提高医疗保险风险调整公平性的算法。

IF 11.3 Q1 HEALTH CARE SCIENCES & SERVICES
Marissa B Reitsma, Thomas G McGuire, Sherri Rose
{"title":"提高医疗保险风险调整公平性的算法。","authors":"Marissa B Reitsma, Thomas G McGuire, Sherri Rose","doi":"10.1001/jamahealthforum.2025.2640","DOIUrl":null,"url":null,"abstract":"<p><strong>Importance: </strong>Payment system design creates incentives that affect health care spending, access, and outcomes. With Medicare Advantage accounting for more than half of Medicare spending, changes to its risk adjustment algorithm have the potential for broad consequences.</p><p><strong>Objective: </strong>To assess the potential for algorithmic tools to achieve more equitable plan payment for Medicare risk adjustment while maintaining current levels of performance, flexibility, feasibility, transparency, and interpretability.</p><p><strong>Design, setting, and participants: </strong>This diagnostic study included a retrospective analysis of traditional Medicare enrollment and claims data generated between January 1, 2017, and December 31, 2020, from a random 20% sample of non-dual-eligible Medicare beneficiaries with documented residence in the US or Puerto Rico. Race and ethnicity were designated using the Research Triangle Institute enhanced indicator. Diagnoses in claims were mapped to hierarchical condition categories. Algorithms used demographic indicators and hierarchical condition categories from 1 calendar year to predict Medicare spending in the subsequent year. Data analysis was conducted between August 16, 2023, and January 27, 2025.</p><p><strong>Main outcomes and measures: </strong>The main outcome was prospective health care spending by Medicare. Overall performance was measured by payment system fit and mean absolute error. Net compensation was used to assess group-level fairness.</p><p><strong>Results: </strong>The main analysis of Medicare risk adjustment algorithms included 4 398 035 Medicare beneficiaries with a mean (SD) age of 75.2 (7.4) years and mean (SD) annual Medicare spending of $8345 ($18 581); 44% were men; fewer than 1% were American Indian or Alaska Native, 2% were Asian or Other Pacific Islander, 6% were Black, 3% were Hispanic, 86% were non-Hispanic White, and 1% were part of an additional group (termed as other in the Centers for Medicare & Medicaid Services data). Out-of-sample payment system fit for the baseline regression was 12.7%. Constrained regression and postprocessing both achieved fair spending targets while maintaining payment system fit (constrained regression, 12.6%; postprocessing, 12.7%). Whereas postprocessing increased mean payments for beneficiaries in minoritized racial and ethnic groups (American Indian or Alaska Native, Asian or Other Pacific Islander, Black, and Hispanic individuals) only, constrained regression increased mean payments for beneficiaries in minoritized racial and ethnic groups and beneficiaries in other groups residing in counties with greater exposure to socioeconomic factors that can adversely affect health outcomes.</p><p><strong>Conclusions and relevance: </strong>Results of this study suggest that constrained regression and postprocessing can incorporate fairness objectives into the Medicare risk adjustment algorithm with minimal reduction in overall fit. These feasible changes to the Medicare risk adjustment algorithm could be considered by policymakers aiming to address health care disparities through payment system reform.</p>","PeriodicalId":53180,"journal":{"name":"JAMA Health Forum","volume":"6 8","pages":"e252640"},"PeriodicalIF":11.3000,"publicationDate":"2025-08-01","publicationTypes":"Journal Article","fieldsOfStudy":null,"isOpenAccess":false,"openAccessPdf":"https://www.ncbi.nlm.nih.gov/pmc/articles/PMC12397885/pdf/","citationCount":"0","resultStr":"{\"title\":\"Algorithms to Improve Fairness in Medicare Risk Adjustment.\",\"authors\":\"Marissa B Reitsma, Thomas G McGuire, Sherri Rose\",\"doi\":\"10.1001/jamahealthforum.2025.2640\",\"DOIUrl\":null,\"url\":null,\"abstract\":\"<p><strong>Importance: </strong>Payment system design creates incentives that affect health care spending, access, and outcomes. With Medicare Advantage accounting for more than half of Medicare spending, changes to its risk adjustment algorithm have the potential for broad consequences.