尿P75:肌萎缩性侧索硬化症的一个有前途的生物标志物。

IF 2.4 Q3 CLINICAL NEUROLOGY
BMJ Neurology Open Pub Date : 2025-08-22 eCollection Date: 2025-01-01 DOI:10.1136/bmjno-2025-001088
Laura R Chapman, Stephanie Shepheard, Nick Verber, Martin R Turner, Andrea Malaspina, Mary-Louise Rogers, Pamela J Shaw
{"title":"尿P75:肌萎缩性侧索硬化症的一个有前途的生物标志物。","authors":"Laura R Chapman, Stephanie Shepheard, Nick Verber, Martin R Turner, Andrea Malaspina, Mary-Louise Rogers, Pamela J Shaw","doi":"10.1136/bmjno-2025-001088","DOIUrl":null,"url":null,"abstract":"<p><strong>Abstract: </strong></p><p><strong>Background: </strong>Amyotrophic lateral sclerosis (ALS) is a progressive and fatal disease. The urinary neurotrophin receptor p75 extracellular domain (p75<sup>ECD</sup>) has previously been reported as a potential disease biomarker for diagnosis, severity assessment and monitoring therapeutic response.</p><p><strong>Methods: </strong>This study measured urinary p75<sup>ECD</sup> using an enzyme-linked immunoassay and normalised the results against urinary creatinine. Participants were recruited via A Multicentre Biomarker Resource Strategy in ALS (AMBroSIA) programme. Study participants included 97 ALS patients, 24 of whom were studied longitudinally, and 27 healthy controls. The study focused on urinary p75<sup>ECD</sup> and its potential association with different subtypes of ALS, change over time, disease progression, severity of symptoms and survival from symptom onset.</p><p><strong>Results: </strong>Confirming previous findings, urinary p75<sup>ECD</sup> levels were significantly higher in patients with ALS (median 6.78 ng/mg, 95% CI (5.12 to 9.23)) compared with controls (4.57 ng/mg, 95% CI (3.35 to 5.89)) at first study visit. There was a significant negative correlation between absolute change in the Revised ALS Functional Rating Scale score and p75<sup>ECD</sup> levels (Spearman's rho=-0.371, p≤0.0004, 95% CI (-0.543 to -0.169)), indicating that an increase in the severity of motor neuron injury correlated with an increase in p75<sup>ECD</sup> levels. There was a significant increase in p75<sup>ECD</sup> between first and second samples in the same participants, indicating an increase in the level of this biomarker longitudinally during the disease course (moderate effect size of -0.3).</p><p><strong>Conclusions: </strong>Urinary p75<sup>ECD</sup> is a promising candidate as a biomarker, which increases with disease progression and has the potential to serve as a pharmacodynamic biomarker.</p>","PeriodicalId":52754,"journal":{"name":"BMJ Neurology Open","volume":"7 2","pages":"e001088"},"PeriodicalIF":2.4000,"publicationDate":"2025-08-22","publicationTypes":"Journal Article","fieldsOfStudy":null,"isOpenAccess":false,"openAccessPdf":"https://www.ncbi.nlm.nih.gov/pmc/articles/PMC12374632/pdf/","citationCount":"0","resultStr":"{\"title\":\"Urinary P75: a promising biomarker for amyotrophic lateral sclerosis.