人工智能医疗设备的早期召回和临床验证差距。

IF 11.3 Q1 HEALTH CARE SCIENCES & SERVICES
Branden Lee, Patrick Kramer, Sara Sandri, Ritika Chanda, Crystal Favorito, Olivia Nasef, Joseph S Ross, Joshua Sharfstein, Tinglong Dai
{"title":"人工智能医疗设备的早期召回和临床验证差距。","authors":"Branden Lee, Patrick Kramer, Sara Sandri, Ritika Chanda, Crystal Favorito, Olivia Nasef, Joseph S Ross, Joshua Sharfstein, Tinglong Dai","doi":"10.1001/jamahealthforum.2025.3172","DOIUrl":null,"url":null,"abstract":"","PeriodicalId":53180,"journal":{"name":"JAMA Health Forum","volume":"6 8","pages":"e253172"},"PeriodicalIF":11.3000,"publicationDate":"2025-08-01","publicationTypes":"Journal Article","fieldsOfStudy":null,"isOpenAccess":false,"openAccessPdf":"https://www.ncbi.nlm.nih.gov/pmc/articles/PMC12374217/pdf/","citationCount":"0","resultStr":"{\"title\":\"Early Recalls and Clinical Validation Gaps in Artificial Intelligence-Enabled Medical Devices.\",\"authors\":\"Branden Lee, Patrick Kramer, Sara Sandri, Ritika Chanda, Crystal Favorito, Olivia Nasef, Joseph S Ross, Joshua Sharfstein, Tinglong Dai\",\"doi\":\"10.1001/jamahealthforum.2025.3172\",\"DOIUrl\":null,\"url\":null,\"abstract\":\"\",\"PeriodicalId\":53180,\"journal\":{\"name\":\"JAMA Health Forum\",\"volume\":\"6 8\",\"pages\":\"e253172\"},\"PeriodicalIF\":11.3000,\"publicationDate\":\"2025-08-01\",\"publicationTypes\":\"Journal Article\",\"fieldsOfStudy\":null,\"isOpenAccess\":false,\"openAccessPdf\":\"https://www.ncbi.nlm.nih.gov/pmc/articles/PMC12374217/pdf/\",\"citationCount\":\"0\",\"resultStr\":null,\"platform\":\"Semanticscholar\",\"paperid\":null,\"PeriodicalName\":\"JAMA Health Forum\",\"FirstCategoryId\":\"1085\",\"ListUrlMain\":\"https://doi.org/10.1001/jamahealthforum.2025.3172\",\"RegionNum\":0,\"RegionCategory\":null,\"ArticlePicture\":[],\"TitleCN\":null,\"AbstractTextCN\":null,\"PMCID\":null,\"EPubDate\":\"\",\"PubModel\":\"\",\"JCR\":\"Q1\",\"JCRName\":\"HEALTH CARE SCIENCES & SERVICES\",\"Score\":null,\"Total\":0}","platform":"Semanticscholar","paperid":null,"PeriodicalName":"JAMA Health Forum","FirstCategoryId":"1085","ListUrlMain":"https://doi.org/10.1001/jamahealthforum.2025.3172","RegionNum":0,"RegionCategory":null,"ArticlePicture":[],"TitleCN":null,"AbstractTextCN":null,"PMCID":null,"EPubDate":"","PubModel":"","JCR":"Q1","JCRName":"HEALTH CARE SCIENCES & SERVICES","Score":null,"Total":0}
引用次数: 0

