60岁以上人群认知障碍的心理状态测试分数预测和口腔健康与人口统计数据的机器学习分析:横断面研究。

IF 3.8 3区 医学 Q2 MEDICAL INFORMATICS
Alper Idrisoglu, Johan Flyborg, Sarah Nauman Ghazi, Elina Mikaelsson Midlöv, Helén Dellkvist, Anna Axén, Ana Luiza Dallora
{"title":"60岁以上人群认知障碍的心理状态测试分数预测和口腔健康与人口统计数据的机器学习分析:横断面研究。","authors":"Alper Idrisoglu, Johan Flyborg, Sarah Nauman Ghazi, Elina Mikaelsson Midlöv, Helén Dellkvist, Anna Axén, Ana Luiza Dallora","doi":"10.2196/75069","DOIUrl":null,"url":null,"abstract":"<p><strong>Background: </strong>As the older population grows, so does the prevalence of cognitive impairment, emphasizing the importance of early diagnosis. The Mini-Mental State Examination (MMSE) is vital in identifying cognitive impairment. It is known that degraded oral health correlates with MMSE scores ≤26.</p><p><strong>Objective: </strong>This study aims to explore the potential of using machine learning (ML) technologies using oral health and demographic examination data to predict the probability of having MMSE scores of 30 or ≤26 in Swedish individuals older than 60 years.</p><p><strong>Methods: </strong>The study had a cross-sectional design. Baseline data from 2 longitudinal oral health and ongoing general health studies involving individuals older than 60 years were entered into ML models, including random forest, support vector machine, and CatBoost (CB) to classify MMSE scores as either 30 or ≤26, distinguishing between MMSE of 30 and MMSE ≤26 groups. Nested cross-validation (nCV) was used to mitigate overfitting. The best performance-giving model was further investigated for feature importance using Shapley additive explanation summary plots to easily visualize the contribution of each feature to the prediction output. The sample consisted of 693 individuals (350 females and 343 males).</p><p><strong>Results: </strong>All CB, random forest, and support vector machine models achieved high classification accuracies. However, CB exhibited superior performance with an average accuracy of 80.6% on the model using 3 × 3 nCV and surpassed the performance of other models. The Shapley additive explanation summary plot illustrates the impact of factors on the model's predictions, such as age, Plaque Index, probing pocket depth, a feeling of dry mouth, level of education, and use of dental hygiene tools for approximal cleaning.</p><p><strong>Conclusions: </strong>The oral health parameters and demographic data used as inputs for ML classifiers contain sufficient information to differentiate between MMSE scores ≤26 and 30. This study suggests oral health parameters and ML techniques could offer a potential tool for screening MMSE scores for individuals aged 60 years and older.</p>","PeriodicalId":56334,"journal":{"name":"JMIR Medical Informatics","volume":"13 ","pages":"e75069"},"PeriodicalIF":3.8000,"publicationDate":"2025-08-25","publicationTypes":"Journal Article","fieldsOfStudy":null,"isOpenAccess":false,"openAccessPdf":"https://www.ncbi.nlm.nih.gov/pmc/articles/PMC12377517/pdf/","citationCount":"0","resultStr":"{\"title\":\"Prediction of Mini-Mental State Examination Scores for Cognitive Impairment and Machine Learning Analysis of Oral Health and Demographic Data Among Individuals Older Than 60 Years: Cross-Sectional Study.\",\"authors\":\"Alper Idrisoglu, Johan Flyborg, Sarah Nauman Ghazi, Elina Mikaelsson Midlöv, Helén Dellkvist, Anna Axén, Ana Luiza Dallora\",\"doi\":\"10.2196/75069\",\"DOIUrl\":null,\"url\":null,\"abstract\":\"<p><strong>Background: </strong>As the older population grows, so does the prevalence of cognitive impairment, emphasizing the importance of early diagnosis. The Mini-Mental State Examination (MMSE) is vital in identifying cognitive impairment. It is known that degraded oral health correlates with MMSE scores ≤26.</p><p><strong>Objective: </strong>This study aims to explore the potential of using machine learning (ML) technologies using oral health and demographic examination data to predict the probability of having MMSE scores of 30 or ≤26 in Swedish individuals older than 60 years.</p><p><strong>Methods: </strong>The study had a cross-sectional design. Baseline data from 2 longitudinal oral health and ongoing general health studies involving individuals older than 60 years were entered into ML models, including random forest, support vector machine, and CatBoost (CB) to classify MMSE scores as either 30 or ≤26, distinguishing between MMSE of 30 and MMSE ≤26 groups. Nested cross-validation (nCV) was used to mitigate overfitting. The best performance-giving model was further investigated for feature importance using Shapley additive explanation summary plots to easily visualize the contribution of each feature to the prediction output. The sample consisted of 693 individuals (350 females and 343 males).</p><p><strong>Results: </strong>All CB, random forest, and support vector machine models achieved high classification accuracies. However, CB exhibited superior performance with an average accuracy of 80.6% on the model using 3 × 3 nCV and surpassed the performance of other models. The Shapley additive explanation summary plot illustrates the impact of factors on the model's predictions, such as age, Plaque Index, probing pocket depth, a feeling of dry mouth, level of education, and use of dental hygiene tools for approximal cleaning.</p><p><strong>Conclusions: </strong>The oral health parameters and demographic data used as inputs for ML classifiers contain sufficient information to differentiate between MMSE scores ≤26 and 30. This study suggests oral health parameters and ML techniques could offer a potential tool for screening MMSE scores for individuals aged 60 years and older.</p>\",\"PeriodicalId\":56334,\"journal\":{\"name\":\"JMIR Medical Informatics\",\"volume\":\"13 \",\"pages\":\"e75069\"},\"PeriodicalIF\":3.8000,\"publicationDate\":\"2025-08-25\",\"publicationTypes\":\"Journal Article\",\"fieldsOfStudy\":null,\"isOpenAccess\":false,\"openAccessPdf\":\"https://www.ncbi.nlm.nih.gov/pmc/articles/PMC12377517/pdf/\",\"citationCount\":\"0\",\"resultStr\":null,\"platform\":\"Semanticscholar\",\"paperid\":null,\"PeriodicalName\":\"JMIR Medical Informatics\",\"FirstCategoryId\":\"3\",\"ListUrlMain\":\"https://doi.org/10.2196/75069\",\"RegionNum\":3,\"RegionCategory\":\"医学\",\"ArticlePicture\":[],\"TitleCN\":null,\"AbstractTextCN\":null,\"PMCID\":null,\"EPubDate\":\"\",\"PubModel\":\"\",\"JCR\":\"Q2\",\"JCRName\":\"MEDICAL INFORMATICS\",\"Score\":null,\"Total\":0}","platform":"Semanticscholar","paperid":null,"PeriodicalName":"JMIR Medical Informatics","FirstCategoryId":"3","ListUrlMain":"https://doi.org/10.2196/75069","RegionNum":3,"RegionCategory":"医学","ArticlePicture":[],"TitleCN":null,"AbstractTextCN":null,"PMCID":null,"EPubDate":"","PubModel":"","JCR":"Q2","JCRName":"MEDICAL INFORMATICS","Score":null,"Total":0}
引用次数: 0

