耐药癫痫的长时间间歇家庭视频-脑电图监测:成本-可得性模型。

IF 2.5 4区 医学 Q3 HEALTH POLICY & SERVICES
Tatiana Vander, Tatiana Stroganova, Rozalya Bikmullina, Michal Balberg, Tal Benoliel, Tal Gilboa, Mordekhay Medvedovsky
{"title":"耐药癫痫的长时间间歇家庭视频-脑电图监测:成本-可得性模型。","authors":"Tatiana Vander, Tatiana Stroganova, Rozalya Bikmullina, Michal Balberg, Tal Benoliel, Tal Gilboa, Mordekhay Medvedovsky","doi":"10.1186/s12962-025-00650-8","DOIUrl":null,"url":null,"abstract":"<p><p>Video-EEG monitoring (VEM) is an obligatory step in drug-resistant epilepsy (DRE) management. The common way of VEM is in-hospital VEM (IVEM), which is limited by the need to admit the patient to the epilepsy monitoring unit. Prolonged intermittent home VEM (PIHVEM) can be a more available alternative. Since reducing antiseizure medication at home is impossible, PIHVEM can be associated with long monitoring and, therefore, relatively high cost. To regulate the parameters of PIHVEM (the patient selection criteria and length of PIHVEM), we introduce the cost-availability model (CAM), which balances the VEM availability and VEM cost, considering the ratio between the annual number of VEM studies performed for DRE and annual DRE incidence (VEM DRE/VEM incidence). The lowest CAM value corresponds to the most optimal parameters of PIHVEM. CAM value decreases with longer PIHVEM. With a lower VEM DRE/VEM incidence ratio, CAM value reduction can be achieved by including patients with lower seizure frequency in PIHVEM. In such a situation, the considerations of VEM availability outweigh the VEM cost. With the increase in VEM DRE/VEM incidence ratio, the influence of VEM cost increases relative to VEM availability. The conclusions: PIHVEM can increase VEM availability without increasing the cost, and CAM can estimate the optimal PIHVEM parameters.</p>","PeriodicalId":47054,"journal":{"name":"Cost Effectiveness and Resource Allocation","volume":"23 1","pages":"45"},"PeriodicalIF":2.5000,"publicationDate":"2025-09-02","publicationTypes":"Journal Article","fieldsOfStudy":null,"isOpenAccess":false,"openAccessPdf":"https://www.ncbi.nlm.nih.gov/pmc/articles/PMC12403618/pdf/","citationCount":"0","resultStr":"{\"title\":\"Prolonged intermittent home video-EEG monitoring for drug-resistant epilepsy: the cost-availability model.\",\"authors\":\"Tatiana Vander, Tatiana Stroganova, Rozalya Bikmullina, Michal Balberg, Tal Benoliel, Tal Gilboa, Mordekhay Medvedovsky\",\"doi\":\"10.1186/s12962-025-00650-8\",\"DOIUrl\":null,\"url\":null,\"abstract\":\"<p><p>Video-EEG monitoring (VEM) is an obligatory step in drug-resistant epilepsy (DRE) management. The common way of VEM is in-hospital VEM (IVEM), which is limited by the need to admit the patient to the epilepsy monitoring unit. Prolonged intermittent home VEM (PIHVEM) can be a more available alternative. Since reducing antiseizure medication at home is impossible, PIHVEM can be associated with long monitoring and, therefore, relatively high cost. To regulate the parameters of PIHVEM (the patient selection criteria and length of PIHVEM), we introduce the cost-availability model (CAM), which balances the VEM availability and VEM cost, considering the ratio between the annual number of VEM studies performed for DRE and annual DRE incidence (VEM DRE/VEM incidence). The lowest CAM value corresponds to the most optimal parameters of PIHVEM. CAM value decreases with longer PIHVEM. With a lower VEM DRE/VEM incidence ratio, CAM value reduction can be achieved by including patients with lower seizure frequency in PIHVEM. In such a situation, the considerations of VEM availability outweigh the VEM cost. With the increase in VEM DRE/VEM incidence ratio, the influence of VEM cost increases relative to VEM availability. The conclusions: PIHVEM can increase VEM availability without increasing the cost, and CAM can estimate the optimal PIHVEM parameters.</p>\",\"PeriodicalId\":47054,\"journal\":{\"name\":\"Cost Effectiveness and Resource Allocation\",\"volume\":\"23 1\",\"pages\":\"45\"},\"PeriodicalIF\":2.5000,\"publicationDate\":\"2025-09-02\",\"publicationTypes\":\"Journal Article\",\"fieldsOfStudy\":null,\"isOpenAccess\":false,\"openAccessPdf\":\"https://www.ncbi.nlm.nih.gov/pmc/articles/PMC12403618/pdf/\",\"citationCount\":\"0\",\"resultStr\":null,\"platform\":\"Semanticscholar\",\"paperid\":null,\"PeriodicalName\":\"Cost Effectiveness and Resource Allocation\",\"FirstCategoryId\":\"3\",\"ListUrlMain\":\"https://doi.org/10.1186/s12962-025-00650-8\",\"RegionNum\":4,\"RegionCategory\":\"医学\",\"ArticlePicture\":[],\"TitleCN\":null,\"AbstractTextCN\":null,\"PMCID\":null,\"EPubDate\":\"\",\"PubModel\":\"\",\"JCR\":\"Q3\",\"JCRName\":\"HEALTH POLICY & SERVICES\",\"Score\":null,\"Total\":0}","platform":"Semanticscholar","paperid":null,"PeriodicalName":"Cost Effectiveness and Resource Allocation","FirstCategoryId":"3","ListUrlMain":"https://doi.org/10.1186/s12962-025-00650-8","RegionNum":4,"RegionCategory":"医学","ArticlePicture":[],"TitleCN":null,"AbstractTextCN":null,"PMCID":null,"EPubDate":"","PubModel":"","JCR":"Q3","JCRName":"HEALTH POLICY & SERVICES","Score":null,"Total":0}
引用次数: 0

