模仿雀鹰还是收敛报警信号?杜鹃冒泡叫声的新假说与实证检验。

IF 2 2区 生物学 Q2 ZOOLOGY
Current Zoology Pub Date : 2024-10-14 eCollection Date: 2025-08-01 DOI:10.1093/cz/zoae063
Huisheng Wang, Xiangyang Chen, Jiaojiao Wang, Laikun Ma, Canchao Yang
{"title":"模仿雀鹰还是收敛报警信号?杜鹃冒泡叫声的新假说与实证检验。","authors":"Huisheng Wang, Xiangyang Chen, Jiaojiao Wang, Laikun Ma, Canchao Yang","doi":"10.1093/cz/zoae063","DOIUrl":null,"url":null,"abstract":"<p><p>Alarm calls in bird vocalizations serve as acoustic signals announcing danger. Owing to the convergent evolution of alarm calls, some bird species can benefit from eavesdropping on certain parameters of alarm calls of other species. Vocal mimicry, displayed by many bird species, aids defense against predators and may help brood parasites during parasitism. In the coevolutionary dynamics between brood parasites, such as the common cuckoo (<i>Cuculus canorus</i>), and their hosts, female cuckoo vocalizations can induce hosts to leave the nest, increasing the probability of successful parasitism and reducing the risk of host attacks. Such cuckoo calls were thought to mimic those of the sparrowhawk. However, owing to their similarity to alarm calls, we propose a new hypothesis: Female cuckoos cheat their hosts by mimicking the parameters of the host alarm call. In this study, we tested this new hypothesis and the sparrowhawk mimicry hypothesis simultaneously by manipulating the syllable rate in male and female common cuckoo vocalizations and playing them in front of the host Oriental reed warbler (<i>Acrocephalus orientalis</i>) for examination. The results indicate that similar to a normal female cuckoo call, a female call with a reduced syllable rate prompted the hosts to leave their nests more frequently and rapidly than male cuckoo calls. Additionally, the male cuckoo calls with increased syllable rate did not prompt the host to leave their nests more frequently or quickly compared with the male cuckoo calls with a normal syllable rate. Our results further confirm that female common cuckoos mimic the vocalizations of Eurasian sparrowhawks (<i>Accipiter nisus</i>), reveal the function mechanisms underlying such mimicry, and support the theory of imperfect mimicry.</p>","PeriodicalId":50599,"journal":{"name":"Current Zoology","volume":"71 4","pages":"449-455"},"PeriodicalIF":2.0000,"publicationDate":"2024-10-14","publicationTypes":"Journal Article","fieldsOfStudy":null,"isOpenAccess":false,"openAccessPdf":"https://www.ncbi.nlm.nih.gov/pmc/articles/PMC12376045/pdf/","citationCount":"0","resultStr":"{\"title\":\"Sparrowhawk imitation or convergent alarm signal? A new hypothesis for bubbling call of cuckoos with empirical testing.\",\"authors\":\"Huisheng Wang, Xiangyang Chen, Jiaojiao Wang, Laikun Ma, Canchao Yang\",\"doi\":\"10.1093/cz/zoae063\",\"DOIUrl\":null,\"url\":null,\"abstract\":\"<p><p>Alarm calls in bird vocalizations serve as acoustic signals announcing danger. Owing to the convergent evolution of alarm calls, some bird species can benefit from eavesdropping on certain parameters of alarm calls of other species. Vocal mimicry, displayed by many bird species, aids defense against predators and may help brood parasites during parasitism. In the coevolutionary dynamics between brood parasites, such as the common cuckoo (<i>Cuculus canorus</i>), and their hosts, female cuckoo vocalizations can induce hosts to leave the nest, increasing the probability of successful parasitism and reducing the risk of host attacks. Such cuckoo calls were thought to mimic those of the sparrowhawk. However, owing to their similarity to alarm calls, we propose a new hypothesis: Female cuckoos cheat their hosts by mimicking the parameters of the host alarm call. In this study, we tested this new hypothesis and the sparrowhawk mimicry hypothesis simultaneously by manipulating the syllable rate in male and female common cuckoo vocalizations and playing them in front of the host Oriental reed warbler (<i>Acrocephalus orientalis</i>) for examination. The results indicate that similar to a normal female cuckoo call, a female call with a reduced syllable rate prompted the hosts to leave their nests more frequently and rapidly than male cuckoo calls. Additionally, the male cuckoo calls with increased syllable rate did not prompt the host to leave their nests more frequently or quickly compared with the male cuckoo calls with a normal syllable rate. Our results further confirm that female common cuckoos mimic the vocalizations of Eurasian sparrowhawks (<i>Accipiter nisus</i>), reveal the function mechanisms underlying such mimicry, and support the theory of imperfect mimicry.</p>\",\"PeriodicalId\":50599,\"journal\":{\"name\":\"Current Zoology\",\"volume\":\"71 4\",\"pages\":\"449-455\"},\"PeriodicalIF\":2.0000,\"publicationDate\":\"2024-10-14\",\"publicationTypes\":\"Journal Article\",\"fieldsOfStudy\":null,\"isOpenAccess\":false,\"openAccessPdf\":\"https://www.ncbi.nlm.nih.gov/pmc/articles/PMC12376045/pdf/\",\"citationCount\":\"0\",\"resultStr\":null,\"platform\":\"Semanticscholar\",\"paperid\":null,\"PeriodicalName\":\"Current Zoology\",\"FirstCategoryId\":\"99\",\"ListUrlMain\":\"https://doi.org/10.1093/cz/zoae063\",\"RegionNum\":2,\"RegionCategory\":\"生物学\",\"ArticlePicture\":[],\"TitleCN\":null,\"AbstractTextCN\":null,\"PMCID\":null,\"EPubDate\":\"2025/8/1 0:00:00\",\"PubModel\":\"eCollection\",\"JCR\":\"Q2\",\"JCRName\":\"ZOOLOGY\",\"Score\":null,\"Total\":0}","platform":"Semanticscholar","paperid":null,"PeriodicalName":"Current Zoology","FirstCategoryId":"99","ListUrlMain":"https://doi.org/10.1093/cz/zoae063","RegionNum":2,"RegionCategory":"生物学","ArticlePicture":[],"TitleCN":null,"AbstractTextCN":null,"PMCID":null,"EPubDate":"2025/8/1 0:00:00","PubModel":"eCollection","JCR":"Q2","JCRName":"ZOOLOGY","Score":null,"Total":0}
引用次数: 0