摘要

本文章由计算机程序翻译,如有差异,请以英文原文为准。

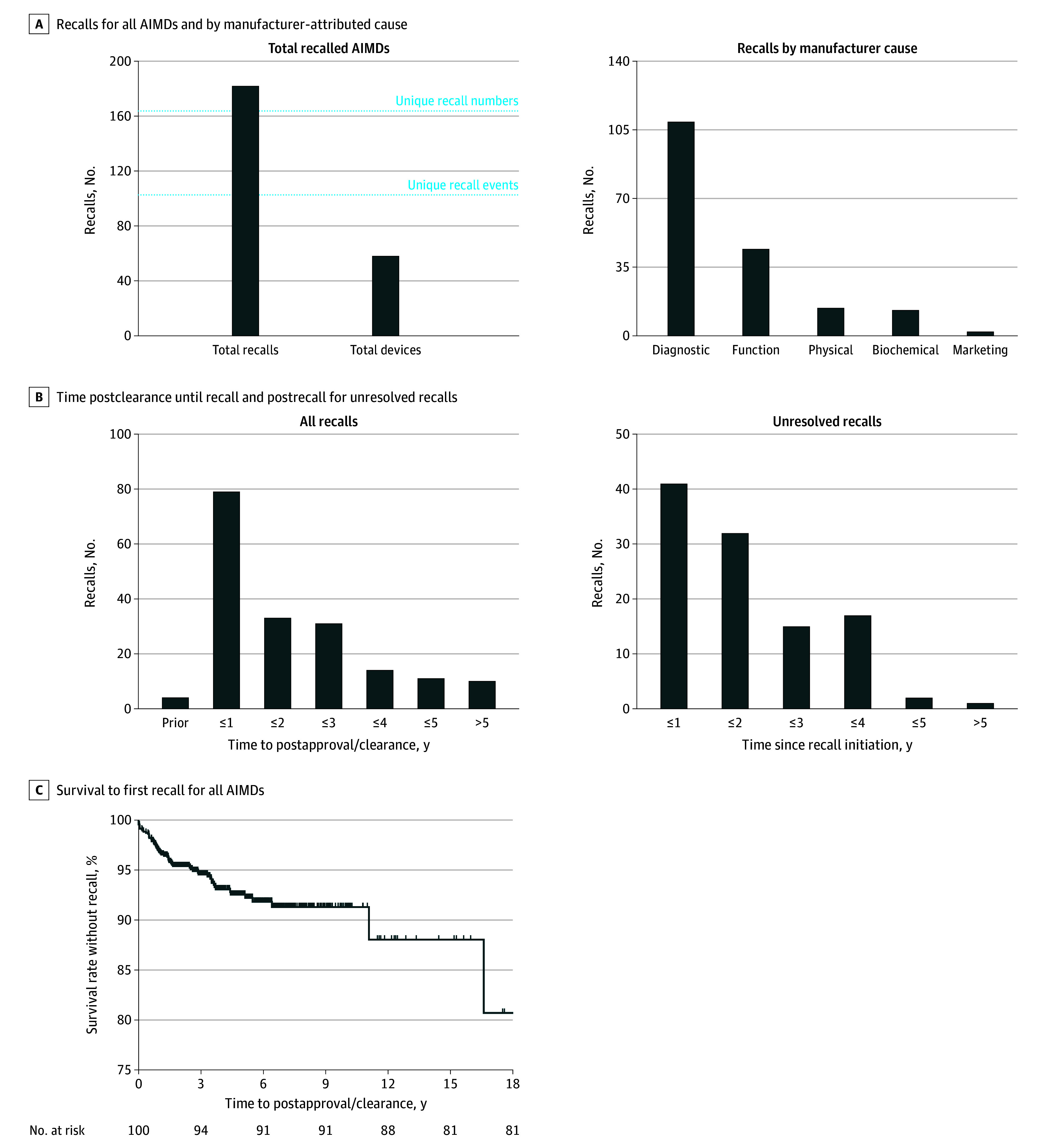
Early Recalls and Clinical Validation Gaps in Artificial Intelligence-Enabled Medical Devices.

Early Recalls and Clinical Validation Gaps in Artificial Intelligence-Enabled Medical Devices.

Early Recalls and Clinical Validation Gaps in Artificial Intelligence-Enabled Medical Devices.
求助全文
通过发布文献求助,成功后即可免费获取论文全文。 去求助
来源期刊
CiteScore
4.00
自引率
7.80%
发文量
0
期刊介绍: JAMA Health Forum is an international, peer-reviewed, online, open access journal that addresses health policy and strategies affecting medicine, health, and health care. The journal publishes original research, evidence-based reports, and opinion about national and global health policy. It covers innovative approaches to health care delivery and health care economics, access, quality, safety, equity, and reform. In addition to publishing articles, JAMA Health Forum also features commentary from health policy leaders on the JAMA Forum. It covers news briefs on major reports released by government agencies, foundations, health policy think tanks, and other policy-focused organizations. JAMA Health Forum is a member of the JAMA Network, which is a consortium of peer-reviewed, general medical and specialty publications. The journal presents curated health policy content from across the JAMA Network, including journals such as JAMA and JAMA Internal Medicine.
×
引用
GB/T 7714-2015
复制
MLA
复制
APA
复制
导出至
BibTeX EndNote RefMan NoteFirst NoteExpress
×
提示
您的信息不完整,为了账户安全,请先补充。
现在去补充
×
提示
您因"违规操作"
具体请查看互助需知
我知道了
×
提示
确定
请完成安全验证×
copy
已复制链接
快去分享给好友吧!
我知道了
右上角分享
点击右上角分享
0
联系我们:info@booksci.cn Book学术提供免费学术资源搜索服务,方便国内外学者检索中英文文献。致力于提供最便捷和优质的服务体验。 Copyright © 2023 布克学术 All rights reserved.
京ICP备2023020795号-1
ghs 京公网安备 11010802042870号
Book学术文献互助
Book学术文献互助群
群 号:604180095
Book学术官方微信