摘要

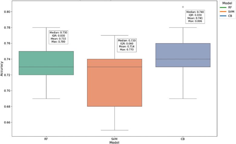
背景:随着老年人口的增长,认知障碍的患病率也在增加,这就强调了早期诊断的重要性。简易精神状态检查(MMSE)对于识别认知障碍至关重要。已知口腔健康退化与MMSE评分≤26相关。目的:本研究旨在探索使用机器学习(ML)技术结合口腔健康和人口统计学检查数据预测瑞典60岁以上个体MMSE得分为30或≤26的可能性的潜力。方法:采用横断面设计。将2项纵向口腔健康和正在进行的涉及60岁以上个体的一般健康研究的基线数据输入ML模型,包括随机森林、支持向量机和CatBoost (CB),将MMSE评分分为30或≤26,区分MMSE为30和MMSE≤26组。使用嵌套交叉验证(nCV)来减轻过拟合。使用Shapley加性解释总结图进一步研究了最佳性能赋予模型的特征重要性,以方便地可视化每个特征对预测输出的贡献。样本包括693个人(350名女性和343名男性)。结果:CB、随机森林和支持向量机模型均取得了较高的分类精度。然而,在使用3 × 3 nCV的模型上,CB表现出优异的性能,平均准确率为80.6%,超过了其他模型的性能。Shapley加性解释总结图说明了影响模型预测的因素,如年龄、牙菌斑指数、探测袋深度、口干感、教育水平和使用牙齿卫生工具进行近似清洁。结论:作为ML分类器输入的口腔健康参数和人口统计学数据包含足够的信息来区分MMSE评分≤26和30。这项研究表明,口腔健康参数和ML技术可以为60岁及以上的个体提供筛查MMSE评分的潜在工具。
本文章由计算机程序翻译,如有差异,请以英文原文为准。

Prediction of Mini-Mental State Examination Scores for Cognitive Impairment and Machine Learning Analysis of Oral Health and Demographic Data Among Individuals Older Than 60 Years: Cross-Sectional Study.

