网络在少数民族利益团体动员中的作用。

IF 3.3 1区 社会学 Q1 POLITICAL SCIENCE
Political Behavior Pub Date : 2025-01-01 Epub Date: 2024-11-09 DOI:10.1007/s11109-024-09988-w
Rutger Schaaf, Simon Otjes, Niels Spierings
{"title":"网络在少数民族利益团体动员中的作用。","authors":"Rutger Schaaf, Simon Otjes, Niels Spierings","doi":"10.1007/s11109-024-09988-w","DOIUrl":null,"url":null,"abstract":"<p><p>Recently, parties that are run by and for ethnic minority citizens with a migration background have become more prominent. They can be considered a manifestation of ethnic political segregation. A key example of such a party is DENK in the Netherlands. So far, the explanatory literature has focused on how programmatic considerations drives voting for these parties. Other factors, such as the role of social networks in mobilization, have received limited testing and limited exploration in more detail. Furthermore, the literature on social networks is mainly based on majority populations. To inform our understanding of the role of social networks in voting (in general but also particularly among ethnic minority communities and for ethnic minority interest parties) this paper analyzes the voting behavior for DENK focusing on the role of personal, online and religious networks. The paper uses both qualitative interviews (with bicultural youth in the third largest city of the Netherlands in 2022) and quantitative surveys (the 2021 Dutch Ethnic Minority Electoral Study). Our analysis points to the importance of religious and personal networks for voting for DENK, whereas online networks appear to be less relevant.</p><p><strong>Supplementary information: </strong>The online version contains supplementary material available at 10.1007/s11109-024-09988-w.</p>","PeriodicalId":48166,"journal":{"name":"Political Behavior","volume":"47 3","pages":"1253-1274"},"PeriodicalIF":3.3000,"publicationDate":"2025-01-01","publicationTypes":"Journal Article","fieldsOfStudy":null,"isOpenAccess":false,"openAccessPdf":"https://www.ncbi.nlm.nih.gov/pmc/articles/PMC12397191/pdf/","citationCount":"0","resultStr":"{\"title\":\"The Role of Networks in Mobilization for Ethnic Minority Interest Parties.\",\"authors\":\"Rutger Schaaf, Simon Otjes, Niels Spierings\",\"doi\":\"10.1007/s11109-024-09988-w\",\"DOIUrl\":null,\"url\":null,\"abstract\":\"<p><p>Recently, parties that are run by and for ethnic minority citizens with a migration background have become more prominent. They can be considered a manifestation of ethnic political segregation. A key example of such a party is DENK in the Netherlands. So far, the explanatory literature has focused on how programmatic considerations drives voting for these parties. Other factors, such as the role of social networks in mobilization, have received limited testing and limited exploration in more detail. Furthermore, the literature on social networks is mainly based on majority populations. To inform our understanding of the role of social networks in voting (in general but also particularly among ethnic minority communities and for ethnic minority interest parties) this paper analyzes the voting behavior for DENK focusing on the role of personal, online and religious networks. The paper uses both qualitative interviews (with bicultural youth in the third largest city of the Netherlands in 2022) and quantitative surveys (the 2021 Dutch Ethnic Minority Electoral Study). Our analysis points to the importance of religious and personal networks for voting for DENK, whereas online networks appear to be less relevant.</p><p><strong>Supplementary information: </strong>The online version contains supplementary material available at 10.1007/s11109-024-09988-w.</p>\",\"PeriodicalId\":48166,\"journal\":{\"name\":\"Political Behavior\",\"volume\":\"47 3\",\"pages\":\"1253-1274\"},\"PeriodicalIF\":3.3000,\"publicationDate\":\"2025-01-01\",\"publicationTypes\":\"Journal Article\",\"fieldsOfStudy\":null,\"isOpenAccess\":false,\"openAccessPdf\":\"https://www.ncbi.nlm.nih.gov/pmc/articles/PMC12397191/pdf/\",\"citationCount\":\"0\",\"resultStr\":null,\"platform\":\"Semanticscholar\",\"paperid\":null,\"PeriodicalName\":\"Political Behavior\",\"FirstCategoryId\":\"90\",\"ListUrlMain\":\"https://doi.org/10.1007/s11109-024-09988-w\",\"RegionNum\":1,\"RegionCategory\":\"社会学\",\"ArticlePicture\":[],\"TitleCN\":null,\"AbstractTextCN\":null,\"PMCID\":null,\"EPubDate\":\"2024/11/9 0:00:00\",\"PubModel\":\"Epub\",\"JCR\":\"Q1\",\"JCRName\":\"POLITICAL SCIENCE\",\"Score\":null,\"Total\":0}","platform":"Semanticscholar","paperid":null,"PeriodicalName":"Political Behavior","FirstCategoryId":"90","ListUrlMain":"https://doi.org/10.1007/s11109-024-09988-w","RegionNum":1,"RegionCategory":"社会学","ArticlePicture":[],"TitleCN":null,"AbstractTextCN":null,"PMCID":null,"EPubDate":"2024/11/9 0:00:00","PubModel":"Epub","JCR":"Q1","JCRName":"POLITICAL SCIENCE","Score":null,"Total":0}
引用次数: 0

