通过有指导的同伴支持加强家庭医学:一项试点项目评估。

IF 2.6 Q2 MEDICINE, GENERAL & INTERNAL
Jennifer Shuldiner, Olivia Varkul, Thineesha Gnaneswaran, Atiya Iqbal, Kirsten Szymanski, Erin Plenert, Navsheer Gill, Sarah J Smith, Noor Ramji, Susie Kim, Denis Tsang, Tara Kiran, Noah Ivers
{"title":"通过有指导的同伴支持加强家庭医学:一项试点项目评估。","authors":"Jennifer Shuldiner, Olivia Varkul, Thineesha Gnaneswaran, Atiya Iqbal, Kirsten Szymanski, Erin Plenert, Navsheer Gill, Sarah J Smith, Noor Ramji, Susie Kim, Denis Tsang, Tara Kiran, Noah Ivers","doi":"10.1186/s12875-025-02969-w","DOIUrl":null,"url":null,"abstract":"<p><strong>Background: </strong>Primary care physicians are facing elevated levels of burnout and often struggle to find joy in their work, with fewer physicians choosing primary care as a career. Peer coaching offers a way to enhance professional fulfillment and job satisfaction by fostering connection and support among physicians. In this study, we evaluated a pilot coaching-informed peer support program for family physicians in Ontario. Our evaluation explored whether the program helped increase joy in practice, strengthen professional well-being, and reduce burnout.</p><p><strong>Methods: </strong>In the Peers for Joy program, physicians are trained to be \"Guides\" and support fellow physician \"Learners\" across 3 meetings to identify their goals and find ways to create joy in their work. To evaluate this pilot program, we used a multi-methods approach including surveys, interviews, and focus groups to explore whether the program increased joy in practice and reduced burnout, as well as its potential impacts on the guides. The primary outcome focused on satisfaction and joy in practice, assessed through the survey question: \"How likely are you to recommend this job as a family physician?\". Surveys were analyzed with Anova for continuous variables, Fisher's exact tests for categorical variables and the weekly one question surveys were analyzed with the Mann Kendall trend tests. Interviews were transcribed and analyzed using thematic analysis.</p><p><strong>Results: </strong>32 peer learners and 27 peer guides participated in the pilot from January-April 2024. After participation, both peer learners and peer guides were more likely to recommend their job as a family physician to a friend or colleague (learners increased from 5.5/10 to 7.0, P = 0.004 and guides from 6.4/10 to 7.5, P = 0.003). Peer learners reported they joined the program due to burnout and because they wanted to find joy and connection. Peer guides wanted to help their colleagues regain their passion for family medicine. Peer learners described various benefits from participating in the program, including feeling validated, receiving advice on workflow improvements, and encouragement to shift their perspective on their role as a family physician. Peer guides also felt that the experience was fulfilling, that it helped shift their perspective on their role as a family physician, and that they learned valuable coaching techniques that could be applied in their clinical encounters.</p><p><strong>Conclusion: </strong>The pilot demonstrated an acceptable and potentially helpful approach to improve family physician resiliency from burnout, promote togetherness, and improve joy in work. As such, the program could be a sustainable approach to peer support for family physicians.</p>","PeriodicalId":72428,"journal":{"name":"BMC primary care","volume":"26 1","pages":"263"},"PeriodicalIF":2.6000,"publicationDate":"2025-08-25","publicationTypes":"Journal Article","fieldsOfStudy":null,"isOpenAccess":false,"openAccessPdf":"https://www.ncbi.nlm.nih.gov/pmc/articles/PMC12376420/pdf/","citationCount":"0","resultStr":"{\"title\":\"Strengthening family medicine through coaching-informed peer support: a pilot program evaluation.