院外心脏骤停复苏后到达钾与30天生存率之间的关系:一项回顾性队列研究

IF 3.1 2区 医学 Q1 EMERGENCY MEDICINE
Christina Byrne, Maria Lukacs Krogager, Kristian Kragholm, Manan Pareek, Grimur Høgnason Mohr, Kristian Bundgaard Ringgren, Mads Wissenberg, Signe Riddersholm, Martin Wolder, Fredrik Folke, Gunnar Gislason, Lars Køber, Christian Hassager, Jesper Kjærgaard, Christopher B Fordyce, Christian Torp-Pedersen, Gregory Y H Lip, Carlo A Barcella
{"title":"院外心脏骤停复苏后到达钾与30天生存率之间的关系:一项回顾性队列研究","authors":"Christina Byrne, Maria Lukacs Krogager, Kristian Kragholm, Manan Pareek, Grimur Høgnason Mohr, Kristian Bundgaard Ringgren, Mads Wissenberg, Signe Riddersholm, Martin Wolder, Fredrik Folke, Gunnar Gislason, Lars Køber, Christian Hassager, Jesper Kjærgaard, Christopher B Fordyce, Christian Torp-Pedersen, Gregory Y H Lip, Carlo A Barcella","doi":"10.1186/s13049-025-01454-8","DOIUrl":null,"url":null,"abstract":"<p><strong>Background: </strong>It is unknown whether there is an association between initial serum potassium level and short-term survival in out-of-hospital cardiac arrest (OHCA) survivors. The aim of this study was to describe potential associations between first recorded potassium level and 30-day survival in patients surviving OHCA.</p><p><strong>Methods: </strong>We identified 4,894 patients who had return of spontaneous circulation (ROSC) at hospital arrival, and a registered post-OHCA serum-potassium value, using Danish nationwide registry data from 2001-2019. Potassium values were divided into seven predefined levels: < 2.5, 2.5-2.9, 3.0-3.4, 3.5-4.6, 4.7-5.5, 5.5-6.0, > 6.0 mmol/L. Thirty-day survival was estimated using a multivariable Cox regression (reference normokalemia 3.5-4.6 mmol/L). The multivariable model included age, sex, Charlson comorbidity index (including chronic kidney disease), witnessed status, performance of bystander cardiopulmonary resuscitation (CPR) and first registered heart rhythm.</p><p><strong>Results: </strong>Over the 30-day follow-up period, survival rates in the seven strata were as follows: 25 (51.0%), 119 (53.6%), 512 (65.4%), 1,631 (57.9%), 220 (32.7%), 34 (22.8%), and 46 (22.7%), respectively. Thirty-day survival was significantly lower for all groups with hyperkalemia compared with normokalemia: 4.7-5.5 mmol/L: (average risk ratio (RR): 0.72, 95% confidence interval (95% CI): 0.66-0.78); 5.5-6.0 mmol/L: (average RR: 0.60, 95% CI: 0.47-0.73); > 6.0 mmol/L: (average RR: 0.56, 95% CI: 0.46-0.66). Survival did not differ significantly in patients with hypokalemia compared with normokalemia.</p><p><strong>Conclusions: </strong>In OHCA survivors, hyperkalemia was associated with reduced 30-day survival compared with normokalemia, independent of age, sex, comorbidity burden and pre-hospital OHCA-characteristics. Conversely, hypokalemia was not associated with reduced 30-day survival.</p>","PeriodicalId":49292,"journal":{"name":"Scandinavian Journal of Trauma Resuscitation & Emergency Medicine","volume":"33 1","pages":"144"},"PeriodicalIF":3.1000,"publicationDate":"2025-08-26","publicationTypes":"Journal Article","fieldsOfStudy":null,"isOpenAccess":false,"openAccessPdf":"https://www.ncbi.nlm.nih.gov/pmc/articles/PMC12379433/pdf/","citationCount":"0","resultStr":"{\"title\":\"The association between arrival potassium and 30-day survival following resuscitation from out-of-hospital cardiac arrest: a retrospective cohort study.\",\"authors\":\"Christina Byrne, Maria Lukacs Krogager, Kristian Kragholm, Manan Pareek, Grimur Høgnason Mohr, Kristian Bundgaard Ringgren, Mads Wissenberg, Signe Riddersholm, Martin Wolder, Fredrik Folke, Gunnar Gislason, Lars Køber, Christian Hassager, Jesper Kjærgaard, Christopher B Fordyce, Christian Torp-Pedersen, Gregory Y H Lip, Carlo A Barcella\",\"doi\":\"10.1186/s13049-025-01454-8\",\"DOIUrl\":null,\"url\":null,\"abstract\":\"<p><strong>Background: </strong>It is unknown whether there is an association between initial serum potassium level and short-term survival in out-of-hospital cardiac arrest (OHCA) survivors. The aim of this study was to describe potential associations between first recorded potassium level and 30-day survival in patients surviving OHCA.</p><p><strong>Methods: </strong>We identified 4,894 patients who had return of spontaneous circulation (ROSC) at hospital arrival, and a registered post-OHCA serum-potassium value, using Danish nationwide registry data from 2001-2019. Potassium values were divided into seven predefined levels: < 2.5, 2.5-2.9, 3.0-3.4, 3.5-4.6, 4.7-5.5, 5.5-6.0, > 6.0 mmol/L. Thirty-day survival was estimated using a multivariable Cox regression (reference normokalemia 3.5-4.6 mmol/L). The multivariable model included age, sex, Charlson comorbidity index (including chronic kidney disease), witnessed status, performance of bystander cardiopulmonary resuscitation (CPR) and first registered heart rhythm.</p><p><strong>Results: </strong>Over the 30-day follow-up period, survival rates in the seven strata were as follows: 25 (51.0%), 119 (53.6%), 512 (65.4%), 1,631 (57.9%), 220 (32.7%), 34 (22.8%), and 46 (22.7%), respectively. Thirty-day survival was significantly lower for all groups with hyperkalemia compared with normokalemia: 4.7-5.5 mmol/L: (average risk ratio (RR): 0.72, 95% confidence interval (95% CI): 0.66-0.78); 5.5-6.0 mmol/L: (average RR: 0.60, 95% CI: 0.47-0.73); > 6.0 mmol/L: (average RR: 0.56, 95% CI: 0.46-0.66). Survival did not differ significantly in patients with hypokalemia compared with normokalemia.</p><p><strong>Conclusions: </strong>In OHCA survivors, hyperkalemia was associated with reduced 30-day survival compared with normokalemia, independent of age, sex, comorbidity burden and pre-hospital OHCA-characteristics. Conversely, hypokalemia was not associated with reduced 30-day survival.</p>\",\"PeriodicalId\":49292,\"journal\":{\"name\":\"Scandinavian Journal of Trauma Resuscitation & Emergency Medicine\",\"volume\":\"33 1\",\"pages\":\"144\"},\"PeriodicalIF\":3.1000,\"publicationDate\":\"2025-08-26\",\"publicationTypes\":\"Journal Article\",\"fieldsOfStudy\":null,\"isOpenAccess\":false,\"openAccessPdf\":\"https://www.ncbi.nlm.nih.gov/pmc/articles/PMC12379433/pdf/\",\"citationCount\":\"0\",\"resultStr\":null,\"platform\":\"Semanticscholar\",\"paperid\":null,\"PeriodicalName\":\"Scandinavian Journal of Trauma Resuscitation & Emergency Medicine\",\"FirstCategoryId\":\"3\",\"ListUrlMain\":\"https://doi.org/10.1186/s13049-025-01454-8\",\"RegionNum\":2,\"RegionCategory\":\"医学\",\"ArticlePicture\":[],\"TitleCN\":null,\"AbstractTextCN\":null,\"PMCID\":null,\"EPubDate\":\"\",\"PubModel\":\"\",\"JCR\":\"Q1\",\"JCRName\":\"EMERGENCY MEDICINE\",\"Score\":null,\"Total\":0}","platform":"Semanticscholar","paperid":null,"PeriodicalName":"Scandinavian Journal of Trauma Resuscitation & Emergency Medicine","FirstCategoryId":"3","ListUrlMain":"https://doi.org/10.1186/s13049-025-01454-8","RegionNum":2,"RegionCategory":"医学","ArticlePicture":[],"TitleCN":null,"AbstractTextCN":null,"PMCID":null,"EPubDate":"","PubModel":"","JCR":"Q1","JCRName":"EMERGENCY MEDICINE","Score":null,"Total":0}
引用次数: 0