</p><p><strong>Objective: </strong>To assess the potential for algorithmic tools to achieve more equitable plan payment for Medicare risk adjustment while maintaining current levels of performance, flexibility, feasibility, transparency, and interpretability.</p><p><strong>Design, setting, and participants: </strong>This diagnostic study included a retrospective analysis of traditional Medicare enrollment and claims data generated between January 1, 2017, and December 31, 2020, from a random 20% sample of non-dual-eligible Medicare beneficiaries with documented residence in the US or Puerto Rico. Race and ethnicity were designated using the Research Triangle Institute enhanced indicator. Diagnoses in claims were mapped to hierarchical condition categories. Algorithms used demographic indicators and hierarchical condition categories from 1 calendar year to predict Medicare spending in the subsequent year. Data analysis was conducted between August 16, 2023, and January 27, 2025.</p><p><strong>Main outcomes and measures: </strong>The main outcome was prospective health care spending by Medicare. Overall performance was measured by payment system fit and mean absolute error. Net compensation was used to assess group-level fairness.</p><p><strong>Results: </strong>The main analysis of Medicare risk adjustment algorithms included 4 398 035 Medicare beneficiaries with a mean (SD) age of 75.2 (7.4) years and mean (SD) annual Medicare spending of $8345 ($18 581); 44% were men; fewer than 1% were American Indian or Alaska Native, 2% were Asian or Other Pacific Islander, 6% were Black, 3% were Hispanic, 86% were non-Hispanic White, and 1% were part of an additional group (termed as other in the Centers for Medicare & Medicaid Services data). Out-of-sample payment system fit for the baseline regression was 12.7%. Constrained regression and postprocessing both achieved fair spending targets while maintaining payment system fit (constrained regression, 12.6%; postprocessing, 12.7%). Whereas postprocessing increased mean payments for beneficiaries in minoritized racial and ethnic groups (American Indian or Alaska Native, Asian or Other Pacific Islander, Black, and Hispanic individuals) only, constrained regression increased mean payments for beneficiaries in minoritized racial and ethnic groups and beneficiaries in other groups residing in counties with greater exposure to socioeconomic factors that can adversely affect health outcomes.</p><p><strong>Conclusions and relevance: </strong>Results of this study suggest that constrained regression and postprocessing can incorporate fairness objectives into the Medicare risk adjustment algorithm with minimal reduction in overall fit. These feasible changes to the Medicare risk adjustment algorithm could be considered by policymakers aiming to address health care disparities through payment system reform.</p>\",\"PeriodicalId\":53180,\"journal\":{\"name\":\"JAMA Health Forum\",\"volume\":\"6 8\",\"pages\":\"e252640\"},\"PeriodicalIF\":11.3000,\"publicationDate\":\"2025-08-01\",\"publicationTypes\":\"Journal Article\",\"fieldsOfStudy\":null,\"isOpenAccess\":false,\"openAccessPdf\":\"https://www.ncbi.nlm.nih.gov/pmc/articles/PMC12397885/pdf/\",\"citationCount\":\"0\",\"resultStr\":null,\"platform\":\"Semanticscholar\",\"paperid\":null,\"PeriodicalName\":\"JAMA Health Forum\",\"FirstCategoryId\":\"1085\",\"ListUrlMain\":\"https://doi.org/10.1001/jamahealthforum.2025.2640\",\"RegionNum\":0,\"RegionCategory\":null,\"ArticlePicture\":[],\"TitleCN\":null,\"AbstractTextCN\":null,\"PMCID\":null,\"EPubDate\":\"\",\"PubModel\":\"\",\"JCR\":\"Q1\",\"JCRName\":\"HEALTH CARE SCIENCES & SERVICES\",\"Score\":null,\"Total\":0}","platform":"Semanticscholar","paperid":null,"PeriodicalName":"JAMA Health Forum","FirstCategoryId":"1085","ListUrlMain":"https://doi.org/10.1001/jamahealthforum.2025.2640","RegionNum":0,"RegionCategory":null,"ArticlePicture":[],"TitleCN":null,"AbstractTextCN":null,"PMCID":null,"EPubDate":"","PubModel":"","JCR":"Q1","JCRName":"HEALTH CARE SCIENCES & SERVICES","Score":null,"Total":0}
引用次数: 0