\",\"authors\":\"Laura R Chapman, Stephanie Shepheard, Nick Verber, Martin R Turner, Andrea Malaspina, Mary-Louise Rogers, Pamela J Shaw\",\"doi\":\"10.1136/bmjno-2025-001088\",\"DOIUrl\":null,\"url\":null,\"abstract\":\"<p><strong>Abstract: </strong></p><p><strong>Background: </strong>Amyotrophic lateral sclerosis (ALS) is a progressive and fatal disease. The urinary neurotrophin receptor p75 extracellular domain (p75<sup>ECD</sup>) has previously been reported as a potential disease biomarker for diagnosis, severity assessment and monitoring therapeutic response.</p><p><strong>Methods: </strong>This study measured urinary p75<sup>ECD</sup> using an enzyme-linked immunoassay and normalised the results against urinary creatinine. Participants were recruited via A Multicentre Biomarker Resource Strategy in ALS (AMBroSIA) programme. Study participants included 97 ALS patients, 24 of whom were studied longitudinally, and 27 healthy controls. The study focused on urinary p75<sup>ECD</sup> and its potential association with different subtypes of ALS, change over time, disease progression, severity of symptoms and survival from symptom onset.</p><p><strong>Results: </strong>Confirming previous findings, urinary p75<sup>ECD</sup> levels were significantly higher in patients with ALS (median 6.78 ng/mg, 95% CI (5.12 to 9.23)) compared with controls (4.57 ng/mg, 95% CI (3.35 to 5.89)) at first study visit. There was a significant negative correlation between absolute change in the Revised ALS Functional Rating Scale score and p75<sup>ECD</sup> levels (Spearman's rho=-0.371, p≤0.0004, 95% CI (-0.543 to -0.169)), indicating that an increase in the severity of motor neuron injury correlated with an increase in p75<sup>ECD</sup> levels. There was a significant increase in p75<sup>ECD</sup> between first and second samples in the same participants, indicating an increase in the level of this biomarker longitudinally during the disease course (moderate effect size of -0.3).</p><p><strong>Conclusions: </strong>Urinary p75<sup>ECD</sup> is a promising candidate as a biomarker, which increases with disease progression and has the potential to serve as a pharmacodynamic biomarker.</p>\",\"PeriodicalId\":52754,\"journal\":{\"name\":\"BMJ Neurology Open\",\"volume\":\"7 2\",\"pages\":\"e001088\"},\"PeriodicalIF\":2.4000,\"publicationDate\":\"2025-08-22\",\"publicationTypes\":\"Journal Article\",\"fieldsOfStudy\":null,\"isOpenAccess\":false,\"openAccessPdf\":\"https://www.ncbi.nlm.nih.gov/pmc/articles/PMC12374632/pdf/\",\"citationCount\":\"0\",\"resultStr\":null,\"platform\":\"Semanticscholar\",\"paperid\":null,\"PeriodicalName\":\"BMJ Neurology Open\",\"FirstCategoryId\":\"1085\",\"ListUrlMain\":\"https://doi.org/10.1136/bmjno-2025-001088\",\"RegionNum\":0,\"RegionCategory\":null,\"ArticlePicture\":[],\"TitleCN\":null,\"AbstractTextCN\":null,\"PMCID\":null,\"EPubDate\":\"2025/1/1 0:00:00\",\"PubModel\":\"eCollection\",\"JCR\":\"Q3\",\"JCRName\":\"CLINICAL NEUROLOGY\",\"Score\":null,\"Total\":0}","platform":"Semanticscholar","paperid":null,"PeriodicalName":"BMJ Neurology Open","FirstCategoryId":"1085","ListUrlMain":"https://doi.org/10.1136/bmjno-2025-001088","RegionNum":0,"RegionCategory":null,"ArticlePicture":[],"TitleCN":null,"AbstractTextCN":null,"PMCID":null,"EPubDate":"2025/1/1 0:00:00","PubModel":"eCollection","JCR":"Q3","JCRName":"CLINICAL NEUROLOGY","Score":null,"Total":0}
引用次数: 0

