头颈癌的替代肿瘤细胞密度:[18]FDG PET与ADC (MRI)为基础的方法。

IF 3.3 2区 医学 Q2 ONCOLOGY
Athanasios Kafkaletos, Ilias Sachpazidis, Michael Mix, Montserrat Carles, Raluca Stoian, Henning Schäfer, Michael Bock, Dimos Baltas, Anca L Grosu
{"title":"头颈癌的替代肿瘤细胞密度:[18]FDG PET与ADC (MRI)为基础的方法。","authors":"Athanasios Kafkaletos, Ilias Sachpazidis, Michael Mix, Montserrat Carles, Raluca Stoian, Henning Schäfer, Michael Bock, Dimos Baltas, Anca L Grosu","doi":"10.1186/s13014-025-02716-6","DOIUrl":null,"url":null,"abstract":"<p><strong>Objective: </strong>In this study we examined the correlation between standardized uptake value (SUV) of [<sup>18</sup>F]fluorodeoxyglucose (FDG) and apparent diffusion coefficient (ADC) within the gross tumor volume (GTV) of patients with head and neck squamous cell carcinoma (HNSCC). In addition, we assessed the comparability of cell density (ρ) estimates obtained from FDG PET and MRI data.</p><p><strong>Methods: </strong>Twenty-one HNSCC patients from a prospective FMISO imaging trial underwent pre-treatment PET/CT and MRI. We assessed correlations between FDG SUV (mean, max) and ADC (mean, min) within the GTV using Pearson's correlation coefficient. The tumor cell density within the GTV was calculated from FDG SUV and from ADC maps. For the estimation of ADC-based cell density, we used a published tumor cell volume fraction (v<sub>TC</sub>). Agreement between FDG- and ADC-derived cell density estimates was assessed. The best-fitting v<sub>TC</sub>* was computed to achieve equal mean ρ<sub>ADC</sub> and ρ<sub>FDG</sub> for each patient and was compared to the literature.</p><p><strong>Results: </strong>The SUV and ADC metrics showed up to moderate negative correlations, but none of them were statistically significant at p < 0.05. The correlation of SUV<sub>mean</sub> vs. ADC<sub>mean</sub> with Pearson's correlation coefficient r = -0.426 and p = 0.054 and SUV<sub>max</sub> vs. ADC<sub>min</sub> with r = -0.414 and p = 0.062 suggested a weak negative trend. The average and standard deviation of mean ρ<sub>FDG</sub> and ρ<sub>ADC</sub> across our cohort were (1.8 ± 0.6) × 10<sup>8</sup> cells/ml and (3.3 ± 0.2) × 10<sup>8</sup> cells/ml. The difference between the mean ρ<sub>FDG</sub> and ρ<sub>ADC</sub> was statistically significant (p < 0.001). To achieve equal mean ρ<sub>ADC</sub> and ρ<sub>FDG</sub> for each patient, the mean optimal v<sub>TC</sub>* with standard deviation was 0.29 ± 0.09. Although significantly lower than the published mean v<sub>TC</sub>​ (0.54), v<sub>TC</sub>* lies within the published range of v<sub>TC</sub> for HNSCCs (0.28 to 0.75).</p><p><strong>Conclusion: </strong>ADC and SUV metrics exhibited moderate but marginally insignificant correlation in this dataset. Although not directly interchangeable, the two methods provide comparable, clinically relevant cell density estimates, offering flexibility to use the most accessible modality for individualized treatment planning.</p><p><strong>Trial registration: </strong>Registered at German Clinical Trials Register on 20/08/2015 (DRKS00003830).</p>","PeriodicalId":49639,"journal":{"name":"Radiation Oncology","volume":"20 1","pages":"137"},"PeriodicalIF":3.3000,"publicationDate":"2025-09-01","publicationTypes":"Journal Article","fieldsOfStudy":null,"isOpenAccess":false,"openAccessPdf":"https://www.ncbi.nlm.nih.gov/pmc/articles/PMC12403412/pdf/","citationCount":"0","resultStr":"{\"title\":\"Surrogating tumour cell density in head and neck cancer: [<sup>18</sup>F]FDG PET- versus ADC (MRI)-based approaches.