昂贵的鸣叫:频繁鸣叫的土拨鼠在夏季生存的可能性较小,寿命也较短。

IF 2 2区 生物学 Q2 ZOOLOGY
Current Zoology Pub Date : 2024-10-05 eCollection Date: 2025-08-01 DOI:10.1093/cz/zoae060
Daniel T Blumstein, Katie A Adler, Jazmine Uy
{"title":"昂贵的鸣叫:频繁鸣叫的土拨鼠在夏季生存的可能性较小,寿命也较短。","authors":"Daniel T Blumstein, Katie A Adler, Jazmine Uy","doi":"10.1093/cz/zoae060","DOIUrl":null,"url":null,"abstract":"<p><p>Emitting alarm calls may be costly, but few studies have asked whether calling increases a caller's risk of predation and survival. Since observing animals calling and being killed is relatively rare, we capitalized on over 24,000 h of observations of marmot colonies and asked whether variation in the rate that yellow-bellied marmots (<i>Marmota flaviventer</i>) alarm called was associated with the probability of summer mortality, a proxy for predation. Using a generalized mixed model that controlled for factors that influenced the likelihood of survival, we found that marmots who called at higher rates were substantially more likely to die over the summer. Because virtually all summer mortality is due to predation, these results suggest that calling is indeed costly for marmots. Additionally, the results from a Cox survival analysis showed that marmots that called more lived significantly shorter lives. Prior studies have shown that marmots reduce the risk by emitting calls only when close to their burrows, but this newly quantified survival cost suggests a constraint on eliminating risks. Quantifying the cost of alarm calling using a similar approach in other systems will help us better understand its true costs, which is an essential value for theoretical models of calling and social behavior.</p>","PeriodicalId":50599,"journal":{"name":"Current Zoology","volume":"71 4","pages":"425-431"},"PeriodicalIF":2.0000,"publicationDate":"2024-10-05","publicationTypes":"Journal Article","fieldsOfStudy":null,"isOpenAccess":false,"openAccessPdf":"https://www.ncbi.nlm.nih.gov/pmc/articles/PMC12376037/pdf/","citationCount":"0","resultStr":"{\"title\":\"Costly calling: Marmots who alarm call at higher rates are less likely to survive the summer and live shorter lives.\",\"authors\":\"Daniel T Blumstein, Katie A Adler, Jazmine Uy\",\"doi\":\"10.1093/cz/zoae060\",\"DOIUrl\":null,\"url\":null,\"abstract\":\"<p><p>Emitting alarm calls may be costly, but few studies have asked whether calling increases a caller's risk of predation and survival. Since observing animals calling and being killed is relatively rare, we capitalized on over 24,000 h of observations of marmot colonies and asked whether variation in the rate that yellow-bellied marmots (<i>Marmota flaviventer</i>) alarm called was associated with the probability of summer mortality, a proxy for predation. Using a generalized mixed model that controlled for factors that influenced the likelihood of survival, we found that marmots who called at higher rates were substantially more likely to die over the summer. Because virtually all summer mortality is due to predation, these results suggest that calling is indeed costly for marmots. Additionally, the results from a Cox survival analysis showed that marmots that called more lived significantly shorter lives. Prior studies have shown that marmots reduce the risk by emitting calls only when close to their burrows, but this newly quantified survival cost suggests a constraint on eliminating risks. Quantifying the cost of alarm calling using a similar approach in other systems will help us better understand its true costs, which is an essential value for theoretical models of calling and social behavior.</p>\",\"PeriodicalId\":50599,\"journal\":{\"name\":\"Current Zoology\",\"volume\":\"71 4\",\"pages\":\"425-431\"},\"PeriodicalIF\":2.0000,\"publicationDate\":\"2024-10-05\",\"publicationTypes\":\"Journal Article\",\"fieldsOfStudy\":null,\"isOpenAccess\":false,\"openAccessPdf\":\"https://www.ncbi.nlm.nih.gov/pmc/articles/PMC12376037/pdf/\",\"citationCount\":\"0\",\"resultStr\":null,\"platform\":\"Semanticscholar\",\"paperid\":null,\"PeriodicalName\":\"Current Zoology\",\"FirstCategoryId\":\"99\",\"ListUrlMain\":\"https://doi.org/10.1093/cz/zoae060\",\"RegionNum\":2,\"RegionCategory\":\"生物学\",\"ArticlePicture\":[],\"TitleCN\":null,\"AbstractTextCN\":null,\"PMCID\":null,\"EPubDate\":\"2025/8/1 0:00:00\",\"PubModel\":\"eCollection\",\"JCR\":\"Q2\",\"JCRName\":\"ZOOLOGY\",\"Score\":null,\"Total\":0}","platform":"Semanticscholar","paperid":null,"PeriodicalName":"Current Zoology","FirstCategoryId":"99","ListUrlMain":"https://doi.org/10.1093/cz/zoae060","RegionNum":2,"RegionCategory":"生物学","ArticlePicture":[],"TitleCN":null,"AbstractTextCN":null,"PMCID":null,"EPubDate":"2025/8/1 0:00:00","PubModel":"eCollection","JCR":"Q2","JCRName":"ZOOLOGY","Score":null,"Total":0}
引用次数: 0

