不同方式粪便菌群移植治疗溃疡性结肠炎的疗效:系统评价和网络荟萃分析。

IF 3.4 3区 医学 Q1 GASTROENTEROLOGY & HEPATOLOGY
Therapeutic Advances in Gastroenterology Pub Date : 2025-08-25 eCollection Date: 2025-01-01 DOI:10.1177/17562848251369624
Julia Chapon, Julien Scanzi, Harry Sokol, Bruno Pereira, Anthony Buisson
{"title":"不同方式粪便菌群移植治疗溃疡性结肠炎的疗效:系统评价和网络荟萃分析。","authors":"Julia Chapon, Julien Scanzi, Harry Sokol, Bruno Pereira, Anthony Buisson","doi":"10.1177/17562848251369624","DOIUrl":null,"url":null,"abstract":"<p><strong>Background: </strong>While several small sample size randomized controlled trials suggested the superiority of faecal microbiota transplantation (FMT) over placebo in ulcerative colitis (UC), the most effective modality to perform FMT remains unknown.</p><p><strong>Objectives: </strong>To compare the efficacy of different modalities of FMT to induce clinical remission in patients with UC.</p><p><strong>Data sources and methods: </strong>We performed a systematic review and network analysis (sources: MEDLINE, Embase, Cochrane CENTRAL; random effects model) of randomized controlled trials including at least one arm of FMT in adult patients with active UC. The primary endpoint, that is, clinical remission (total Mayo score ⩽2 with Mayo endoscopic score ⩽1), was assessed between weeks 6 and 12. Results are expressed as relative risks with 95% confidence intervals, adjusted for bowel cleansing and pre-FMT antibiotics. Ranking of FMT modalities was calculated as their surface under the cumulative ranking (SUCRA).</p><p><strong>Results: </strong>Among the 12 selected studies, patients were exclusively bio-naïve in 4 studies (4/12), while between 9% and 32% had prior biologics exposure in the other trials. The risk of bias was low across all domains in seven studies. Contrary to upper gastrointestinal tract (GI) FMT (Relative risk (RR) = 1.1 (0.2-7.7)), oral capsule (RR = 7.1 (1.8-33.3)), lower GI FMT (RR = 4.5 (1.7-12.5) and combination of both (RR = 12.5 (2.1-100)) are more effective than placebo to induce clinical remission. The combination of lower GI FMT and oral capsule was significantly more effective than upper GI FMT to induce clinical remission (RR = 10.7 (1.1-104.2)). Combination of lower GI FMT and oral capsule ranked the highest for the induction of clinical remission (SUCRA = 0.93). Multidonor FMT did not perform better than single donor FMT. Autologous FMT ranked lower than placebo (SUCRA = 0.12 vs 0.22).</p><p><strong>Conclusion: </strong>The combination of lower GI and oral capsule FMT seems to be the best modality of FMT for patients with UC. In clinical trials, autologous FMT should be avoided due to a potential detrimental effect.</p><p><strong>Trial registration: </strong>PROSPERO registration number: CRD42023385511.</p>","PeriodicalId":48770,"journal":{"name":"Therapeutic Advances in Gastroenterology","volume":"18 ","pages":"17562848251369624"},"PeriodicalIF":3.4000,"publicationDate":"2025-08-25","publicationTypes":"Journal Article","fieldsOfStudy":null,"isOpenAccess":false,"openAccessPdf":"https://www.ncbi.nlm.nih.gov/pmc/articles/PMC12378343/pdf/","citationCount":"0","resultStr":"{\"title\":\"Efficacy of different modalities of faecal microbiota transplantation in ulcerative colitis: systematic review and network meta-analysis.\",\"authors\":\"Julia Chapon, Julien Scanzi, Harry Sokol, Bruno Pereira, Anthony Buisson\",\"doi\":\"10.1177/17562848251369624\",\"DOIUrl\":null,\"url\":null,\"abstract\":\"<p><strong>Background: </strong>While several small sample size randomized controlled trials suggested the superiority of faecal microbiota transplantation (FMT) over placebo in ulcerative colitis (UC), the most effective modality to perform FMT remains unknown.</p><p><strong>Objectives: </strong>To compare the efficacy of different modalities of FMT to induce clinical remission in patients with UC.</p><p><strong>Data sources and methods: </strong>We performed a systematic review and network analysis (sources: MEDLINE, Embase, Cochrane CENTRAL; random effects model) of randomized controlled trials including at least one arm of FMT in adult patients with active UC. The primary endpoint, that is, clinical remission (total Mayo score ⩽2 with Mayo endoscopic score ⩽1), was assessed between weeks 6 and 12. Results are expressed as relative risks with 95% confidence intervals, adjusted for bowel cleansing and pre-FMT antibiotics. Ranking of FMT modalities was calculated as their surface under the cumulative ranking (SUCRA).</p><p><strong>Results: </strong>Among the 12 selected studies, patients were exclusively bio-naïve in 4 studies (4/12), while between 9% and 32% had prior biologics exposure in the other trials. The risk of bias was low across all domains in seven studies. Contrary to upper gastrointestinal tract (GI) FMT (Relative risk (RR) = 1.1 (0.2-7.7)), oral capsule (RR = 7.1 (1.8-33.3)), lower GI FMT (RR = 4.5 (1.7-12.5) and combination of both (RR = 12.5 (2.1-100)) are more effective than placebo to induce clinical remission. The combination of lower GI FMT and oral capsule was significantly more effective than upper GI FMT to induce clinical remission (RR = 10.7 (1.1-104.2)). Combination of lower GI FMT and oral capsule ranked the highest for the induction of clinical remission (SUCRA = 0.93). Multidonor FMT did not perform better than single donor FMT. Autologous FMT ranked lower than placebo (SUCRA = 0.12 vs 0.22).</p><p><strong>Conclusion: </strong>The combination of lower GI and oral capsule FMT seems to be the best modality of FMT for patients with UC. In clinical trials, autologous FMT should be avoided due to a potential detrimental effect.</p><p><strong>Trial registration: </strong>PROSPERO registration number: CRD42023385511.</p>\",\"PeriodicalId\":48770,\"journal\":{\"name\":\"Therapeutic Advances in Gastroenterology\",\"volume\":\"18 \",\"pages\":\"17562848251369624\"},\"PeriodicalIF\":3.4000,\"publicationDate\":\"2025-08-25\",\"publicationTypes\":\"Journal Article\",\"fieldsOfStudy\":null,\"isOpenAccess\":false,\"openAccessPdf\":\"https://www.ncbi.nlm.nih.gov/pmc/articles/PMC12378343/pdf/\",\"citationCount\":\"0\",\"resultStr\":null,\"platform\":\"Semanticscholar\",\"paperid\":null,\"PeriodicalName\":\"Therapeutic Advances in Gastroenterology\",\"FirstCategoryId\":\"3\",\"ListUrlMain\":\"https://doi.org/10.1177/17562848251369624\",\"RegionNum\":3,\"RegionCategory\":\"医学\",\"ArticlePicture\":[],\"TitleCN\":null,\"AbstractTextCN\":null,\"PMCID\":null,\"EPubDate\":\"2025/1/1 0:00:00\",\"PubModel\":\"eCollection\",\"JCR\":\"Q1\",\"JCRName\":\"GASTROENTEROLOGY & HEPATOLOGY\",\"Score\":null,\"Total\":0}","platform":"Semanticscholar","paperid":null,"PeriodicalName":"Therapeutic Advances in Gastroenterology","FirstCategoryId":"3","ListUrlMain":"https://doi.org/10.1177/17562848251369624","RegionNum":3,"RegionCategory":"医学","ArticlePicture":[],"TitleCN":null,"AbstractTextCN":null,"PMCID":null,"EPubDate":"2025/1/1 0:00:00","PubModel":"eCollection","JCR":"Q1","JCRName":"GASTROENTEROLOGY & HEPATOLOGY","Score":null,"Total":0}
引用次数: 0

