巴西公共卫生系统中国家心包有机瓣膜生物假体的长期安全性和性能:长达26年随访的回顾性分析。

IF 1.2
Roberto Vito Ardito, Renata Andrea Barberio Bogdan
{"title":"巴西公共卫生系统中国家心包有机瓣膜生物假体的长期安全性和性能:长达26年随访的回顾性分析。","authors":"Roberto Vito Ardito, Renata Andrea Barberio Bogdan","doi":"10.21470/1678-9741-2024-0405","DOIUrl":null,"url":null,"abstract":"<p><strong>Objective: </strong>To evaluate the long-term performance of a bovine pericardium valve prosthesis in individuals who required valve replacement in the Brazilian public health system.</p><p><strong>Methods: </strong>Medical records of patients having mitral or aortic valve replacement with bovine pericardium valve prostheses between 1978 and 1994 at a Brazilian hospital were reviewed in this retrospective study. Safety was assessed through the complications and serious adverse events rates in the early and long terms. Successful valve replacement was defined by absence of complications and serious adverse events up to 30 days after surgery.</p><p><strong>Results: </strong>A total of 439 surgeries were performed in 382 patients with a mean age of 46.45 ± 13.93 years. Mean follow-up time was 6.26 years (up to 26.13 years). Rheumatic etiology was present in 83.5% of the cases. Mitral valve replacement was the most performed surgery. Five complications in five patients were recorded up to 30 days after surgery, and the rate of serious adverse events for the same period was 10.3%. Successful valve replacement rate was 90.7%. Postoperative complications were reported during the follow-up period in 29.6% of the procedures, being calcification the most common with 17.3%.</p><p><strong>Conclusions: </strong>Despite the young age of the patients, safety outcomes were in accordance with what is reported in the literature for bioprostheses, with acceptable complication, serious adverse events, and freedom from reintervention rates.</p>","PeriodicalId":72457,"journal":{"name":"Brazilian journal of cardiovascular surgery","volume":"40 5","pages":"e20240405"},"PeriodicalIF":1.2000,"publicationDate":"2025-08-26","publicationTypes":"Journal Article","fieldsOfStudy":null,"isOpenAccess":false,"openAccessPdf":"https://www.ncbi.nlm.nih.gov/pmc/articles/PMC12400614/pdf/","citationCount":"0","resultStr":"{\"title\":\"Long-Term Safety and Performance of a National Pericardium Organic Valvular Bioprosthesis in the Brazilian Public Health System: Retrospective Analysis Up To 26 Years of Follow-up.\",\"authors\":\"Roberto Vito Ardito, Renata Andrea Barberio Bogdan\",\"doi\":\"10.21470/1678-9741-2024-0405\",\"DOIUrl\":null,\"url\":null,\"abstract\":\"<p><strong>Objective: </strong>To evaluate the long-term performance of a bovine pericardium valve prosthesis in individuals who required valve replacement in the Brazilian public health system.</p><p><strong>Methods: </strong>Medical records of patients having mitral or aortic valve replacement with bovine pericardium valve prostheses between 1978 and 1994 at a Brazilian hospital were reviewed in this retrospective study. Safety was assessed through the complications and serious adverse events rates in the early and long terms. Successful valve replacement was defined by absence of complications and serious adverse events up to 30 days after surgery.</p><p><strong>Results: </strong>A total of 439 surgeries were performed in 382 patients with a mean age of 46.45 ± 13.93 years. Mean follow-up time was 6.26 years (up to 26.13 years). Rheumatic etiology was present in 83.5% of the cases. Mitral valve replacement was the most performed surgery. Five complications in five patients were recorded up to 30 days after surgery, and the rate of serious adverse events for the same period was 10.3%. Successful valve replacement rate was 90.7%. Postoperative complications were reported during the follow-up period in 29.6% of the procedures, being calcification the most common with 17.3%.</p><p><strong>Conclusions: </strong>Despite the young age of the patients, safety outcomes were in accordance with what is reported in the literature for bioprostheses, with acceptable complication, serious adverse events, and freedom from reintervention rates.</p>\",\"PeriodicalId\":72457,\"journal\":{\"name\":\"Brazilian journal of cardiovascular surgery\",\"volume\":\"40 5\",\"pages\":\"e20240405\"},\"PeriodicalIF\":1.2000,\"publicationDate\":\"2025-08-26\",\"publicationTypes\":\"Journal Article\",\"fieldsOfStudy\":null,\"isOpenAccess\":false,\"openAccessPdf\":\"https://www.ncbi.nlm.nih.gov/pmc/articles/PMC12400614/pdf/\",\"citationCount\":\"0\",\"resultStr\":null,\"platform\":\"Semanticscholar\",\"paperid\":null,\"PeriodicalName\":\"Brazilian journal of cardiovascular surgery\",\"FirstCategoryId\":\"1085\",\"ListUrlMain\":\"https://doi.org/10.21470/1678-9741-2024-0405\",\"RegionNum\":0,\"RegionCategory\":null,\"ArticlePicture\":[],\"TitleCN\":null,\"AbstractTextCN\":null,\"PMCID\":null,\"EPubDate\":\"\",\"PubModel\":\"\",\"JCR\":\"\",\"JCRName\":\"\",\"Score\":null,\"Total\":0}","platform":"Semanticscholar","paperid":null,"PeriodicalName":"Brazilian journal of cardiovascular surgery","FirstCategoryId":"1085","ListUrlMain":"https://doi.org/10.21470/1678-9741-2024-0405","RegionNum":0,"RegionCategory":null,"ArticlePicture":[],"TitleCN":null,"AbstractTextCN":null,"PMCID":null,"EPubDate":"","PubModel":"","JCR":"","JCRName":"","Score":null,"Total":0}
引用次数: 0