摘要

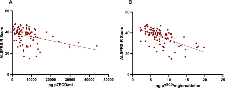
摘要:背景:肌萎缩性侧索硬化症(ALS)是一种进行性致命疾病。尿神经营养因子受体p75胞外结构域(p75ECD)曾被报道为诊断、严重程度评估和监测治疗反应的潜在疾病生物标志物。方法:本研究使用酶联免疫分析法测量尿p75ECD,并使尿肌酐的结果正常化。参与者通过ALS多中心生物标志物资源策略(AMBroSIA)项目招募。研究对象包括97名ALS患者,其中24人是纵向研究,27人是健康对照。该研究的重点是尿p75ECD及其与不同亚型ALS的潜在关联、随时间的变化、疾病进展、症状严重程度和症状发作后的生存率。结果:证实先前的发现,与对照组(4.57 ng/mg, 95% CI(3.35 ~ 5.89))相比,首次研究访问时ALS患者尿p75ECD水平显著升高(中位数为6.78 ng/mg, 95% CI(5.12 ~ 9.23))。修订ALS功能评分量表评分的绝对变化与p75ECD水平呈显著负相关(Spearman’s rho=-0.371, p≤0.0004,95% CI(-0.543 ~ -0.169)),表明运动神经元损伤严重程度的增加与p75ECD水平的升高相关。在同一参与者的第一个和第二个样本中,p75ECD显著增加,表明该生物标志物水平在疾病过程中纵向增加(中等效应大小为-0.3)。结论:尿p75ECD是一种有希望的生物标志物,随着疾病的进展而增加,具有作为药效学生物标志物的潜力。
本文章由计算机程序翻译,如有差异,请以英文原文为准。

Urinary P75: a promising biomarker for amyotrophic lateral sclerosis.

Urinary P75: a promising biomarker for amyotrophic lateral sclerosis.

Urinary P75: a promising biomarker for amyotrophic lateral sclerosis.

Urinary P75: a promising biomarker for amyotrophic lateral sclerosis.

Abstract:

Background: Amyotrophic lateral sclerosis (ALS) is a progressive and fatal disease. The urinary neurotrophin receptor p75 extracellular domain (p75ECD) has previously been reported as a potential disease biomarker for diagnosis, severity assessment and monitoring therapeutic response.

Methods: This study measured urinary p75ECD using an enzyme-linked immunoassay and normalised the results against urinary creatinine. Participants were recruited via A Multicentre Biomarker Resource Strategy in ALS (AMBroSIA) programme. Study participants included 97 ALS patients, 24 of whom were studied longitudinally, and 27 healthy controls. The study focused on urinary p75ECD and its potential association with different subtypes of ALS, change over time, disease progression, severity of symptoms and survival from symptom onset.

Results: Confirming previous findings, urinary p75ECD levels were significantly higher in patients with ALS (median 6.78 ng/mg, 95% CI (5.12 to 9.23)) compared with controls (4.57 ng/mg, 95% CI (3.35 to 5.89)) at first study visit. There was a significant negative correlation between absolute change in the Revised ALS Functional Rating Scale score and p75ECD levels (Spearman's rho=-0.371, p≤0.0004, 95% CI (-0.543 to -0.169)), indicating that an increase in the severity of motor neuron injury correlated with an increase in p75ECD levels. There was a significant increase in p75ECD between first and second samples in the same participants, indicating an increase in the level of this biomarker longitudinally during the disease course (moderate effect size of -0.3).

Conclusions: Urinary p75ECD is a promising candidate as a biomarker, which increases with disease progression and has the potential to serve as a pharmacodynamic biomarker.

求助全文
通过发布文献求助,成功后即可免费获取论文全文。 去求助
来源期刊
BMJ Neurology Open
BMJ Neurology Open Medicine-Neurology (clinical)
CiteScore
3.20
自引率
3.70%
发文量
46
审稿时长
13 weeks
×
引用
GB/T 7714-2015
复制
MLA
复制
APA
复制
导出至
BibTeX EndNote RefMan NoteFirst NoteExpress
×
提示
您的信息不完整,为了账户安全,请先补充。
现在去补充
×
提示
您因"违规操作"
具体请查看互助需知
我知道了
×
提示
确定
请完成安全验证×
copy
已复制链接
快去分享给好友吧!
我知道了
右上角分享
点击右上角分享
0
联系我们:info@booksci.cn Book学术提供免费学术资源搜索服务,方便国内外学者检索中英文文献。致力于提供最便捷和优质的服务体验。 Copyright © 2023 布克学术 All rights reserved.
京ICP备2023020795号-1
ghs 京公网安备 11010802042870号
Book学术文献互助
Book学术文献互助群
群 号:604180095
Book学术官方微信