摘要

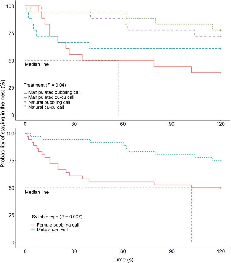
在鸟类的叫声中,警报声是一种宣布危险的声音信号。由于鸣叫的趋同进化,某些鸟类可以从窃听其他物种鸣叫的某些参数中获益。许多鸟类都表现出声音模仿,有助于防御捕食者,并可能在寄生期间帮助孵化寄生虫。在布谷鸟(Cuculus canorus)等寄主与寄主的共同进化动力学中,雌性布谷鸟的叫声可以诱导寄主离开巢,增加寄主成功寄生的概率,降低寄主攻击的风险。杜鹃的叫声被认为是模仿雀鹰的叫声。然而,由于它们与警报呼叫的相似性,我们提出了一个新的假设:雌性杜鹃通过模仿宿主警报呼叫的参数来欺骗它们的宿主。在这项研究中,我们通过操纵雄性和雌性常见杜鹃发声的音节率,并在宿主东方芦苇莺(Acrocephalus orientalis)面前播放,同时验证了这一新的假说和雀鹰模仿假说。结果表明,与正常的雌性杜鹃叫声相似,音节率降低的雌性杜鹃叫声比雄性杜鹃叫声更频繁、更迅速地促使寄主离开巢穴。此外,与正常音节率的雄性杜鹃叫声相比,音节率增加的雄性杜鹃叫声并不会促使寄主更频繁或更快地离开巢穴。本研究结果进一步证实了雌性杜鹃模仿欧亚雀鹰(Accipiter nisus)的发声,揭示了这种模仿的功能机制,并支持了不完全模仿理论。
本文章由计算机程序翻译,如有差异,请以英文原文为准。

Sparrowhawk imitation or convergent alarm signal? A new hypothesis for bubbling call of cuckoos with empirical testing.