摘要

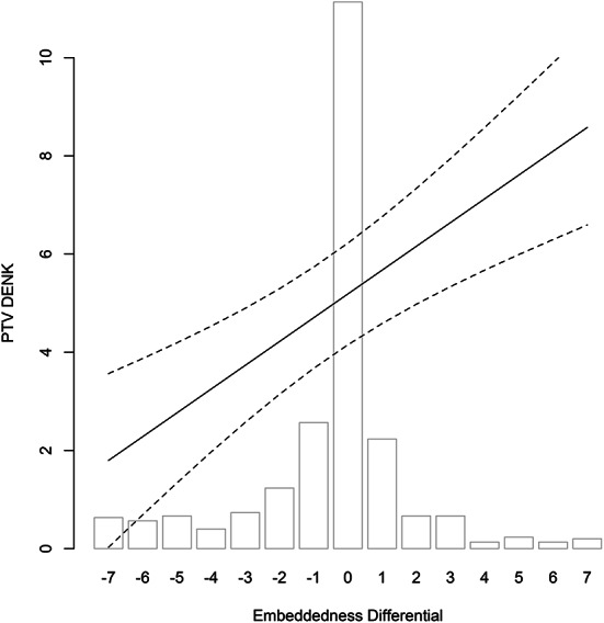
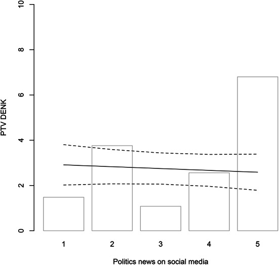
最近,由具有移民背景的少数民族公民领导并为其服务的政党变得更加突出。它们可以被认为是种族政治隔离的一种表现。这种政党的一个重要例子是荷兰的DENK。到目前为止,解释性文献主要集中在程序性考虑如何推动这些政党的投票。其他因素,如社会网络在动员中的作用,得到的测试和更详细的探索有限。此外,关于社交网络的文献主要是基于大多数人群。为了让我们了解社会网络在投票中的作用(一般情况下,但也特别在少数民族社区和少数民族利益团体中),本文分析了DENK的投票行为,重点是个人,在线和宗教网络的作用。本文使用定性访谈(与荷兰第三大城市的双文化青年在2022年)和定量调查(2021年荷兰少数民族选举研究)。我们的分析指出宗教和个人网络对民主党投票的重要性,而在线网络似乎不太相关。补充信息:在线版本包含补充资料,提供地址:10.1007/s11109-024-09988-w。
本文章由计算机程序翻译,如有差异,请以英文原文为准。

The Role of Networks in Mobilization for Ethnic Minority Interest Parties.

The Role of Networks in Mobilization for Ethnic Minority Interest Parties.

The Role of Networks in Mobilization for Ethnic Minority Interest Parties.

The Role of Networks in Mobilization for Ethnic Minority Interest Parties.

Recently, parties that are run by and for ethnic minority citizens with a migration background have become more prominent. They can be considered a manifestation of ethnic political segregation. A key example of such a party is DENK in the Netherlands. So far, the explanatory literature has focused on how programmatic considerations drives voting for these parties. Other factors, such as the role of social networks in mobilization, have received limited testing and limited exploration in more detail. Furthermore, the literature on social networks is mainly based on majority populations. To inform our understanding of the role of social networks in voting (in general but also particularly among ethnic minority communities and for ethnic minority interest parties) this paper analyzes the voting behavior for DENK focusing on the role of personal, online and religious networks. The paper uses both qualitative interviews (with bicultural youth in the third largest city of the Netherlands in 2022) and quantitative surveys (the 2021 Dutch Ethnic Minority Electoral Study). Our analysis points to the importance of religious and personal networks for voting for DENK, whereas online networks appear to be less relevant.

Supplementary information: The online version contains supplementary material available at 10.1007/s11109-024-09988-w.

求助全文
通过发布文献求助,成功后即可免费获取论文全文。 去求助
来源期刊
Political Behavior
Political Behavior POLITICAL SCIENCE-
CiteScore
8.40
自引率
5.10%
发文量
70
期刊介绍: Political Behavior publishes original research in the general fields of political behavior, institutions, processes, and policies. Approaches include economic (preference structuring, bargaining), psychological (attitude formation and change, motivations, perceptions), sociological (roles, group, class), or political (decision making, coalitions, influence). Articles focus on the political behavior (conventional or unconventional) of the individual person or small group (microanalysis), or of large organizations that participate in the political process such as parties, interest groups, political action committees, governmental agencies, and mass media (macroanalysis). As an interdisciplinary journal, Political Behavior integrates various approaches across different levels of theoretical abstraction and empirical domain (contextual analysis). Officially cited as: Polit Behav
×
引用
GB/T 7714-2015
复制
MLA
复制
APA
复制
导出至
BibTeX EndNote RefMan NoteFirst NoteExpress
×
提示
您的信息不完整,为了账户安全,请先补充。
现在去补充
×
提示
您因"违规操作"
具体请查看互助需知
我知道了
×
提示
确定
请完成安全验证×
copy
已复制链接
快去分享给好友吧!
我知道了
右上角分享
点击右上角分享
0
联系我们:info@booksci.cn Book学术提供免费学术资源搜索服务,方便国内外学者检索中英文文献。致力于提供最便捷和优质的服务体验。 Copyright © 2023 布克学术 All rights reserved.
京ICP备2023020795号-1
ghs 京公网安备 11010802042870号
Book学术文献互助
Book学术文献互助群
群 号:604180095
Book学术官方微信