年龄相关刻板印象威胁对老年人主观年龄、年龄相关变化意识和身体表现的影响

IF 3.5 2区 社会学 Q1 GERONTOLOGY
Anna C Müller, Anna E Kornadt, Nanna Notthoff
{"title":"年龄相关刻板印象威胁对老年人主观年龄、年龄相关变化意识和身体表现的影响","authors":"Anna C Müller, Anna E Kornadt, Nanna Notthoff","doi":"10.1007/s10433-025-00874-w","DOIUrl":null,"url":null,"abstract":"<p><p>Age-related stereotype threat-the fear of being judged based on negative age stereotypes-can affect physical performance in older adults. This study postulated that stereotype threat influences sports motor performance and that self-perceptions of aging (SPA), specifically subjective age (SA) and awareness of age-related change (AARC), reinforce this relationship. A total of 86 adults aged 65 and over participated in the study (65-85; M = 72.10, SD = 5.94). Participants were randomly assigned to either an experimental group with stereotype threat or a control group. Physical performance was assessed using the advanced version of the sports motor test for adults. SPA (SA, AARC losses and gains) were measured by self-report. The results indicated that compared to the control situation, stereotype threat did not result in lower performance in individual sports motor domains (coordination, mobility, strength, endurance), but only in total performance. Greater AARC losses predicted lower performance in the strength domain. No moderating effect of SA was observed, but a moderating effect of AARC gains was identified in the coordination domain. Stereotype threat only led to lower performance in interactions with AARC gains and in tasks that required both cognitive and physical components. Our findings show that compared to SA, AARC appears more relevant to stereotype threat and physical performance. Finally, the impact of stereotype threat on motor performance is not universally detrimental, but rather domain-specific and only partially moderated by individual differences in SPA.</p>","PeriodicalId":47766,"journal":{"name":"European Journal of Ageing","volume":"22 1","pages":"46"},"PeriodicalIF":3.5000,"publicationDate":"2025-08-25","publicationTypes":"Journal Article","fieldsOfStudy":null,"isOpenAccess":false,"openAccessPdf":"https://www.ncbi.nlm.nih.gov/pmc/articles/PMC12378272/pdf/","citationCount":"0","resultStr":"{\"title\":\"Impact of age-related stereotype threat on subjective age, awareness of age-related change, and physical performance in older adults.\",\"authors\":\"Anna C Müller, Anna E Kornadt, Nanna Notthoff\",\"doi\":\"10.1007/s10433-025-00874-w\",\"DOIUrl\":null,\"url\":null,\"abstract\":\"<p><p>Age-related stereotype threat-the fear of being judged based on negative age stereotypes-can affect physical performance in older adults. This study postulated that stereotype threat influences sports motor performance and that self-perceptions of aging (SPA), specifically subjective age (SA) and awareness of age-related change (AARC), reinforce this relationship. A total of 86 adults aged 65 and over participated in the study (65-85; M = 72.10, SD = 5.94). Participants were randomly assigned to either an experimental group with stereotype threat or a control group. Physical performance was assessed using the advanced version of the sports motor test for adults. SPA (SA, AARC losses and gains) were measured by self-report. The results indicated that compared to the control situation, stereotype threat did not result in lower performance in individual sports motor domains (coordination, mobility, strength, endurance), but only in total performance. Greater AARC losses predicted lower performance in the strength domain. No moderating effect of SA was observed, but a moderating effect of AARC gains was identified in the coordination domain. Stereotype threat only led to lower performance in interactions with AARC gains and in tasks that required both cognitive and physical components. Our findings show that compared to SA, AARC appears more relevant to stereotype threat and physical performance. Finally, the impact of stereotype threat on motor performance is not universally detrimental, but rather domain-specific and only partially moderated by individual differences in SPA.</p>\",\"PeriodicalId\":47766,\"journal\":{\"name\":\"European Journal of Ageing\",\"volume\":\"22 1\",\"pages\":\"46\"},\"PeriodicalIF\":3.5000,\"publicationDate\":\"2025-08-25\",\"publicationTypes\":\"Journal Article\",\"fieldsOfStudy\":null,\"isOpenAccess\":false,\"openAccessPdf\":\"https://www.ncbi.nlm.nih.gov/pmc/articles/PMC12378272/pdf/\",\"citationCount\":\"0\",\"resultStr\":null,\"platform\":\"Semanticscholar\",\"paperid\":null,\"PeriodicalName\":\"European Journal of Ageing\",\"FirstCategoryId\":\"90\",\"ListUrlMain\":\"https://doi.org/10.1007/s10433-025-00874-w\",\"RegionNum\":2,\"RegionCategory\":\"社会学\",\"ArticlePicture\":[],\"TitleCN\":null,\"AbstractTextCN\":null,\"PMCID\":null,\"EPubDate\":\"\",\"PubModel\":\"\",\"JCR\":\"Q1\",\"JCRName\":\"GERONTOLOGY\",\"Score\":null,\"Total\":0}","platform":"Semanticscholar","paperid":null,"PeriodicalName":"European Journal of Ageing","FirstCategoryId":"90","ListUrlMain":"https://doi.org/10.1007/s10433-025-00874-w","RegionNum":2,"RegionCategory":"社会学","ArticlePicture":[],"TitleCN":null,"AbstractTextCN":null,"PMCID":null,"EPubDate":"","PubModel":"","JCR":"Q1","JCRName":"GERONTOLOGY","Score":null,"Total":0}
引用次数: 0