摘要

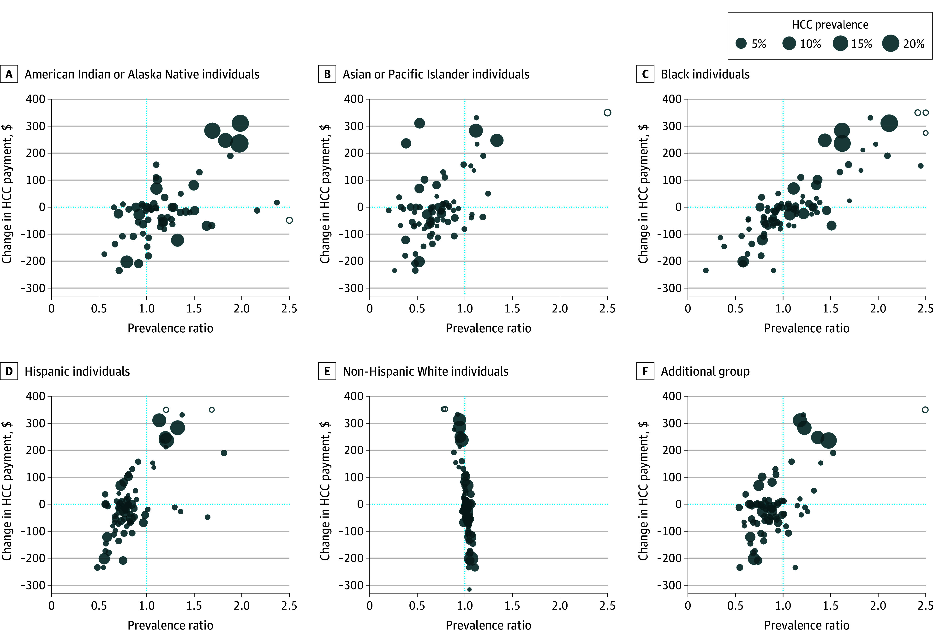
重要性:支付系统设计创造了影响医疗保健支出、获取和结果的激励机制。由于医疗保险优势占医疗保险支出的一半以上,对其风险调整算法的改变可能会产生广泛的影响。目的:评估算法工具在保持当前绩效、灵活性、可行性、透明度和可解释性水平的同时,实现更公平的医疗保险风险调整计划支付的潜力。设计、环境和参与者:本诊断性研究包括对2017年1月1日至2020年12月31日期间产生的传统医疗保险登记和索赔数据进行回顾性分析,这些数据来自随机抽取的20%在美国或波多黎各有居留证的非双重资格医疗保险受益人样本。种族和民族是使用三角研究所增强指标指定的。索赔中的诊断被映射到分层条件类别。算法使用1个日历年的人口统计指标和分层条件类别来预测下一年的医疗保险支出。数据分析时间为2023年8月16日至2025年1月27日。主要结局和措施:主要结局是医疗保险的预期医疗保健支出。总体表现是通过支付系统的适合度和平均绝对误差来衡量的。净报酬用于评估群体层面的公平性。结果:主要分析的医疗保险风险调整算法包括4 398 035名医疗保险受益人,平均(SD)年龄为75.2(7.4)岁,平均(SD)年医疗保险支出为8345美元(18 581);44%是男性;不到1%是美洲印第安人或阿拉斯加原住民,2%是亚洲人或其他太平洋岛民,6%是黑人,3%是西班牙裔,86%是非西班牙裔白人,1%是另一个群体的一部分(在医疗保险和医疗补助服务中心数据中称为其他)。样本外支付系统对基线回归的拟合度为12.7%。约束回归和后处理都实现了公平的支出目标,同时保持了支付系统的适应性(约束回归,12.6%;后处理,12.7%)。虽然后处理仅增加了少数种族和族裔群体(美洲印第安人或阿拉斯加原住民、亚洲人或其他太平洋岛民、黑人和西班牙裔个人)受益人的平均支付,但约束回归增加了少数种族和族裔群体和居住在可能对健康结果产生不利影响的社会经济因素较多的县的其他群体的受益人的平均支付。结论和相关性:本研究的结果表明,约束回归和后处理可以将公平目标纳入医疗保险风险调整算法,而整体拟合的降低最小。旨在通过支付系统改革解决医疗保健差距问题的政策制定者可以考虑对医疗保险风险调整算法进行这些可行的更改。
本文章由计算机程序翻译,如有差异,请以英文原文为准。

Algorithms to Improve Fairness in Medicare Risk Adjustment.

Algorithms to Improve Fairness in Medicare Risk Adjustment.