\",\"authors\":\"Athanasios Kafkaletos, Ilias Sachpazidis, Michael Mix, Montserrat Carles, Raluca Stoian, Henning Schäfer, Michael Bock, Dimos Baltas, Anca L Grosu\",\"doi\":\"10.1186/s13014-025-02716-6\",\"DOIUrl\":null,\"url\":null,\"abstract\":\"<p><strong>Objective: </strong>In this study we examined the correlation between standardized uptake value (SUV) of [<sup>18</sup>F]fluorodeoxyglucose (FDG) and apparent diffusion coefficient (ADC) within the gross tumor volume (GTV) of patients with head and neck squamous cell carcinoma (HNSCC). In addition, we assessed the comparability of cell density (ρ) estimates obtained from FDG PET and MRI data.</p><p><strong>Methods: </strong>Twenty-one HNSCC patients from a prospective FMISO imaging trial underwent pre-treatment PET/CT and MRI. We assessed correlations between FDG SUV (mean, max) and ADC (mean, min) within the GTV using Pearson's correlation coefficient. The tumor cell density within the GTV was calculated from FDG SUV and from ADC maps. For the estimation of ADC-based cell density, we used a published tumor cell volume fraction (v<sub>TC</sub>). Agreement between FDG- and ADC-derived cell density estimates was assessed. The best-fitting v<sub>TC</sub>* was computed to achieve equal mean ρ<sub>ADC</sub> and ρ<sub>FDG</sub> for each patient and was compared to the literature.</p><p><strong>Results: </strong>The SUV and ADC metrics showed up to moderate negative correlations, but none of them were statistically significant at p < 0.05. The correlation of SUV<sub>mean</sub> vs. ADC<sub>mean</sub> with Pearson's correlation coefficient r = -0.426 and p = 0.054 and SUV<sub>max</sub> vs. ADC<sub>min</sub> with r = -0.414 and p = 0.062 suggested a weak negative trend. The average and standard deviation of mean ρ<sub>FDG</sub> and ρ<sub>ADC</sub> across our cohort were (1.8 ± 0.6) × 10<sup>8</sup> cells/ml and (3.3 ± 0.2) × 10<sup>8</sup> cells/ml. The difference between the mean ρ<sub>FDG</sub> and ρ<sub>ADC</sub> was statistically significant (p < 0.001). To achieve equal mean ρ<sub>ADC</sub> and ρ<sub>FDG</sub> for each patient, the mean optimal v<sub>TC</sub>* with standard deviation was 0.29 ± 0.09. Although significantly lower than the published mean v<sub>TC</sub>​ (0.54), v<sub>TC</sub>* lies within the published range of v<sub>TC</sub> for HNSCCs (0.28 to 0.75).</p><p><strong>Conclusion: </strong>ADC and SUV metrics exhibited moderate but marginally insignificant correlation in this dataset. Although not directly interchangeable, the two methods provide comparable, clinically relevant cell density estimates, offering flexibility to use the most accessible modality for individualized treatment planning.</p><p><strong>Trial registration: </strong>Registered at German Clinical Trials Register on 20/08/2015 (DRKS00003830).</p>\",\"PeriodicalId\":49639,\"journal\":{\"name\":\"Radiation Oncology\",\"volume\":\"20 1\",\"pages\":\"137\"},\"PeriodicalIF\":3.3000,\"publicationDate\":\"2025-09-01\",\"publicationTypes\":\"Journal Article\",\"fieldsOfStudy\":null,\"isOpenAccess\":false,\"openAccessPdf\":\"https://www.ncbi.nlm.nih.gov/pmc/articles/PMC12403412/pdf/\",\"citationCount\":\"0\",\"resultStr\":null,\"platform\":\"Semanticscholar\",\"paperid\":null,\"PeriodicalName\":\"Radiation Oncology\",\"FirstCategoryId\":\"3\",\"ListUrlMain\":\"https://doi.org/10.1186/s13014-025-02716-6\",\"RegionNum\":2,\"RegionCategory\":\"医学\",\"ArticlePicture\":[],\"TitleCN\":null,\"AbstractTextCN\":null,\"PMCID\":null,\"EPubDate\":\"\",\"PubModel\":\"\",\"JCR\":\"Q2\",\"JCRName\":\"ONCOLOGY\",\"Score\":null,\"Total\":0}","platform":"Semanticscholar","paperid":null,"PeriodicalName":"Radiation Oncology","FirstCategoryId":"3","ListUrlMain":"https://doi.org/10.1186/s13014-025-02716-6","RegionNum":2,"RegionCategory":"医学","ArticlePicture":[],"TitleCN":null,"AbstractTextCN":null,"PMCID":null,"EPubDate":"","PubModel":"","JCR":"Q2","JCRName":"ONCOLOGY","Score":null,"Total":0}
引用次数: 0

