健康的植物性饮食与独立于循环CRP的老年人较高的健康相关生活质量相关:来自生命线队列研究的横断面分析。

IF 2 Q3 NUTRITION & DIETETICS
Journal of Nutritional Science Pub Date : 2025-08-04 eCollection Date: 2025-01-01 DOI:10.1017/jns.2025.10023
Kerstin Schorr, Marian Beekman, Venetka Agayn, Jeanne H M de Vries, Lisette C P G M de Groot, P Eline Slagboom
{"title":"健康的植物性饮食与独立于循环CRP的老年人较高的健康相关生活质量相关:来自生命线队列研究的横断面分析。","authors":"Kerstin Schorr, Marian Beekman, Venetka Agayn, Jeanne H M de Vries, Lisette C P G M de Groot, P Eline Slagboom","doi":"10.1017/jns.2025.10023","DOIUrl":null,"url":null,"abstract":"<p><p>Plant-based diets (PBD) have been found to be environmentally sustainable and beneficial for health. Observational research showed that higher plant-based diet quality improves health-related quality of life (HRQoL) in adult women, however this is unclear for older adults. This association may be due to anti-inflammatory properties of PBD. Older adults, prone to chronic inflammation, may therefore profit from PBD. We investigated the relation between PBD and HRQoL in older adults of both sexes and tested whether the effects are associated with circulating high-sensitivity C-reactive protein (hsCRP) levels. We used data of the population-based Lifelines Cohort Study (n = 6,635, mean age = 65.2 years) and a subsample in which hsCRP was measured (n = 2,251, mean age = 65.2 years). We applied a plant-based diet index measuring adherence to a healthful (hPDI) and an unhealthful (uPDI) plant-based diet based on food frequency questionnaires. The RAND-36 questionnaire was applied as measure of HRQoL, from which we derived physical and mental HRQoL. Older adults with the highest adherence to a hPDI had respectively 15% and 12% greater odds for high physical quality of life and mental quality of life. Meanwhile, higher adherence to uPDI was associated with respectively 16% and 13% lower odds for high physical and mental quality of life. An additive but no interactive effect of hsCRP on the association between PBD and HRQoL has been observed. Adherence to a healthful plant-based diet and circulating levels of inflammation are independently associated with physical and mental HRQoL. Mechanisms other than inflammation through which PBD could influence HRQoL may be explored in further research.</p>","PeriodicalId":47536,"journal":{"name":"Journal of Nutritional Science","volume":"14 ","pages":"e54"},"PeriodicalIF":2.0000,"publicationDate":"2025-08-04","publicationTypes":"Journal Article","fieldsOfStudy":null,"isOpenAccess":false,"openAccessPdf":"https://www.ncbi.nlm.nih.gov/pmc/articles/PMC12361675/pdf/","citationCount":"0","resultStr":"{\"title\":\"A healthful plant-based diet is associated with higher health-related quality of life among older adults independent of circulating CRP: a cross-sectional analysis from the Lifelines Cohort Study.\",\"authors\":\"Kerstin Schorr, Marian Beekman, Venetka Agayn, Jeanne H M de Vries, Lisette C P G M de Groot, P Eline Slagboom\",\"doi\":\"10.1017/jns.2025.10023\",\"DOIUrl\":null,\"url\":null,\"abstract\":\"<p><p>Plant-based diets (PBD) have been found to be environmentally sustainable and beneficial for health. Observational research showed that higher plant-based diet quality improves health-related quality of life (HRQoL) in adult women, however this is unclear for older adults. This association may be due to anti-inflammatory properties of PBD. Older adults, prone to chronic inflammation, may therefore profit from PBD. We investigated the relation between PBD and HRQoL in older adults of both sexes and tested whether the effects are associated with circulating high-sensitivity C-reactive protein (hsCRP) levels. We used data of the population-based Lifelines Cohort Study (n = 6,635, mean age = 65.2 years) and a subsample in which hsCRP was measured (n = 2,251, mean age = 65.2 years). We applied a plant-based diet index measuring adherence to a healthful (hPDI) and an unhealthful (uPDI) plant-based diet based on food frequency questionnaires. The RAND-36 questionnaire was applied as measure of HRQoL, from which we derived physical and mental HRQoL. Older adults with the highest adherence to a hPDI had respectively 15% and 12% greater odds for high physical quality of life and mental quality of life. Meanwhile, higher adherence to uPDI was associated with respectively 16% and 13% lower odds for high physical and mental quality of life. An additive but no interactive effect of hsCRP on the association between PBD and HRQoL has been observed. Adherence to a healthful plant-based diet and circulating levels of inflammation are independently associated with physical and mental HRQoL. Mechanisms other than inflammation through which PBD could influence HRQoL may be explored in further research.</p>\",\"PeriodicalId\":47536,\"journal\":{\"name\":\"Journal of Nutritional Science\",\"volume\":\"14 \",\"pages\":\"e54\"},\"PeriodicalIF\":2.0000,\"publicationDate\":\"2025-08-04\",\"publicationTypes\":\"Journal Article\",\"fieldsOfStudy\":null,\"isOpenAccess\":false,\"openAccessPdf\":\"https://www.ncbi.nlm.nih.gov/pmc/articles/PMC12361675/pdf/\",\"citationCount\":\"0\",\"resultStr\":null,\"platform\":\"Semanticscholar\",\"paperid\":null,\"PeriodicalName\":\"Journal of Nutritional Science\",\"FirstCategoryId\":\"1085\",\"ListUrlMain\":\"https://doi.org/10.1017/jns.2025.10023\",\"RegionNum\":0,\"RegionCategory\":null,\"ArticlePicture\":[],\"TitleCN\":null,\"AbstractTextCN\":null,\"PMCID\":null,\"EPubDate\":\"2025/1/1 0:00:00\",\"PubModel\":\"eCollection\",\"JCR\":\"Q3\",\"JCRName\":\"NUTRITION & DIETETICS\",\"Score\":null,\"Total\":0}","platform":"Semanticscholar","paperid":null,"PeriodicalName":"Journal of Nutritional Science","FirstCategoryId":"1085","ListUrlMain":"https://doi.org/10.1017/jns.2025.10023","RegionNum":0,"RegionCategory":null,"ArticlePicture":[],"TitleCN":null,"AbstractTextCN":null,"PMCID":null,"EPubDate":"2025/1/1 0:00:00","PubModel":"eCollection","JCR":"Q3","JCRName":"NUTRITION & DIETETICS","Score":null,"Total":0}
引用次数: 0