\",\"authors\":\"Jennifer Shuldiner, Olivia Varkul, Thineesha Gnaneswaran, Atiya Iqbal, Kirsten Szymanski, Erin Plenert, Navsheer Gill, Sarah J Smith, Noor Ramji, Susie Kim, Denis Tsang, Tara Kiran, Noah Ivers\",\"doi\":\"10.1186/s12875-025-02969-w\",\"DOIUrl\":null,\"url\":null,\"abstract\":\"<p><strong>Background: </strong>Primary care physicians are facing elevated levels of burnout and often struggle to find joy in their work, with fewer physicians choosing primary care as a career. Peer coaching offers a way to enhance professional fulfillment and job satisfaction by fostering connection and support among physicians. In this study, we evaluated a pilot coaching-informed peer support program for family physicians in Ontario. Our evaluation explored whether the program helped increase joy in practice, strengthen professional well-being, and reduce burnout.</p><p><strong>Methods: </strong>In the Peers for Joy program, physicians are trained to be \\\"Guides\\\" and support fellow physician \\\"Learners\\\" across 3 meetings to identify their goals and find ways to create joy in their work. To evaluate this pilot program, we used a multi-methods approach including surveys, interviews, and focus groups to explore whether the program increased joy in practice and reduced burnout, as well as its potential impacts on the guides. The primary outcome focused on satisfaction and joy in practice, assessed through the survey question: \\\"How likely are you to recommend this job as a family physician?\\\". Surveys were analyzed with Anova for continuous variables, Fisher's exact tests for categorical variables and the weekly one question surveys were analyzed with the Mann Kendall trend tests. Interviews were transcribed and analyzed using thematic analysis.</p><p><strong>Results: </strong>32 peer learners and 27 peer guides participated in the pilot from January-April 2024. After participation, both peer learners and peer guides were more likely to recommend their job as a family physician to a friend or colleague (learners increased from 5.5/10 to 7.0, P = 0.004 and guides from 6.4/10 to 7.5, P = 0.003). Peer learners reported they joined the program due to burnout and because they wanted to find joy and connection. Peer guides wanted to help their colleagues regain their passion for family medicine. Peer learners described various benefits from participating in the program, including feeling validated, receiving advice on workflow improvements, and encouragement to shift their perspective on their role as a family physician. Peer guides also felt that the experience was fulfilling, that it helped shift their perspective on their role as a family physician, and that they learned valuable coaching techniques that could be applied in their clinical encounters.</p><p><strong>Conclusion: </strong>The pilot demonstrated an acceptable and potentially helpful approach to improve family physician resiliency from burnout, promote togetherness, and improve joy in work. As such, the program could be a sustainable approach to peer support for family physicians.</p>\",\"PeriodicalId\":72428,\"journal\":{\"name\":\"BMC primary care\",\"volume\":\"26 1\",\"pages\":\"263\"},\"PeriodicalIF\":2.6000,\"publicationDate\":\"2025-08-25\",\"publicationTypes\":\"Journal Article\",\"fieldsOfStudy\":null,\"isOpenAccess\":false,\"openAccessPdf\":\"https://www.ncbi.nlm.nih.gov/pmc/articles/PMC12376420/pdf/\",\"citationCount\":\"0\",\"resultStr\":null,\"platform\":\"Semanticscholar\",\"paperid\":null,\"PeriodicalName\":\"BMC primary care\",\"FirstCategoryId\":\"1085\",\"ListUrlMain\":\"https://doi.org/10.1186/s12875-025-02969-w\",\"RegionNum\":0,\"RegionCategory\":null,\"ArticlePicture\":[],\"TitleCN\":null,\"AbstractTextCN\":null,\"PMCID\":null,\"EPubDate\":\"\",\"PubModel\":\"\",\"JCR\":\"Q2\",\"JCRName\":\"MEDICINE, GENERAL & INTERNAL\",\"Score\":null,\"Total\":0}","platform":"Semanticscholar","paperid":null,"PeriodicalName":"BMC primary care","FirstCategoryId":"1085","ListUrlMain":"https://doi.org/10.1186/s12875-025-02969-w","RegionNum":0,"RegionCategory":null,"ArticlePicture":[],"TitleCN":null,"AbstractTextCN":null,"PMCID":null,"EPubDate":"","PubModel":"","JCR":"Q2","JCRName":"MEDICINE, GENERAL & INTERNAL","Score":null,"Total":0}
引用次数: 0

