个严重的医学问题,对卒中预后有重大影响,但有关亚洲人群的数据有限。本研究旨在确定急性缺血性中风(AIS)后感染的病原生物的细菌和真菌特征。方法:这是一项回顾性研究,使用2018年1月1日至2022年12月31日在一家三级卒中医院住院的至少18岁的AIS患者的医疗记录。从医院病历中提取人口统计、患者相关和其他检查数据。AIS后的感染定义为在缺血性卒中急性期发生的任何感染,并通过微生物培养确认为金标准。采用多元逻辑回归分析感染相关因素。结果:599例AIS感染患者进行微生物培养,分离病原菌感染率为21.4%,病原菌主要来自痰液。阳性微生物培养显示肺炎克雷伯菌、大肠杆菌、鲍曼不动杆菌和金黄色葡萄球菌等细菌是最常见的感染原因,而真菌是罕见的。在2019冠状病毒病期间,细菌对抗微生物药物产生了耐药性,包括针对革兰氏阴性菌的β-内酰胺酶抗生素和针对革兰氏阳性菌的甲氧西林。重症监护病房(包括卒中病房)的护理降低了COVID-19和非COVID-19期间微生物培养阳性的风险。在非COVID-19期间,导尿管促进了感染,而在COVID-19期间,类固醇、全肠外营养和气管切开术与AIS后感染呈负相关。结论:新冠肺炎期间卒中后感染患病率及相关因素发生变化。中风后感染的风险需要采取预防措施,如早期吞咽困难筛查。
本文章由计算机程序翻译,如有差异,请以英文原文为准。

Prevalence and Factors Associated with Infections After Acute Ischemic Stroke: A Single-Center Retrospective Study over Five Years.

Prevalence and Factors Associated with Infections After Acute Ischemic Stroke: A Single-Center Retrospective Study over Five Years.

Prevalence and Factors Associated with Infections After Acute Ischemic Stroke: A Single-Center Retrospective Study over Five Years.

Prevalence and Factors Associated with Infections After Acute Ischemic Stroke: A Single-Center Retrospective Study over Five Years.

Background/objectives: Infections after stroke are a serious medical problem and have a significant impact on the outcome of stroke, but data regarding the Asian population are limited. This study aims to determine the bacterial and fungal profile of pathogenic organisms of infections after acute ischemic stroke (AIS).

Methods: This is a retrospective study using the medical records of patients at least 18 years old who were hospitalized with AIS in a tertiary stroke hospital from 1 January 2018 to 31 December 2022. Demographic, patient-related, and other examination data were extracted from hospital medical records. Infections after AIS were defined as any infection that developed during the acute phase of ischemic stroke and was confirmed by microbiologic culture as the gold standard. Factors associated with infection were analyzed using multiple logistic regression.

Results: Among 599 AIS patients with infection who underwent microbiologic culture, the prevalence of infection with an isolated pathogen was 21.4%, and most organisms were from sputum. Positive microbiologic culture revealed that bacteria such as K. pneumoniae, E. coli, A. baumannii, and S. aureus were the most common causes of infection, while fungi were rare. During the COVID-19 period, bacteria developed resistance to antimicrobials, including β-lactamase antibiotics for Gram-negative bacteria and methicillin for Gram-positive bacteria. Care in the intensive ward, including the stroke unit, reduced the risk of a positive microbiological culture in the COVID-19 and non-COVID-19 period. Urinary catheters promoted infections in the non-COVID-19 period, whereas steroids, total parenteral nutrition, and tracheostomy were negatively associated with infections after AIS in the COVID-19 period.

Conclusions: The prevalence and factors associated with infection after stroke changed during the COVID-19 period. The risk of infection after stroke requires preventive measures such as early dysphagia screening.

求助全文
通过发布文献求助,成功后即可免费获取论文全文。 去求助
来源期刊
CiteScore
3.60
自引率
0.00%
发文量
0
审稿时长
7 weeks
×
引用
GB/T 7714-2015
复制
MLA
复制
APA
复制
导出至
BibTeX EndNote RefMan NoteFirst NoteExpress
×
提示
您的信息不完整,为了账户安全,请先补充。
现在去补充
×
提示
您因"违规操作"
具体请查看互助需知
我知道了
×
提示
确定
请完成安全验证×
copy
已复制链接
快去分享给好友吧!
我知道了
右上角分享
点击右上角分享
0
联系我们:info@booksci.cn Book学术提供免费学术资源搜索服务,方便国内外学者检索中英文文献。致力于提供最便捷和优质的服务体验。 Copyright © 2023 布克学术 All rights reserved.
京ICP备2023020795号-1
ghs 京公网安备 11010802042870号
Book学术文献互助
Book学术文献互助群
群 号:604180095
Book学术官方微信