摘要

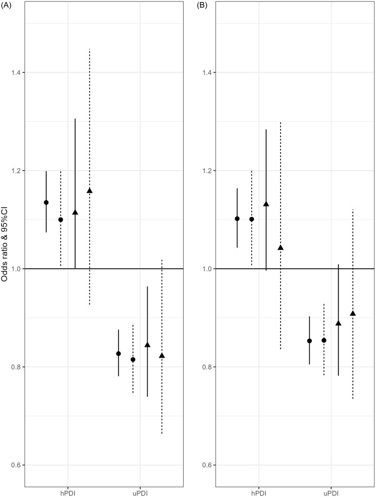
植物性饮食(PBD)已被发现是环境可持续的,对健康有益。观察性研究表明,较高的植物性饮食质量可改善成年女性的健康相关生活质量(HRQoL),但对于老年人而言尚不清楚。这种关联可能是由于PBD的抗炎特性。老年人,易患慢性炎症,因此可能受益于PBD。我们研究了男女老年人中PBD和HRQoL之间的关系,并测试了这种影响是否与循环高敏c反应蛋白(hsCRP)水平有关。我们使用了基于人群的生命线队列研究(n = 6,635,平均年龄= 65.2岁)和测量hsCRP的子样本(n = 2,251,平均年龄= 65.2岁)的数据。我们应用基于食物频率问卷的植物性饮食指数来衡量健康(hPDI)和不健康(uPDI)植物性饮食的依从性。采用RAND-36问卷作为HRQoL的测量方法,得出生理和心理HRQoL。对hPDI坚持度最高的老年人拥有高身体生活质量和高精神生活质量的几率分别高出15%和12%。同时,较高的uPDI依从性与高身体和精神生活质量的几率分别降低16%和13%有关。观察到hsCRP对PBD和HRQoL之间的关联有附加作用,但无交互作用。坚持健康的植物性饮食和循环炎症水平与身心HRQoL独立相关。除炎症外,PBD影响HRQoL的机制有待进一步研究。
本文章由计算机程序翻译,如有差异,请以英文原文为准。

A healthful plant-based diet is associated with higher health-related quality of life among older adults independent of circulating CRP: a cross-sectional analysis from the Lifelines Cohort Study.