摘要

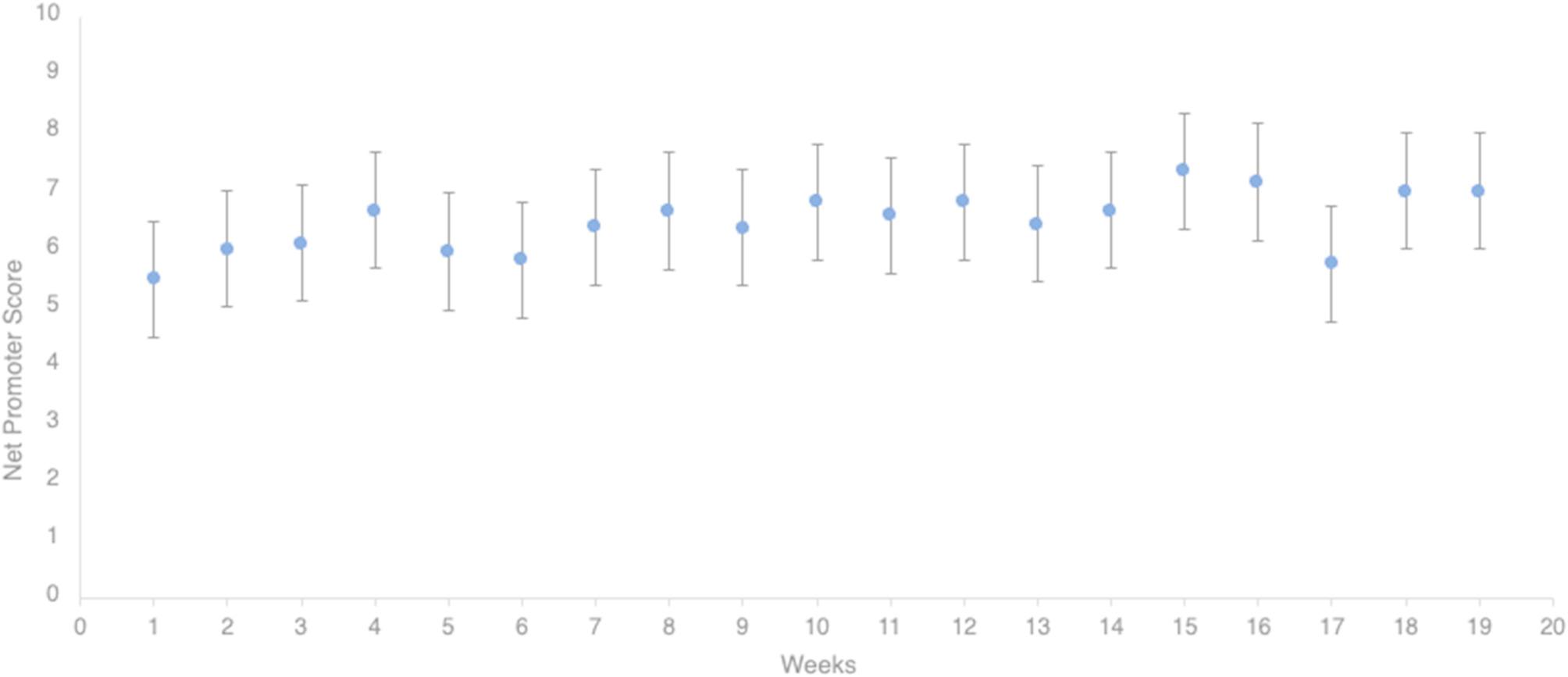
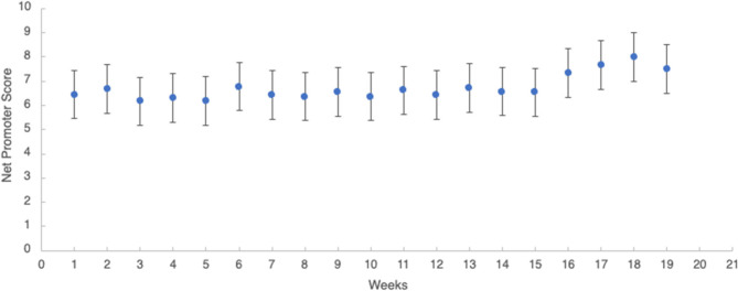
背景:初级保健医生面临着越来越高的职业倦怠,往往很难在工作中找到乐趣,选择初级保健作为职业的医生越来越少。同伴指导通过培养医生之间的联系和支持,提供了一种提高专业成就感和工作满意度的方法。在这项研究中,我们评估了安大略省家庭医生指导通知同伴支持计划的试点。我们的评估探讨了该计划是否有助于增加实践中的乐趣,加强职业幸福感,并减少倦怠。方法:在“快乐同伴”项目中,医生被训练成“向导”,并在3次会议中支持其他医生“学习者”,以确定他们的目标,并找到在工作中创造快乐的方法。为了评估这个试点项目,我们采用了多种方法,包括调查、访谈和焦点小组,以探讨该项目是否增加了实践中的乐趣,减少了倦怠,以及它对导游的潜在影响。主要结果集中在实践中的满意度和喜悦,通过调查问题来评估:“你有多大可能推荐家庭医生这份工作?”对连续变量的调查用方差分析,对分类变量的Fisher精确检验和每周一个问题的调查用Mann Kendall趋势检验分析。访谈记录和分析采用专题分析。结果:2024年1 - 4月共参与32名同伴学习者和27名同伴导师员。参与后,同伴学习者和同伴向导都更有可能向朋友或同事推荐他们作为家庭医生的工作(学习者从5.5/10增加到7.0,P = 0.004,向导从6.4/10增加到7.5,P = 0.003)。同伴学习者报告说,他们加入这个项目是因为精疲力竭,因为他们想找到快乐和联系。同行导游希望帮助他们的同事重拾对家庭医学的热情。同伴学习者描述了参与该计划的各种好处,包括感觉得到了认可,收到了有关工作流程改进的建议,并鼓励他们转变对家庭医生角色的看法。同侪指导也觉得这段经历很有意义,它帮助他们转变了对家庭医生角色的看法,他们学到了宝贵的指导技巧,这些技巧可以应用到他们的临床遭遇中。结论:该试点展示了一种可接受的、潜在的有益方法,可以提高家庭医生的抗疲劳能力,促进团聚,提高工作乐趣。因此,该项目可以成为家庭医生同伴支持的可持续方法。
本文章由计算机程序翻译,如有差异,请以英文原文为准。