摘要

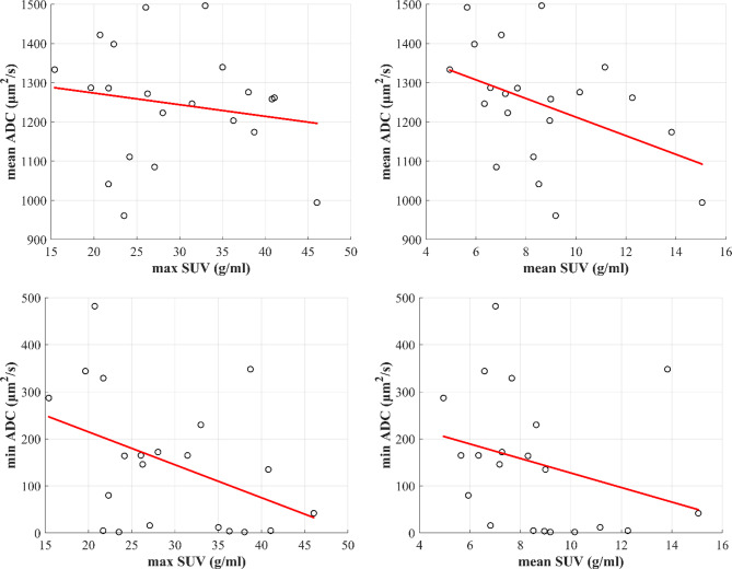
目的:本研究探讨了[18F]氟脱氧葡萄糖(FDG)的标准化摄取值(SUV)与头颈部鳞状细胞癌(HNSCC)患者总肿瘤体积(GTV)内表观扩散系数(ADC)的相关性。此外,我们评估了从FDG PET和MRI数据获得的细胞密度(ρ)估计值的可比性。方法:来自前瞻性FMISO成像试验的21例HNSCC患者接受了预处理PET/CT和MRI。我们使用Pearson相关系数评估GTV内FDG SUV(平均值,最大值)与ADC(平均值,最小值)之间的相关性。GTV内的肿瘤细胞密度由FDG SUV和ADC图计算。为了估计基于adc的细胞密度,我们使用了已发表的肿瘤细胞体积分数(vTC)。评估了FDG和adc衍生的细胞密度估计值的一致性。计算最佳拟合vTC*,使每位患者的平均ρADC和ρFDG相等,并与文献进行比较。结果:SUV与ADC指标呈中度负相关,但p mean与ADCmean的Pearson相关系数r = -0.426和p = 0.054均无统计学意义;SUVmax与ADCmin的Pearson相关系数r = -0.414和p = 0.062均呈弱负相关。在整个队列中,平均ρFDG和ρADC的平均值和标准差分别为(1.8±0.6)× 108 cells/ml和(3.3±0.2)× 108 cells/ml。每个患者的平均ρFDG与ρFDG的差异有统计学意义(p ADC与ρFDG),平均最优vTC*标准差为0.29±0.09。虽然远低于公布的平均职涯值(0.54),但职涯值*仍在公布的高级别公务员职涯值范围内(0.28至0.75)。结论:ADC和SUV指标在该数据集中表现出中度但不显著的相关性。虽然不能直接互换,但这两种方法提供了可比较的、临床相关的细胞密度估计,为个性化治疗计划提供了使用最容易获得的方式的灵活性。试验注册:2015年8月20日在德国临床试验注册中心注册(DRKS00003830)。
本文章由计算机程序翻译,如有差异,请以英文原文为准。

Surrogating tumour cell density in head and neck cancer: [<sup>18</sup>F]FDG PET- versus ADC (MRI)-based approaches.

