心脏瓣膜手术中血管疾病的患病率、临床特征和预后:一项多中心研究。

IF 3.1 3区 医学 Q2 CARDIAC & CARDIOVASCULAR SYSTEMS
Global Heart Pub Date : 2025-08-28 eCollection Date: 2025-01-01 DOI:10.5334/gh.1462
Ching-Yan Zhu, Jing-Nan Zhang, Yi-Kei Tse, Qing-Wen Ren, Jia-Yi Huang, Si-Yeung Yu, Ran Guo, Wen-Li Gu, Daniel Tai-Leung Chan, Gregory Y H Lip, Kai-Hang Yiu
{"title":"心脏瓣膜手术中血管疾病的患病率、临床特征和预后:一项多中心研究。","authors":"Ching-Yan Zhu, Jing-Nan Zhang, Yi-Kei Tse, Qing-Wen Ren, Jia-Yi Huang, Si-Yeung Yu, Ran Guo, Wen-Li Gu, Daniel Tai-Leung Chan, Gregory Y H Lip, Kai-Hang Yiu","doi":"10.5334/gh.1462","DOIUrl":null,"url":null,"abstract":"<p><strong>Background: </strong>The clinical significance of atherosclerotic disease in more than one vascular bed, that is, polyvascular disease, in valvular heart surgery remains poorly understood. This study aims to establish the prevalence and prognostic value of polyvascular disease for long-term outcomes after valvular heart surgery.</p><p><strong>Methods: </strong>Patients receiving valvular heart surgery at two tertiary centres from January 1, 2010 to December 31, 2021 were identified. We examined the effect of atherosclerotic disease in three major vascular beds, including coronary artery disease (CAD), ischaemic cerebrovascular accidents (CVA) and peripheral vascular disease (PVD), on postoperative major adverse cardiac events (MACE) and all-cause mortality. Polyvascular disease was defined as atherosclerotic disease in ≥2 vascular beds.</p><p><strong>Results: </strong>Of 3843 patients (mean age 58 ± 13 years; 52% male), 1266 (33%) had atherosclerotic disease in ≥1 vascular beds, including 207 (5.4%) with polyvascular disease. Patients with vascular disease were older with more comorbidities, higher surgical risk and more aortic stenosis. Over a median follow-up of 6.37 years (IQR: 3.40-9.54), patients with polyvascular disease had the greatest long-term MACE risk [HR: 1.68 (1.35-2.10)], followed by those with monovascular disease [HR: 1.43 (1.24-1.65)]. Both monovascular and polyvascular disease independently predicted mortality and MACE. Patients with extracardiac vascular disease had independently greater long-term MACE risk than CAD [HR: 1.56 (1.27-1.92)].</p><p><strong>Conclusion: </strong>Patients undergoing valvular heart surgery exhibit a high prevalence of vascular disease. The risk of adverse outcomes rises with both the presence and extent of vascular disease, and extracardiac vascular disease confers greater risk of MACE than CAD.</p>","PeriodicalId":56018,"journal":{"name":"Global Heart","volume":"20 1","pages":"71"},"PeriodicalIF":3.1000,"publicationDate":"2025-08-28","publicationTypes":"Journal Article","fieldsOfStudy":null,"isOpenAccess":false,"openAccessPdf":"https://www.ncbi.nlm.nih.gov/pmc/articles/PMC12396194/pdf/","citationCount":"0","resultStr":"{\"title\":\"Prevalence, Clinical Characteristics and Prognosis of Vascular Disease in Valvular Heart Surgery: A Multi-Centre Study.