摘要

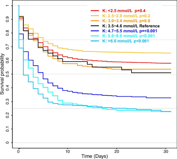
背景:目前尚不清楚院外心脏骤停(OHCA)幸存者的初始血清钾水平与短期生存之间是否存在关联。本研究的目的是描述首次记录的钾水平与OHCA患者30天生存率之间的潜在关联。方法:我们使用2001-2019年丹麦全国登记数据,确定了4,894例入院时出现自然循环恢复(ROSC)的患者,并登记了ohca后的血清钾值。钾值分为7个预定义水平:6.0 mmol/L。使用多变量Cox回归(参考正常血钾3.5-4.6 mmol/L)估计30天生存率。多变量模型包括年龄、性别、Charlson合并症指数(包括慢性肾脏疾病)、目击状态、旁观者心肺复苏(CPR)表现和首次登记的心律。结果:30 d随访期间,7个地层的成活率分别为25只(51.0%)、119只(53.6%)、512只(65.4%)、1631只(57.9%)、220只(32.7%)、34只(22.8%)、46只(22.7%)。所有高钾血症组的30天生存率均显著低于正常钾血症组:4.7 ~ 5.5 mmol/L:(平均风险比(RR): 0.72, 95%可信区间(95% CI): 0.66 ~ 0.78);5.5 - -6.0更易与L:(平均RR: 0.60, 95% CI: 0.47—-0.73);> 6.0更易/ L:(平均RR: 0.56, 95% CI: 0.46—-0.66)。低血钾患者与正常血钾患者的生存率无显著差异。结论:在OHCA幸存者中,与正常血钾相比,高钾血症与30天生存率降低有关,与年龄、性别、合并症负担和院前OHCA特征无关。相反,低钾血症与30天生存率降低无关。
本文章由计算机程序翻译,如有差异,请以英文原文为准。