摘要

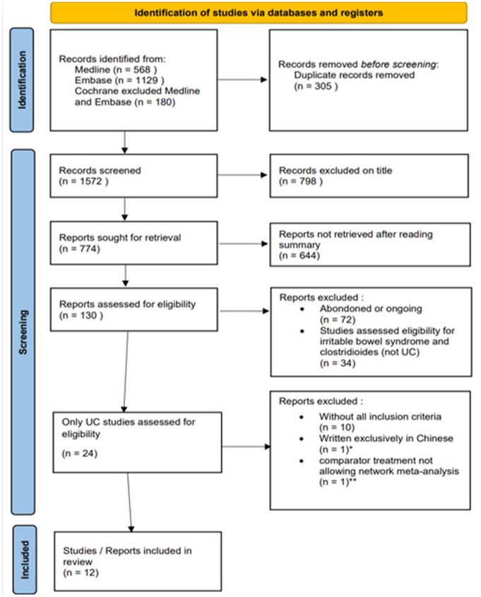
背景:虽然几项小样本随机对照试验表明粪便微生物群移植(FMT)优于安慰剂治疗溃疡性结肠炎(UC),但进行FMT的最有效方式尚不清楚。目的:比较不同方式的FMT诱导UC患者临床缓解的效果。数据来源和方法:我们对随机对照试验进行了系统回顾和网络分析(来源:MEDLINE, Embase, Cochrane CENTRAL;随机效应模型),其中包括至少一组成年活动性UC患者的FMT。主要终点,即临床缓解(Mayo总分≥2,Mayo内窥镜评分≥1),在第6周至第12周之间进行评估。结果表示为95%置信区间的相对风险,并根据肠道清洁和fmt前抗生素进行调整。在累积排序(SUCRA)下计算FMT模式的排序。结果:在12项选定的研究中,4项研究(4/12)的患者完全为bio-naïve,而在其他试验中,9%至32%的患者有先前的生物制剂暴露。在7项研究中,所有领域的偏倚风险都很低。与上消化道FMT(相对危险度RR = 1.1(0.2-7.7))相反,口服胶囊(RR = 7.1(1.8-33.3))、下消化道FMT (RR = 4.5(1.7-12.5)及两者联合(RR = 12.5(2.1-100))在诱导临床缓解方面比安慰剂更有效。下消化道FMT联合口服胶囊诱导临床缓解的效果明显优于上消化道FMT (RR = 10.7(1.1-104.2))。低GI FMT联合口服胶囊诱导临床缓解的效果最高(SUCRA = 0.93)。多供体FMT并不比单供体FMT效果更好。自体FMT评分低于安慰剂(SUCRA = 0.12 vs 0.22)。结论:下消化道联合口服胶囊FMT是治疗UC患者FMT的最佳方式。在临床试验中,由于潜在的有害影响,应避免自体FMT。试验注册:普洛斯彼罗注册号:CRD42023385511。
本文章由计算机程序翻译,如有差异,请以英文原文为准。