\",\"authors\":\"Ching-Yan Zhu, Jing-Nan Zhang, Yi-Kei Tse, Qing-Wen Ren, Jia-Yi Huang, Si-Yeung Yu, Ran Guo, Wen-Li Gu, Daniel Tai-Leung Chan, Gregory Y H Lip, Kai-Hang Yiu\",\"doi\":\"10.5334/gh.1462\",\"DOIUrl\":null,\"url\":null,\"abstract\":\"<p><strong>Background: </strong>The clinical significance of atherosclerotic disease in more than one vascular bed, that is, polyvascular disease, in valvular heart surgery remains poorly understood. This study aims to establish the prevalence and prognostic value of polyvascular disease for long-term outcomes after valvular heart surgery.</p><p><strong>Methods: </strong>Patients receiving valvular heart surgery at two tertiary centres from January 1, 2010 to December 31, 2021 were identified. We examined the effect of atherosclerotic disease in three major vascular beds, including coronary artery disease (CAD), ischaemic cerebrovascular accidents (CVA) and peripheral vascular disease (PVD), on postoperative major adverse cardiac events (MACE) and all-cause mortality. Polyvascular disease was defined as atherosclerotic disease in ≥2 vascular beds.</p><p><strong>Results: </strong>Of 3843 patients (mean age 58 ± 13 years; 52% male), 1266 (33%) had atherosclerotic disease in ≥1 vascular beds, including 207 (5.4%) with polyvascular disease. Patients with vascular disease were older with more comorbidities, higher surgical risk and more aortic stenosis. Over a median follow-up of 6.37 years (IQR: 3.40-9.54), patients with polyvascular disease had the greatest long-term MACE risk [HR: 1.68 (1.35-2.10)], followed by those with monovascular disease [HR: 1.43 (1.24-1.65)]. Both monovascular and polyvascular disease independently predicted mortality and MACE. Patients with extracardiac vascular disease had independently greater long-term MACE risk than CAD [HR: 1.56 (1.27-1.92)].</p><p><strong>Conclusion: </strong>Patients undergoing valvular heart surgery exhibit a high prevalence of vascular disease. The risk of adverse outcomes rises with both the presence and extent of vascular disease, and extracardiac vascular disease confers greater risk of MACE than CAD.</p>\",\"PeriodicalId\":56018,\"journal\":{\"name\":\"Global Heart\",\"volume\":\"20 1\",\"pages\":\"71\"},\"PeriodicalIF\":3.1000,\"publicationDate\":\"2025-08-28\",\"publicationTypes\":\"Journal Article\",\"fieldsOfStudy\":null,\"isOpenAccess\":false,\"openAccessPdf\":\"https://www.ncbi.nlm.nih.gov/pmc/articles/PMC12396194/pdf/\",\"citationCount\":\"0\",\"resultStr\":null,\"platform\":\"Semanticscholar\",\"paperid\":null,\"PeriodicalName\":\"Global Heart\",\"FirstCategoryId\":\"3\",\"ListUrlMain\":\"https://doi.org/10.5334/gh.1462\",\"RegionNum\":3,\"RegionCategory\":\"医学\",\"ArticlePicture\":[],\"TitleCN\":null,\"AbstractTextCN\":null,\"PMCID\":null,\"EPubDate\":\"2025/1/1 0:00:00\",\"PubModel\":\"eCollection\",\"JCR\":\"Q2\",\"JCRName\":\"CARDIAC & CARDIOVASCULAR SYSTEMS\",\"Score\":null,\"Total\":0}","platform":"Semanticscholar","paperid":null,"PeriodicalName":"Global Heart","FirstCategoryId":"3","ListUrlMain":"https://doi.org/10.5334/gh.1462","RegionNum":3,"RegionCategory":"医学","ArticlePicture":[],"TitleCN":null,"AbstractTextCN":null,"PMCID":null,"EPubDate":"2025/1/1 0:00:00","PubModel":"eCollection","JCR":"Q2","JCRName":"CARDIAC & CARDIOVASCULAR SYSTEMS","Score":null,"Total":0}
引用次数: 0