摘要

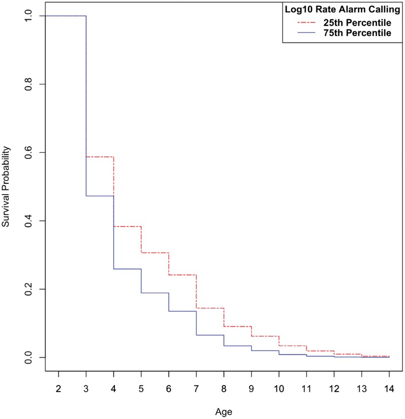
发出警报可能代价高昂,但很少有研究询问呼叫是否会增加呼叫者被捕食和生存的风险。由于观察到动物鸣叫和被杀死的情况相对罕见,我们利用了对土拨鼠种群超过24,000小时的观察,并询问黄腹土拨鼠(Marmota flaviventer)鸣叫率的变化是否与夏季死亡率(捕食率的代表)有关。使用一个控制影响生存可能性的因素的广义混合模型,我们发现,在夏天,叫声较高的土拨鼠更有可能死亡。因为几乎所有的夏季死亡都是由于捕食,这些结果表明,对土拨鼠来说,打电话确实是昂贵的。此外,考克斯生存分析的结果表明,叫声更多的土拨鼠的寿命明显更短。先前的研究表明,土拨鼠只有在靠近它们的洞穴时才会发出叫声来降低风险,但这种新量化的生存成本表明,消除风险是有限制的。在其他系统中使用类似的方法量化警报呼叫的成本将有助于我们更好地了解其真实成本,这对呼叫和社会行为的理论模型具有重要价值。
本文章由计算机程序翻译,如有差异,请以英文原文为准。

Costly calling: Marmots who alarm call at higher rates are less likely to survive the summer and live shorter lives.

Costly calling: Marmots who alarm call at higher rates are less likely to survive the summer and live shorter lives.

Costly calling: Marmots who alarm call at higher rates are less likely to survive the summer and live shorter lives.

Emitting alarm calls may be costly, but few studies have asked whether calling increases a caller's risk of predation and survival. Since observing animals calling and being killed is relatively rare, we capitalized on over 24,000 h of observations of marmot colonies and asked whether variation in the rate that yellow-bellied marmots (Marmota flaviventer) alarm called was associated with the probability of summer mortality, a proxy for predation. Using a generalized mixed model that controlled for factors that influenced the likelihood of survival, we found that marmots who called at higher rates were substantially more likely to die over the summer. Because virtually all summer mortality is due to predation, these results suggest that calling is indeed costly for marmots. Additionally, the results from a Cox survival analysis showed that marmots that called more lived significantly shorter lives. Prior studies have shown that marmots reduce the risk by emitting calls only when close to their burrows, but this newly quantified survival cost suggests a constraint on eliminating risks. Quantifying the cost of alarm calling using a similar approach in other systems will help us better understand its true costs, which is an essential value for theoretical models of calling and social behavior.

求助全文
通过发布文献求助,成功后即可免费获取论文全文。 去求助
来源期刊
Current Zoology
Current Zoology Agricultural and Biological Sciences-Animal Science and Zoology
CiteScore
3.20
自引率
9.10%
发文量
111
审稿时长
6 weeks
期刊介绍: About the Journal Current Zoology (formerly Acta Zoologica Sinica, founded in 1935) is an open access, bimonthly, peer-reviewed international journal of zoology. It publishes review articles and research papers in the fields of ecology, evolution and behaviour. Current Zoology is sponsored by Institute of Zoology, Chinese Academy of Sciences, along with the China Zoological Society.
×
引用
GB/T 7714-2015
复制
MLA
复制
APA
复制
导出至
BibTeX EndNote RefMan NoteFirst NoteExpress
×
提示
您的信息不完整,为了账户安全,请先补充。
现在去补充
×
提示
您因"违规操作"
具体请查看互助需知
我知道了
×
提示
确定
请完成安全验证×
copy
已复制链接
快去分享给好友吧!
我知道了
右上角分享
点击右上角分享
0
联系我们:info@booksci.cn Book学术提供免费学术资源搜索服务,方便国内外学者检索中英文文献。致力于提供最便捷和优质的服务体验。 Copyright © 2023 布克学术 All rights reserved.
京ICP备2023020795号-1
ghs 京公网安备 11010802042870号
Book学术文献互助
Book学术文献互助群
群 号:604180095
Book学术官方微信