Efficacy of different modalities of faecal microbiota transplantation in ulcerative colitis: systematic review and network meta-analysis.

Efficacy of different modalities of faecal microbiota transplantation in ulcerative colitis: systematic review and network meta-analysis.

Efficacy of different modalities of faecal microbiota transplantation in ulcerative colitis: systematic review and network meta-analysis.

Efficacy of different modalities of faecal microbiota transplantation in ulcerative colitis: systematic review and network meta-analysis.

Background: While several small sample size randomized controlled trials suggested the superiority of faecal microbiota transplantation (FMT) over placebo in ulcerative colitis (UC), the most effective modality to perform FMT remains unknown.

Objectives: To compare the efficacy of different modalities of FMT to induce clinical remission in patients with UC.

Data sources and methods: We performed a systematic review and network analysis (sources: MEDLINE, Embase, Cochrane CENTRAL; random effects model) of randomized controlled trials including at least one arm of FMT in adult patients with active UC. The primary endpoint, that is, clinical remission (total Mayo score ⩽2 with Mayo endoscopic score ⩽1), was assessed between weeks 6 and 12. Results are expressed as relative risks with 95% confidence intervals, adjusted for bowel cleansing and pre-FMT antibiotics. Ranking of FMT modalities was calculated as their surface under the cumulative ranking (SUCRA).

Results: Among the 12 selected studies, patients were exclusively bio-naïve in 4 studies (4/12), while between 9% and 32% had prior biologics exposure in the other trials. The risk of bias was low across all domains in seven studies. Contrary to upper gastrointestinal tract (GI) FMT (Relative risk (RR) = 1.1 (0.2-7.7)), oral capsule (RR = 7.1 (1.8-33.3)), lower GI FMT (RR = 4.5 (1.7-12.5) and combination of both (RR = 12.5 (2.1-100)) are more effective than placebo to induce clinical remission. The combination of lower GI FMT and oral capsule was significantly more effective than upper GI FMT to induce clinical remission (RR = 10.7 (1.1-104.2)). Combination of lower GI FMT and oral capsule ranked the highest for the induction of clinical remission (SUCRA = 0.93). Multidonor FMT did not perform better than single donor FMT. Autologous FMT ranked lower than placebo (SUCRA = 0.12 vs 0.22).

Conclusion: The combination of lower GI and oral capsule FMT seems to be the best modality of FMT for patients with UC. In clinical trials, autologous FMT should be avoided due to a potential detrimental effect.

Trial registration: PROSPERO registration number: CRD42023385511.

求助全文
通过发布文献求助,成功后即可免费获取论文全文。 去求助
来源期刊
Therapeutic Advances in Gastroenterology
Therapeutic Advances in Gastroenterology GASTROENTEROLOGY & HEPATOLOGY-
CiteScore
6.70
自引率
2.40%
发文量
103
审稿时长
15 weeks
期刊介绍: Therapeutic Advances in Gastroenterology is an open access journal which delivers the highest quality peer-reviewed original research articles, reviews, and scholarly comment on pioneering efforts and innovative studies in the medical treatment of gastrointestinal and hepatic disorders. The journal has a strong clinical and pharmacological focus and is aimed at an international audience of clinicians and researchers in gastroenterology and related disciplines, providing an online forum for rapid dissemination of recent research and perspectives in this area. The editors welcome original research articles across all areas of gastroenterology and hepatology. The journal publishes original research articles and review articles primarily. Original research manuscripts may include laboratory, animal or human/clinical studies – all phases. Letters to the Editor and Case Reports will also be considered.
×
引用
GB/T 7714-2015
复制
MLA
复制
APA
复制
导出至
BibTeX EndNote RefMan NoteFirst NoteExpress
×
提示
您的信息不完整,为了账户安全,请先补充。
现在去补充
×
提示
您因"违规操作"
具体请查看互助需知
我知道了
×
提示
确定
请完成安全验证×
copy
已复制链接
快去分享给好友吧!
我知道了
右上角分享
点击右上角分享
0
联系我们:info@booksci.cn Book学术提供免费学术资源搜索服务,方便国内外学者检索中英文文献。致力于提供最便捷和优质的服务体验。 Copyright © 2023 布克学术 All rights reserved.
京ICP备2023020795号-1
ghs 京公网安备 11010802042870号
Book学术文献互助
Book学术文献互助群
群 号:604180095
Book学术官方微信