摘要

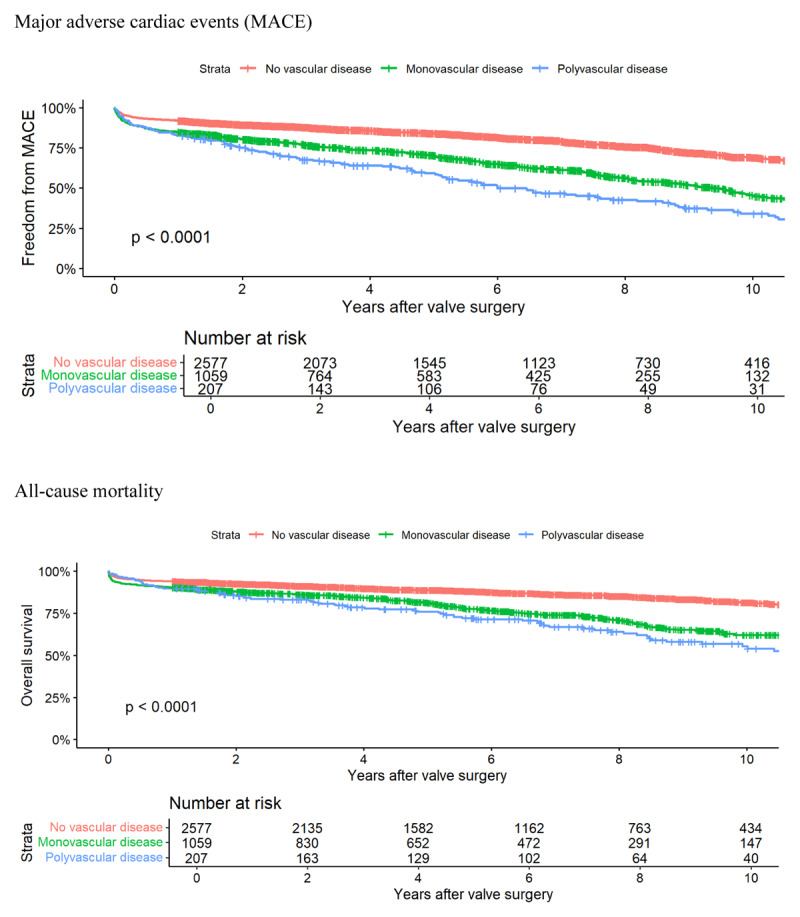
背景:多血管床动脉粥样硬化性疾病,即多血管疾病,在心脏瓣膜手术中的临床意义尚不清楚。本研究旨在确定心脏瓣膜手术后多血管疾病的患病率和预后价值。方法:选取2010年1月1日至2021年12月31日在两家三级医院接受心脏瓣膜手术的患者。我们研究了三种主要血管床的动脉粥样硬化性疾病,包括冠状动脉疾病(CAD)、缺血性脑血管意外(CVA)和外周血管疾病(PVD),对术后主要不良心脏事件(MACE)和全因死亡率的影响。多血管疾病定义为≥2个血管床的动脉粥样硬化性疾病。结果:3843例患者(平均年龄58±13岁,男性52%)中,1266例(33%)存在≥1个血管床的动脉粥样硬化性疾病,其中多血管病变207例(5.4%)。血管疾病患者年龄大,合并症多,手术风险高,主动脉狭窄多。中位随访6.37年(IQR: 3.40-9.54),多血管疾病患者长期MACE风险最高[HR: 1.68(1.35-2.10)],其次是单血管疾病患者[HR: 1.43(1.24-1.65)]。单血管和多血管疾病都能独立预测死亡率和MACE。心外血管疾病患者的独立长期MACE风险高于CAD [HR: 1.56(1.27-1.92)]。结论:心脏瓣膜手术患者血管疾病发生率高。不良后果的风险随着血管疾病的存在和程度而增加,心外血管疾病导致MACE的风险高于CAD。
本文章由计算机程序翻译,如有差异,请以英文原文为准。

Prevalence, Clinical Characteristics and Prognosis of Vascular Disease in Valvular Heart Surgery: A Multi-Centre Study.

Prevalence, Clinical Characteristics and Prognosis of Vascular Disease in Valvular Heart Surgery: A Multi-Centre Study.

Prevalence, Clinical Characteristics and Prognosis of Vascular Disease in Valvular Heart Surgery: A Multi-Centre Study.

Prevalence, Clinical Characteristics and Prognosis of Vascular Disease in Valvular Heart Surgery: A Multi-Centre Study.