Surrogating tumour cell density in head and neck cancer: [<sup>18</sup>F]FDG PET- versus ADC (MRI)-based approaches.

Surrogating tumour cell density in head and neck cancer: [18F]FDG PET- versus ADC (MRI)-based approaches.

Objective: In this study we examined the correlation between standardized uptake value (SUV) of [18F]fluorodeoxyglucose (FDG) and apparent diffusion coefficient (ADC) within the gross tumor volume (GTV) of patients with head and neck squamous cell carcinoma (HNSCC). In addition, we assessed the comparability of cell density (ρ) estimates obtained from FDG PET and MRI data.

Methods: Twenty-one HNSCC patients from a prospective FMISO imaging trial underwent pre-treatment PET/CT and MRI. We assessed correlations between FDG SUV (mean, max) and ADC (mean, min) within the GTV using Pearson's correlation coefficient. The tumor cell density within the GTV was calculated from FDG SUV and from ADC maps. For the estimation of ADC-based cell density, we used a published tumor cell volume fraction (vTC). Agreement between FDG- and ADC-derived cell density estimates was assessed. The best-fitting vTC* was computed to achieve equal mean ρADC and ρFDG for each patient and was compared to the literature.

Results: The SUV and ADC metrics showed up to moderate negative correlations, but none of them were statistically significant at p < 0.05. The correlation of SUVmean vs. ADCmean with Pearson's correlation coefficient r = -0.426 and p = 0.054 and SUVmax vs. ADCmin with r = -0.414 and p = 0.062 suggested a weak negative trend. The average and standard deviation of mean ρFDG and ρADC across our cohort were (1.8 ± 0.6) × 108 cells/ml and (3.3 ± 0.2) × 108 cells/ml. The difference between the mean ρFDG and ρADC was statistically significant (p < 0.001). To achieve equal mean ρADC and ρFDG for each patient, the mean optimal vTC* with standard deviation was 0.29 ± 0.09. Although significantly lower than the published mean vTC​ (0.54), vTC* lies within the published range of vTC for HNSCCs (0.28 to 0.75).

Conclusion: ADC and SUV metrics exhibited moderate but marginally insignificant correlation in this dataset. Although not directly interchangeable, the two methods provide comparable, clinically relevant cell density estimates, offering flexibility to use the most accessible modality for individualized treatment planning.

Trial registration: Registered at German Clinical Trials Register on 20/08/2015 (DRKS00003830).

求助全文
通过发布文献求助,成功后即可免费获取论文全文。 去求助
来源期刊
Radiation Oncology
Radiation Oncology ONCOLOGY-RADIOLOGY, NUCLEAR MEDICINE & MEDICAL IMAGING
CiteScore
6.50
自引率
2.80%
发文量
181
审稿时长
3-6 weeks
期刊介绍: Radiation Oncology encompasses all aspects of research that impacts on the treatment of cancer using radiation. It publishes findings in molecular and cellular radiation biology, radiation physics, radiation technology, and clinical oncology.
×
引用
GB/T 7714-2015
复制
MLA
复制
APA
复制
导出至
BibTeX EndNote RefMan NoteFirst NoteExpress
×
提示
您的信息不完整,为了账户安全,请先补充。
现在去补充
×
提示
您因"违规操作"
具体请查看互助需知
我知道了
×
提示
确定
请完成安全验证×
copy
已复制链接
快去分享给好友吧!
我知道了
右上角分享
点击右上角分享
0
联系我们:info@booksci.cn Book学术提供免费学术资源搜索服务,方便国内外学者检索中英文文献。致力于提供最便捷和优质的服务体验。 Copyright © 2023 布克学术 All rights reserved.
京ICP备2023020795号-1
ghs 京公网安备 11010802042870号
Book学术文献互助
Book学术文献互助群
群 号:604180095
Book学术官方微信