Prediction of Mini-Mental State Examination Scores for Cognitive Impairment and Machine Learning Analysis of Oral Health and Demographic Data Among Individuals Older Than 60 Years: Cross-Sectional Study.

Prediction of Mini-Mental State Examination Scores for Cognitive Impairment and Machine Learning Analysis of Oral Health and Demographic Data Among Individuals Older Than 60 Years: Cross-Sectional Study.

Background: As the older population grows, so does the prevalence of cognitive impairment, emphasizing the importance of early diagnosis. The Mini-Mental State Examination (MMSE) is vital in identifying cognitive impairment. It is known that degraded oral health correlates with MMSE scores ≤26.

Objective: This study aims to explore the potential of using machine learning (ML) technologies using oral health and demographic examination data to predict the probability of having MMSE scores of 30 or ≤26 in Swedish individuals older than 60 years.

Methods: The study had a cross-sectional design. Baseline data from 2 longitudinal oral health and ongoing general health studies involving individuals older than 60 years were entered into ML models, including random forest, support vector machine, and CatBoost (CB) to classify MMSE scores as either 30 or ≤26, distinguishing between MMSE of 30 and MMSE ≤26 groups. Nested cross-validation (nCV) was used to mitigate overfitting. The best performance-giving model was further investigated for feature importance using Shapley additive explanation summary plots to easily visualize the contribution of each feature to the prediction output. The sample consisted of 693 individuals (350 females and 343 males).

Results: All CB, random forest, and support vector machine models achieved high classification accuracies. However, CB exhibited superior performance with an average accuracy of 80.6% on the model using 3 × 3 nCV and surpassed the performance of other models. The Shapley additive explanation summary plot illustrates the impact of factors on the model's predictions, such as age, Plaque Index, probing pocket depth, a feeling of dry mouth, level of education, and use of dental hygiene tools for approximal cleaning.

Conclusions: The oral health parameters and demographic data used as inputs for ML classifiers contain sufficient information to differentiate between MMSE scores ≤26 and 30. This study suggests oral health parameters and ML techniques could offer a potential tool for screening MMSE scores for individuals aged 60 years and older.

求助全文
通过发布文献求助,成功后即可免费获取论文全文。 去求助
来源期刊
JMIR Medical Informatics
JMIR Medical Informatics Medicine-Health Informatics
CiteScore
7.90
自引率
3.10%
发文量
173
审稿时长
12 weeks
期刊介绍: JMIR Medical Informatics (JMI, ISSN 2291-9694) is a top-rated, tier A journal which focuses on clinical informatics, big data in health and health care, decision support for health professionals, electronic health records, ehealth infrastructures and implementation. It has a focus on applied, translational research, with a broad readership including clinicians, CIOs, engineers, industry and health informatics professionals. Published by JMIR Publications, publisher of the Journal of Medical Internet Research (JMIR), the leading eHealth/mHealth journal (Impact Factor 2016: 5.175), JMIR Med Inform has a slightly different scope (emphasizing more on applications for clinicians and health professionals rather than consumers/citizens, which is the focus of JMIR), publishes even faster, and also allows papers which are more technical or more formative than what would be published in the Journal of Medical Internet Research.
×
引用
GB/T 7714-2015
复制
MLA
复制
APA
复制
导出至
BibTeX EndNote RefMan NoteFirst NoteExpress
×
提示
您的信息不完整,为了账户安全,请先补充。
现在去补充
×
提示
您因"违规操作"
具体请查看互助需知
我知道了
×
提示
确定
请完成安全验证×
copy
已复制链接
快去分享给好友吧!
我知道了
右上角分享
点击右上角分享
0
联系我们:info@booksci.cn Book学术提供免费学术资源搜索服务,方便国内外学者检索中英文文献。致力于提供最便捷和优质的服务体验。 Copyright © 2023 布克学术 All rights reserved.
京ICP备2023020795号-1
ghs 京公网安备 11010802042870号
Book学术文献互助
Book学术文献互助群
群 号:604180095
Book学术官方微信