Strengthening family medicine through coaching-informed peer support: a pilot program evaluation.

Strengthening family medicine through coaching-informed peer support: a pilot program evaluation.

Strengthening family medicine through coaching-informed peer support: a pilot program evaluation.

Strengthening family medicine through coaching-informed peer support: a pilot program evaluation.

Background: Primary care physicians are facing elevated levels of burnout and often struggle to find joy in their work, with fewer physicians choosing primary care as a career. Peer coaching offers a way to enhance professional fulfillment and job satisfaction by fostering connection and support among physicians. In this study, we evaluated a pilot coaching-informed peer support program for family physicians in Ontario. Our evaluation explored whether the program helped increase joy in practice, strengthen professional well-being, and reduce burnout.

Methods: In the Peers for Joy program, physicians are trained to be "Guides" and support fellow physician "Learners" across 3 meetings to identify their goals and find ways to create joy in their work. To evaluate this pilot program, we used a multi-methods approach including surveys, interviews, and focus groups to explore whether the program increased joy in practice and reduced burnout, as well as its potential impacts on the guides. The primary outcome focused on satisfaction and joy in practice, assessed through the survey question: "How likely are you to recommend this job as a family physician?". Surveys were analyzed with Anova for continuous variables, Fisher's exact tests for categorical variables and the weekly one question surveys were analyzed with the Mann Kendall trend tests. Interviews were transcribed and analyzed using thematic analysis.

Results: 32 peer learners and 27 peer guides participated in the pilot from January-April 2024. After participation, both peer learners and peer guides were more likely to recommend their job as a family physician to a friend or colleague (learners increased from 5.5/10 to 7.0, P = 0.004 and guides from 6.4/10 to 7.5, P = 0.003). Peer learners reported they joined the program due to burnout and because they wanted to find joy and connection. Peer guides wanted to help their colleagues regain their passion for family medicine. Peer learners described various benefits from participating in the program, including feeling validated, receiving advice on workflow improvements, and encouragement to shift their perspective on their role as a family physician. Peer guides also felt that the experience was fulfilling, that it helped shift their perspective on their role as a family physician, and that they learned valuable coaching techniques that could be applied in their clinical encounters.

Conclusion: The pilot demonstrated an acceptable and potentially helpful approach to improve family physician resiliency from burnout, promote togetherness, and improve joy in work. As such, the program could be a sustainable approach to peer support for family physicians.

求助全文
通过发布文献求助,成功后即可免费获取论文全文。 去求助
来源期刊
CiteScore
4.40
自引率
0.00%
发文量
0
×
引用
GB/T 7714-2015
复制
MLA
复制
APA
复制
导出至
BibTeX EndNote RefMan NoteFirst NoteExpress
×
提示
您的信息不完整,为了账户安全,请先补充。
现在去补充
×
提示
您因"违规操作"
具体请查看互助需知
我知道了
×
提示
确定
请完成安全验证×
copy
已复制链接
快去分享给好友吧!
我知道了
右上角分享
点击右上角分享
0
联系我们:info@booksci.cn Book学术提供免费学术资源搜索服务,方便国内外学者检索中英文文献。致力于提供最便捷和优质的服务体验。 Copyright © 2023 布克学术 All rights reserved.
京ICP备2023020795号-1
ghs 京公网安备 11010802042870号
Book学术文献互助
Book学术文献互助群
群 号:604180095
Book学术官方微信