摘要

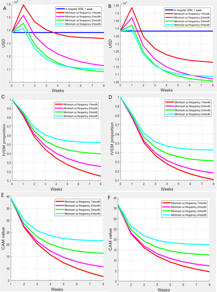
视频脑电图监测(VEM)是耐药癫痫(DRE)治疗的必要步骤。常见的癫痫监测方法是住院癫痫监测(IVEM),但由于需要将患者送入癫痫监护病房,这种方法受到了限制。延长间歇性家庭VEM (PIHVEM)是一种更有效的替代方法。由于在家减少抗癫痫药物治疗是不可能的,PIHVEM可能与长期监测相关,因此成本相对较高。为了规范PIHVEM的参数(患者选择标准和PIHVEM的长度),我们引入了成本-可获得性模型(CAM),该模型考虑了每年为DRE进行的VEM研究数量与年DRE发病率(VEM DRE/VEM发病率)之间的比率,平衡了VEM可获得性和VEM成本。最小的CAM值对应于PIHVEM的最优参数。CAM值随PIHVEM的延长而减小。在VEM DRE/VEM发生率较低的情况下,将癫痫发作频率较低的患者纳入PIHVEM可以降低CAM值。在这种情况下,对VEM可用性的考虑大于对VEM成本的考虑。随着VEM DRE/VEM发生率的增加,VEM成本的影响相对于VEM可得性增大。结论:PIHVEM可以在不增加成本的情况下提高VEM的可用性,CAM可以估计出PIHVEM的最优参数。
本文章由计算机程序翻译,如有差异,请以英文原文为准。

Prolonged intermittent home video-EEG monitoring for drug-resistant epilepsy: the cost-availability model.

Prolonged intermittent home video-EEG monitoring for drug-resistant epilepsy: the cost-availability model.

Prolonged intermittent home video-EEG monitoring for drug-resistant epilepsy: the cost-availability model.

Prolonged intermittent home video-EEG monitoring for drug-resistant epilepsy: the cost-availability model.

Video-EEG monitoring (VEM) is an obligatory step in drug-resistant epilepsy (DRE) management. The common way of VEM is in-hospital VEM (IVEM), which is limited by the need to admit the patient to the epilepsy monitoring unit. Prolonged intermittent home VEM (PIHVEM) can be a more available alternative. Since reducing antiseizure medication at home is impossible, PIHVEM can be associated with long monitoring and, therefore, relatively high cost. To regulate the parameters of PIHVEM (the patient selection criteria and length of PIHVEM), we introduce the cost-availability model (CAM), which balances the VEM availability and VEM cost, considering the ratio between the annual number of VEM studies performed for DRE and annual DRE incidence (VEM DRE/VEM incidence). The lowest CAM value corresponds to the most optimal parameters of PIHVEM. CAM value decreases with longer PIHVEM. With a lower VEM DRE/VEM incidence ratio, CAM value reduction can be achieved by including patients with lower seizure frequency in PIHVEM. In such a situation, the considerations of VEM availability outweigh the VEM cost. With the increase in VEM DRE/VEM incidence ratio, the influence of VEM cost increases relative to VEM availability. The conclusions: PIHVEM can increase VEM availability without increasing the cost, and CAM can estimate the optimal PIHVEM parameters.

求助全文
通过发布文献求助,成功后即可免费获取论文全文。 去求助
来源期刊
Cost Effectiveness and Resource Allocation
Cost Effectiveness and Resource Allocation HEALTH POLICY & SERVICES-
CiteScore
3.40
自引率
4.30%
发文量
59
审稿时长
34 weeks
期刊介绍: Cost Effectiveness and Resource Allocation is an Open Access, peer-reviewed, online journal that considers manuscripts on all aspects of cost-effectiveness analysis, including conceptual or methodological work, economic evaluations, and policy analysis related to resource allocation at a national or international level. Cost Effectiveness and Resource Allocation is aimed at health economists, health services researchers, and policy-makers with an interest in enhancing the flow and transfer of knowledge relating to efficiency in the health sector. Manuscripts are encouraged from researchers based in low- and middle-income countries, with a view to increasing the international economic evidence base for health.
×
引用
GB/T 7714-2015
复制
MLA
复制
APA
复制
导出至
BibTeX EndNote RefMan NoteFirst NoteExpress
×
提示
您的信息不完整,为了账户安全,请先补充。
现在去补充
×
提示
您因"违规操作"
具体请查看互助需知
我知道了
×
提示
确定
请完成安全验证×
copy
已复制链接
快去分享给好友吧!
我知道了
右上角分享
点击右上角分享
0
联系我们:info@booksci.cn Book学术提供免费学术资源搜索服务,方便国内外学者检索中英文文献。致力于提供最便捷和优质的服务体验。 Copyright © 2023 布克学术 All rights reserved.
京ICP备2023020795号-1
ghs 京公网安备 11010802042870号
Book学术文献互助
Book学术文献互助群
群 号:604180095
Book学术官方微信