Sparrowhawk imitation or convergent alarm signal? A new hypothesis for bubbling call of cuckoos with empirical testing.

Sparrowhawk imitation or convergent alarm signal? A new hypothesis for bubbling call of cuckoos with empirical testing.

Sparrowhawk imitation or convergent alarm signal? A new hypothesis for bubbling call of cuckoos with empirical testing.

Alarm calls in bird vocalizations serve as acoustic signals announcing danger. Owing to the convergent evolution of alarm calls, some bird species can benefit from eavesdropping on certain parameters of alarm calls of other species. Vocal mimicry, displayed by many bird species, aids defense against predators and may help brood parasites during parasitism. In the coevolutionary dynamics between brood parasites, such as the common cuckoo (Cuculus canorus), and their hosts, female cuckoo vocalizations can induce hosts to leave the nest, increasing the probability of successful parasitism and reducing the risk of host attacks. Such cuckoo calls were thought to mimic those of the sparrowhawk. However, owing to their similarity to alarm calls, we propose a new hypothesis: Female cuckoos cheat their hosts by mimicking the parameters of the host alarm call. In this study, we tested this new hypothesis and the sparrowhawk mimicry hypothesis simultaneously by manipulating the syllable rate in male and female common cuckoo vocalizations and playing them in front of the host Oriental reed warbler (Acrocephalus orientalis) for examination. The results indicate that similar to a normal female cuckoo call, a female call with a reduced syllable rate prompted the hosts to leave their nests more frequently and rapidly than male cuckoo calls. Additionally, the male cuckoo calls with increased syllable rate did not prompt the host to leave their nests more frequently or quickly compared with the male cuckoo calls with a normal syllable rate. Our results further confirm that female common cuckoos mimic the vocalizations of Eurasian sparrowhawks (Accipiter nisus), reveal the function mechanisms underlying such mimicry, and support the theory of imperfect mimicry.

求助全文
通过发布文献求助,成功后即可免费获取论文全文。 去求助
来源期刊
Current Zoology
Current Zoology Agricultural and Biological Sciences-Animal Science and Zoology
CiteScore
3.20
自引率
9.10%
发文量
111
审稿时长
6 weeks
期刊介绍: About the Journal Current Zoology (formerly Acta Zoologica Sinica, founded in 1935) is an open access, bimonthly, peer-reviewed international journal of zoology. It publishes review articles and research papers in the fields of ecology, evolution and behaviour. Current Zoology is sponsored by Institute of Zoology, Chinese Academy of Sciences, along with the China Zoological Society.
×
引用
GB/T 7714-2015
复制
MLA
复制
APA
复制
导出至
BibTeX EndNote RefMan NoteFirst NoteExpress
×
提示
您的信息不完整,为了账户安全,请先补充。
现在去补充
×
提示
您因"违规操作"
具体请查看互助需知
我知道了
×
提示
确定
请完成安全验证×
copy
已复制链接
快去分享给好友吧!
我知道了
右上角分享
点击右上角分享
0
联系我们:info@booksci.cn Book学术提供免费学术资源搜索服务,方便国内外学者检索中英文文献。致力于提供最便捷和优质的服务体验。 Copyright © 2023 布克学术 All rights reserved.
京ICP备2023020795号-1
ghs 京公网安备 11010802042870号
Book学术文献互助
Book学术文献互助群
群 号:604180095
Book学术官方微信