The association between arrival potassium and 30-day survival following resuscitation from out-of-hospital cardiac arrest: a retrospective cohort study.

The association between arrival potassium and 30-day survival following resuscitation from out-of-hospital cardiac arrest: a retrospective cohort study.

The association between arrival potassium and 30-day survival following resuscitation from out-of-hospital cardiac arrest: a retrospective cohort study.

The association between arrival potassium and 30-day survival following resuscitation from out-of-hospital cardiac arrest: a retrospective cohort study.

Background: It is unknown whether there is an association between initial serum potassium level and short-term survival in out-of-hospital cardiac arrest (OHCA) survivors. The aim of this study was to describe potential associations between first recorded potassium level and 30-day survival in patients surviving OHCA.

Methods: We identified 4,894 patients who had return of spontaneous circulation (ROSC) at hospital arrival, and a registered post-OHCA serum-potassium value, using Danish nationwide registry data from 2001-2019. Potassium values were divided into seven predefined levels: < 2.5, 2.5-2.9, 3.0-3.4, 3.5-4.6, 4.7-5.5, 5.5-6.0, > 6.0 mmol/L. Thirty-day survival was estimated using a multivariable Cox regression (reference normokalemia 3.5-4.6 mmol/L). The multivariable model included age, sex, Charlson comorbidity index (including chronic kidney disease), witnessed status, performance of bystander cardiopulmonary resuscitation (CPR) and first registered heart rhythm.

Results: Over the 30-day follow-up period, survival rates in the seven strata were as follows: 25 (51.0%), 119 (53.6%), 512 (65.4%), 1,631 (57.9%), 220 (32.7%), 34 (22.8%), and 46 (22.7%), respectively. Thirty-day survival was significantly lower for all groups with hyperkalemia compared with normokalemia: 4.7-5.5 mmol/L: (average risk ratio (RR): 0.72, 95% confidence interval (95% CI): 0.66-0.78); 5.5-6.0 mmol/L: (average RR: 0.60, 95% CI: 0.47-0.73); > 6.0 mmol/L: (average RR: 0.56, 95% CI: 0.46-0.66). Survival did not differ significantly in patients with hypokalemia compared with normokalemia.

Conclusions: In OHCA survivors, hyperkalemia was associated with reduced 30-day survival compared with normokalemia, independent of age, sex, comorbidity burden and pre-hospital OHCA-characteristics. Conversely, hypokalemia was not associated with reduced 30-day survival.

求助全文
通过发布文献求助,成功后即可免费获取论文全文。 去求助
来源期刊
CiteScore
6.10
自引率
6.10%
发文量
57
审稿时长
6-12 weeks
期刊介绍: The primary topics of interest in Scandinavian Journal of Trauma, Resuscitation and Emergency Medicine (SJTREM) are the pre-hospital and early in-hospital diagnostic and therapeutic aspects of emergency medicine, trauma, and resuscitation. Contributions focusing on dispatch, major incidents, etiology, pathophysiology, rehabilitation, epidemiology, prevention, education, training, implementation, work environment, as well as ethical and socio-economic aspects may also be assessed for publication.
×
引用
GB/T 7714-2015
复制
MLA
复制
APA
复制
导出至
BibTeX EndNote RefMan NoteFirst NoteExpress
×
提示
您的信息不完整,为了账户安全,请先补充。
现在去补充
×
提示
您因"违规操作"
具体请查看互助需知
我知道了
×
提示
确定
请完成安全验证×
copy
已复制链接
快去分享给好友吧!
我知道了
右上角分享
点击右上角分享
0
联系我们:info@booksci.cn Book学术提供免费学术资源搜索服务,方便国内外学者检索中英文文献。致力于提供最便捷和优质的服务体验。 Copyright © 2023 布克学术 All rights reserved.
京ICP备2023020795号-1
ghs 京公网安备 11010802042870号
Book学术文献互助
Book学术文献互助群
群 号:604180095
Book学术官方微信