摘要

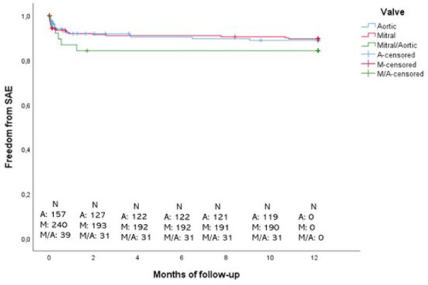
目的:评估巴西公共卫生系统中需要瓣膜置换术的个体使用牛心包瓣膜假体的长期表现。方法:回顾性分析1978年至1994年在巴西一家医院进行二尖瓣或主动脉瓣置换术的牛心包瓣膜置换术患者的病历。通过早期和长期的并发症和严重不良事件发生率来评估安全性。瓣膜置换术成功的定义是术后30天内没有并发症和严重不良事件。结果:382例患者共行手术439例,平均年龄46.45±13.93岁。平均随访时间6.26年(最长26.13年)。83.5%的病例病因为风湿病。二尖瓣置换术是最常见的手术。5例患者术后30天出现5例并发症,同期严重不良事件发生率为10.3%。瓣膜置换率为90.7%。29.6%的手术在随访期间出现了术后并发症,其中钙化最为常见,为17.3%。结论:尽管患者年龄小,但安全性结果与文献报道的生物假体一致,具有可接受的并发症、严重不良事件和无再干预率。
本文章由计算机程序翻译,如有差异,请以英文原文为准。

Long-Term Safety and Performance of a National Pericardium Organic Valvular Bioprosthesis in the Brazilian Public Health System: Retrospective Analysis Up To 26 Years of Follow-up.

Long-Term Safety and Performance of a National Pericardium Organic Valvular Bioprosthesis in the Brazilian Public Health System: Retrospective Analysis Up To 26 Years of Follow-up.

Long-Term Safety and Performance of a National Pericardium Organic Valvular Bioprosthesis in the Brazilian Public Health System: Retrospective Analysis Up To 26 Years of Follow-up.

Long-Term Safety and Performance of a National Pericardium Organic Valvular Bioprosthesis in the Brazilian Public Health System: Retrospective Analysis Up To 26 Years of Follow-up.

Objective: To evaluate the long-term performance of a bovine pericardium valve prosthesis in individuals who required valve replacement in the Brazilian public health system.

Methods: Medical records of patients having mitral or aortic valve replacement with bovine pericardium valve prostheses between 1978 and 1994 at a Brazilian hospital were reviewed in this retrospective study. Safety was assessed through the complications and serious adverse events rates in the early and long terms. Successful valve replacement was defined by absence of complications and serious adverse events up to 30 days after surgery.

Results: A total of 439 surgeries were performed in 382 patients with a mean age of 46.45 ± 13.93 years. Mean follow-up time was 6.26 years (up to 26.13 years). Rheumatic etiology was present in 83.5% of the cases. Mitral valve replacement was the most performed surgery. Five complications in five patients were recorded up to 30 days after surgery, and the rate of serious adverse events for the same period was 10.3%. Successful valve replacement rate was 90.7%. Postoperative complications were reported during the follow-up period in 29.6% of the procedures, being calcification the most common with 17.3%.

Conclusions: Despite the young age of the patients, safety outcomes were in accordance with what is reported in the literature for bioprostheses, with acceptable complication, serious adverse events, and freedom from reintervention rates.

求助全文
通过发布文献求助,成功后即可免费获取论文全文。 去求助
来源期刊
自引率
0.00%
发文量
0
×
引用
GB/T 7714-2015
复制
MLA
复制
APA
复制
导出至
BibTeX EndNote RefMan NoteFirst NoteExpress
×
提示
您的信息不完整,为了账户安全,请先补充。
现在去补充
×
提示
您因"违规操作"
具体请查看互助需知
我知道了
×
提示
确定
请完成安全验证×
copy
已复制链接
快去分享给好友吧!
我知道了
右上角分享
点击右上角分享
0
联系我们:info@booksci.cn Book学术提供免费学术资源搜索服务,方便国内外学者检索中英文文献。致力于提供最便捷和优质的服务体验。 Copyright © 2023 布克学术 All rights reserved.
京ICP备2023020795号-1
ghs 京公网安备 11010802042870号
Book学术文献互助
Book学术文献互助群
群 号:604180095
Book学术官方微信