A healthful plant-based diet is associated with higher health-related quality of life among older adults independent of circulating CRP: a cross-sectional analysis from the Lifelines Cohort Study.

A healthful plant-based diet is associated with higher health-related quality of life among older adults independent of circulating CRP: a cross-sectional analysis from the Lifelines Cohort Study.

A healthful plant-based diet is associated with higher health-related quality of life among older adults independent of circulating CRP: a cross-sectional analysis from the Lifelines Cohort Study.

Plant-based diets (PBD) have been found to be environmentally sustainable and beneficial for health. Observational research showed that higher plant-based diet quality improves health-related quality of life (HRQoL) in adult women, however this is unclear for older adults. This association may be due to anti-inflammatory properties of PBD. Older adults, prone to chronic inflammation, may therefore profit from PBD. We investigated the relation between PBD and HRQoL in older adults of both sexes and tested whether the effects are associated with circulating high-sensitivity C-reactive protein (hsCRP) levels. We used data of the population-based Lifelines Cohort Study (n = 6,635, mean age = 65.2 years) and a subsample in which hsCRP was measured (n = 2,251, mean age = 65.2 years). We applied a plant-based diet index measuring adherence to a healthful (hPDI) and an unhealthful (uPDI) plant-based diet based on food frequency questionnaires. The RAND-36 questionnaire was applied as measure of HRQoL, from which we derived physical and mental HRQoL. Older adults with the highest adherence to a hPDI had respectively 15% and 12% greater odds for high physical quality of life and mental quality of life. Meanwhile, higher adherence to uPDI was associated with respectively 16% and 13% lower odds for high physical and mental quality of life. An additive but no interactive effect of hsCRP on the association between PBD and HRQoL has been observed. Adherence to a healthful plant-based diet and circulating levels of inflammation are independently associated with physical and mental HRQoL. Mechanisms other than inflammation through which PBD could influence HRQoL may be explored in further research.

求助全文
通过发布文献求助,成功后即可免费获取论文全文。 去求助
来源期刊
Journal of Nutritional Science
Journal of Nutritional Science NUTRITION & DIETETICS-
CiteScore
3.00
自引率
0.00%
发文量
91
审稿时长
7 weeks
期刊介绍: Journal of Nutritional Science is an international, peer-reviewed, online only, open access journal that welcomes high-quality research articles in all aspects of nutrition. The underlying aim of all work should be, as far as possible, to develop nutritional concepts. JNS encompasses the full spectrum of nutritional science including public health nutrition, epidemiology, dietary surveys, nutritional requirements, metabolic studies, body composition, energetics, appetite, obesity, ageing, endocrinology, immunology, neuroscience, microbiology, genetics, molecular and cellular biology and nutrigenomics. JNS welcomes Primary Research Papers, Brief Reports, Review Articles, Systematic Reviews, Workshop Reports, Letters to the Editor and Obituaries.
×
引用
GB/T 7714-2015
复制
MLA
复制
APA
复制
导出至
BibTeX EndNote RefMan NoteFirst NoteExpress
×
提示
您的信息不完整,为了账户安全,请先补充。
现在去补充
×
提示
您因"违规操作"
具体请查看互助需知
我知道了
×
提示
确定
请完成安全验证×
copy
已复制链接
快去分享给好友吧!
我知道了
右上角分享
点击右上角分享
0
联系我们:info@booksci.cn Book学术提供免费学术资源搜索服务,方便国内外学者检索中英文文献。致力于提供最便捷和优质的服务体验。 Copyright © 2023 布克学术 All rights reserved.
京ICP备2023020795号-1
ghs 京公网安备 11010802042870号
Book学术文献互助
Book学术文献互助群
群 号:604180095
Book学术官方微信