Algorithms to Improve Fairness in Medicare Risk Adjustment.

Importance: Payment system design creates incentives that affect health care spending, access, and outcomes. With Medicare Advantage accounting for more than half of Medicare spending, changes to its risk adjustment algorithm have the potential for broad consequences.

Objective: To assess the potential for algorithmic tools to achieve more equitable plan payment for Medicare risk adjustment while maintaining current levels of performance, flexibility, feasibility, transparency, and interpretability.

Design, setting, and participants: This diagnostic study included a retrospective analysis of traditional Medicare enrollment and claims data generated between January 1, 2017, and December 31, 2020, from a random 20% sample of non-dual-eligible Medicare beneficiaries with documented residence in the US or Puerto Rico. Race and ethnicity were designated using the Research Triangle Institute enhanced indicator. Diagnoses in claims were mapped to hierarchical condition categories. Algorithms used demographic indicators and hierarchical condition categories from 1 calendar year to predict Medicare spending in the subsequent year. Data analysis was conducted between August 16, 2023, and January 27, 2025.

Main outcomes and measures: The main outcome was prospective health care spending by Medicare. Overall performance was measured by payment system fit and mean absolute error. Net compensation was used to assess group-level fairness.

Results: The main analysis of Medicare risk adjustment algorithms included 4 398 035 Medicare beneficiaries with a mean (SD) age of 75.2 (7.4) years and mean (SD) annual Medicare spending of $8345 ($18 581); 44% were men; fewer than 1% were American Indian or Alaska Native, 2% were Asian or Other Pacific Islander, 6% were Black, 3% were Hispanic, 86% were non-Hispanic White, and 1% were part of an additional group (termed as other in the Centers for Medicare & Medicaid Services data). Out-of-sample payment system fit for the baseline regression was 12.7%. Constrained regression and postprocessing both achieved fair spending targets while maintaining payment system fit (constrained regression, 12.6%; postprocessing, 12.7%). Whereas postprocessing increased mean payments for beneficiaries in minoritized racial and ethnic groups (American Indian or Alaska Native, Asian or Other Pacific Islander, Black, and Hispanic individuals) only, constrained regression increased mean payments for beneficiaries in minoritized racial and ethnic groups and beneficiaries in other groups residing in counties with greater exposure to socioeconomic factors that can adversely affect health outcomes.

Conclusions and relevance: Results of this study suggest that constrained regression and postprocessing can incorporate fairness objectives into the Medicare risk adjustment algorithm with minimal reduction in overall fit. These feasible changes to the Medicare risk adjustment algorithm could be considered by policymakers aiming to address health care disparities through payment system reform.

求助全文
通过发布文献求助,成功后即可免费获取论文全文。 去求助
来源期刊
CiteScore
4.00
自引率
7.80%
发文量
0
期刊介绍: JAMA Health Forum is an international, peer-reviewed, online, open access journal that addresses health policy and strategies affecting medicine, health, and health care. The journal publishes original research, evidence-based reports, and opinion about national and global health policy. It covers innovative approaches to health care delivery and health care economics, access, quality, safety, equity, and reform. In addition to publishing articles, JAMA Health Forum also features commentary from health policy leaders on the JAMA Forum. It covers news briefs on major reports released by government agencies, foundations, health policy think tanks, and other policy-focused organizations. JAMA Health Forum is a member of the JAMA Network, which is a consortium of peer-reviewed, general medical and specialty publications. The journal presents curated health policy content from across the JAMA Network, including journals such as JAMA and JAMA Internal Medicine.
×
引用
GB/T 7714-2015
复制
MLA
复制
APA
复制
导出至
BibTeX EndNote RefMan NoteFirst NoteExpress
×
提示
您的信息不完整,为了账户安全,请先补充。
现在去补充
×
提示
您因"违规操作"
具体请查看互助需知
我知道了
×
提示
确定
请完成安全验证×
copy
已复制链接
快去分享给好友吧!
我知道了
右上角分享
点击右上角分享
0
联系我们:info@booksci.cn Book学术提供免费学术资源搜索服务,方便国内外学者检索中英文文献。致力于提供最便捷和优质的服务体验。 Copyright © 2023 布克学术 All rights reserved.
京ICP备2023020795号-1
ghs 京公网安备 11010802042870号
Book学术文献互助
Book学术文献互助群
群 号:604180095
Book学术官方微信