Background: The clinical significance of atherosclerotic disease in more than one vascular bed, that is, polyvascular disease, in valvular heart surgery remains poorly understood. This study aims to establish the prevalence and prognostic value of polyvascular disease for long-term outcomes after valvular heart surgery.

Methods: Patients receiving valvular heart surgery at two tertiary centres from January 1, 2010 to December 31, 2021 were identified. We examined the effect of atherosclerotic disease in three major vascular beds, including coronary artery disease (CAD), ischaemic cerebrovascular accidents (CVA) and peripheral vascular disease (PVD), on postoperative major adverse cardiac events (MACE) and all-cause mortality. Polyvascular disease was defined as atherosclerotic disease in ≥2 vascular beds.

Results: Of 3843 patients (mean age 58 ± 13 years; 52% male), 1266 (33%) had atherosclerotic disease in ≥1 vascular beds, including 207 (5.4%) with polyvascular disease. Patients with vascular disease were older with more comorbidities, higher surgical risk and more aortic stenosis. Over a median follow-up of 6.37 years (IQR: 3.40-9.54), patients with polyvascular disease had the greatest long-term MACE risk [HR: 1.68 (1.35-2.10)], followed by those with monovascular disease [HR: 1.43 (1.24-1.65)]. Both monovascular and polyvascular disease independently predicted mortality and MACE. Patients with extracardiac vascular disease had independently greater long-term MACE risk than CAD [HR: 1.56 (1.27-1.92)].

Conclusion: Patients undergoing valvular heart surgery exhibit a high prevalence of vascular disease. The risk of adverse outcomes rises with both the presence and extent of vascular disease, and extracardiac vascular disease confers greater risk of MACE than CAD.

求助全文
通过发布文献求助,成功后即可免费获取论文全文。 去求助
来源期刊
Global Heart
Global Heart Medicine-Cardiology and Cardiovascular Medicine
CiteScore
5.70
自引率
5.40%
发文量
77
审稿时长
5 weeks
期刊介绍: Global Heart offers a forum for dialogue and education on research, developments, trends, solutions and public health programs related to the prevention and control of cardiovascular diseases (CVDs) worldwide, with a special focus on low- and middle-income countries (LMICs). Manuscripts should address not only the extent or epidemiology of the problem, but also describe interventions to effectively control and prevent CVDs and the underlying factors. The emphasis should be on approaches applicable in settings with limited resources. Economic evaluations of successful interventions are particularly welcome. We will also consider negative findings if important. While reports of hospital or clinic-based treatments are not excluded, particularly if they have broad implications for cost-effective disease control or prevention, we give priority to papers addressing community-based activities. We encourage submissions on cardiovascular surveillance and health policies, professional education, ethical issues and technological innovations related to prevention. Global Heart is particularly interested in publishing data from updated national or regional demographic health surveys, World Health Organization or Global Burden of Disease data, large clinical disease databases or registries. Systematic reviews or meta-analyses on globally relevant topics are welcome. We will also consider clinical research that has special relevance to LMICs, e.g. using validated instruments to assess health-related quality-of-life in patients from LMICs, innovative diagnostic-therapeutic applications, real-world effectiveness clinical trials, research methods (innovative methodologic papers, with emphasis on low-cost research methods or novel application of methods in low resource settings), and papers pertaining to cardiovascular health promotion and policy (quantitative evaluation of health programs.
×
引用
GB/T 7714-2015
复制
MLA
复制
APA
复制
导出至
BibTeX EndNote RefMan NoteFirst NoteExpress
×
提示
您的信息不完整,为了账户安全,请先补充。
现在去补充
×
提示
您因"违规操作"
具体请查看互助需知
我知道了
×
提示
确定
请完成安全验证×
copy
已复制链接
快去分享给好友吧!
我知道了
右上角分享
点击右上角分享
0
联系我们:info@booksci.cn Book学术提供免费学术资源搜索服务,方便国内外学者检索中英文文献。致力于提供最便捷和优质的服务体验。 Copyright © 2023 布克学术 All rights reserved.
京ICP备2023020795号-1
ghs 京公网安备 11010802042870号
Book学术文献互助
Book学术文献互助群
群 号:604180095
Book学术官方微信