摘要

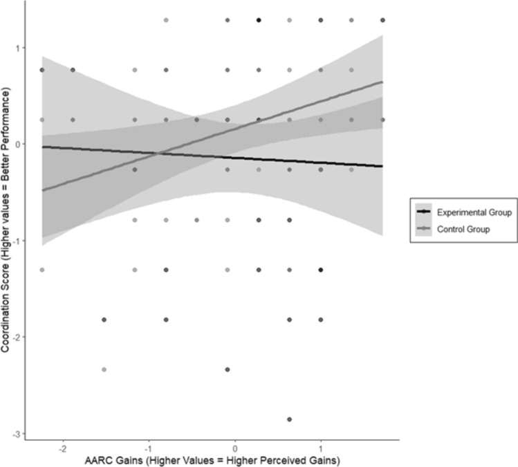
与年龄相关的刻板印象威胁——害怕被基于负面的年龄刻板印象来评判——会影响老年人的身体表现。本研究假设刻板印象威胁影响运动运动表现,而对衰老的自我感知(SPA),特别是主观年龄(SA)和对年龄相关变化的认识(AARC)强化了这种关系。共有86名65岁及以上的成年人参与了这项研究(65-85;M = 72.10, SD = 5.94)。参与者被随机分配到有刻板印象威胁的实验组和对照组。身体表现是用成人运动运动测试的高级版本来评估的。SPA (SA, AARC损失和收益)以自我报告的方式测量。结果表明,与对照组相比,刻板印象威胁并未导致个体运动领域(协调性、机动性、力量、耐力)的成绩下降,但只导致整体成绩下降。AARC损耗越大,强度域的性能越低。没有观察到SA的调节作用,但在配位域中发现了AARC增益的调节作用。刻板印象威胁只会导致在与AARC增益的互动中以及在需要认知和身体成分的任务中表现较差。我们的研究结果表明,与SA相比,AARC似乎与刻板印象威胁和身体表现更相关。最后,刻板印象威胁对运动表现的影响不是普遍有害的,而是特定领域的,仅部分受到SPA个体差异的调节。
本文章由计算机程序翻译,如有差异,请以英文原文为准。

Impact of age-related stereotype threat on subjective age, awareness of age-related change, and physical performance in older adults.

Impact of age-related stereotype threat on subjective age, awareness of age-related change, and physical performance in older adults.

Age-related stereotype threat-the fear of being judged based on negative age stereotypes-can affect physical performance in older adults. This study postulated that stereotype threat influences sports motor performance and that self-perceptions of aging (SPA), specifically subjective age (SA) and awareness of age-related change (AARC), reinforce this relationship. A total of 86 adults aged 65 and over participated in the study (65-85; M = 72.10, SD = 5.94). Participants were randomly assigned to either an experimental group with stereotype threat or a control group. Physical performance was assessed using the advanced version of the sports motor test for adults. SPA (SA, AARC losses and gains) were measured by self-report. The results indicated that compared to the control situation, stereotype threat did not result in lower performance in individual sports motor domains (coordination, mobility, strength, endurance), but only in total performance. Greater AARC losses predicted lower performance in the strength domain. No moderating effect of SA was observed, but a moderating effect of AARC gains was identified in the coordination domain. Stereotype threat only led to lower performance in interactions with AARC gains and in tasks that required both cognitive and physical components. Our findings show that compared to SA, AARC appears more relevant to stereotype threat and physical performance. Finally, the impact of stereotype threat on motor performance is not universally detrimental, but rather domain-specific and only partially moderated by individual differences in SPA.

求助全文
通过发布文献求助,成功后即可免费获取论文全文。 去求助
来源期刊
CiteScore
6.50
自引率
7.90%
发文量
72
期刊介绍: The European Journal of Ageing: Social, Behavioural and Health Perspectives is an interdisciplinary journal devoted to the understanding of ageing in European societies and the world over. EJA publishes original articles on the social, behavioral and population health aspects of ageing and encourages an integrated approach between these aspects. Emphasis is put on publishing empirical research (including meta-analyses), but conceptual papers (including narrative reviews) and methodological contributions will also be considered. EJA welcomes expert opinions on critical issues in ageing. By stimulating communication between researchers and those using research findings, it aims to contribute to the formulation of better policies and the development of better practice in serving older adults. To further specify, with the term ''social'' is meant the full scope of social science of ageing related research from the micro to the macro level of analysis. With the term ''behavioural'' the full scope of psychological ageing research including life span approaches based on a range of age groups from young to old is envisaged. The term ''population health-related'' denotes social-epidemiological and public health oriented research including research on functional health in the widest possible sense.
×
引用
GB/T 7714-2015
复制
MLA
复制
APA
复制
导出至
BibTeX EndNote RefMan NoteFirst NoteExpress
×
提示
您的信息不完整,为了账户安全,请先补充。
现在去补充
×
提示
您因"违规操作"
具体请查看互助需知
我知道了
×
提示
确定
请完成安全验证×
copy
已复制链接
快去分享给好友吧!
我知道了
右上角分享
点击右上角分享
0
联系我们:info@booksci.cn Book学术提供免费学术资源搜索服务,方便国内外学者检索中英文文献。致力于提供最便捷和优质的服务体验。 Copyright © 2023 布克学术 All rights reserved.
京ICP备2023020795号-1
ghs 京公网安备 11010802042870号
Book学术文献互助
Book学术文献互助群
群 号:604180095
Book学术官方微信