需要重症监护室住院的严重军团病的临床特征和预后:一项多中心回顾性队列研究

IF 6.2 Q1 RESPIRATORY SYSTEM
Anaïs Dartevel, Louis-Marie Galerneau, Vincent Peigne, Nicholas Sedillot, Stephan Ehrmann, Alexandre Lautrette, Kada Klouche, Julien Poissy, Guillaume Thiery, Bertrand Sauneuf, Jean-Philippe Rigaud, Michel Ramakers, Cédric Daubin, Carole Schwebel, Nicolas Terzi
{"title":"需要重症监护室住院的严重军团病的临床特征和预后:一项多中心回顾性队列研究","authors":"Anaïs Dartevel, Louis-Marie Galerneau, Vincent Peigne, Nicholas Sedillot, Stephan Ehrmann, Alexandre Lautrette, Kada Klouche, Julien Poissy, Guillaume Thiery, Bertrand Sauneuf, Jean-Philippe Rigaud, Michel Ramakers, Cédric Daubin, Carole Schwebel, Nicolas Terzi","doi":"10.1186/s41479-025-00173-z","DOIUrl":null,"url":null,"abstract":"<p><strong>Introduction: </strong>Legionella is the second cause of community-acquired pneumonia in Intensive Care Unit (ICU) patients. The aim of this study was to describe the epidemiology and outcome in patients with Legionella pneumonia (LP) in French ICUs.</p><p><strong>Methods: </strong>A multi-center, retrospective, observational study in 12 French ICUs was performed between January 2014 and December 2019.</p><p><strong>Results: </strong>LP was diagnosed in 162 patients during the study period. Invasive mechanical ventilation was required in 95 patients (58%), 73 (45%) of whom had acute respiratory distress syndrome (ARDS). Most of these patients were treated with a combination of antibiotics (128, patients; 79%). The most common combination consisted in a fluoroquinolone and a macrolide (118 patients). Median length of stay in an ICU was 11 [5; 11] days. At 28 days, 19 (12%) out of the 162 patients had not survived. In multivariate analyses, age (Incidence risk Ratio: IRR, 1.07; 95% CI, 1.01; 1.14) and a high Sequential Organ Failure Assessment (SOFA) score in the first 48 h (IRR, 1.47; 95% CI, 1.09; 2) were significantly associated with mortality.</p><p><strong>Conclusion: </strong>In this French multicentric cohort, the LP prognosis in ICUs was apparently more favorable than in the literature, possibly because of the timely and improved LP management in ICUs.</p>","PeriodicalId":45120,"journal":{"name":"Pneumonia","volume":"17 1","pages":"21"},"PeriodicalIF":6.2000,"publicationDate":"2025-08-25","publicationTypes":"Journal Article","fieldsOfStudy":null,"isOpenAccess":false,"openAccessPdf":"https://www.ncbi.nlm.nih.gov/pmc/articles/PMC12376721/pdf/","citationCount":"0","resultStr":"{\"title\":\"Clinical features and prognosis of severe legionnaires' disease requiring intensive care unit admission: a multicentric retrospective cohort study.\",\"authors\":\"Anaïs Dartevel, Louis-Marie Galerneau, Vincent Peigne, Nicholas Sedillot, Stephan Ehrmann, Alexandre Lautrette, Kada Klouche, Julien Poissy, Guillaume Thiery, Bertrand Sauneuf, Jean-Philippe Rigaud, Michel Ramakers, Cédric Daubin, Carole Schwebel, Nicolas Terzi\",\"doi\":\"10.1186/s41479-025-00173-z\",\"DOIUrl\":null,\"url\":null,\"abstract\":\"<p><strong>Introduction: </strong>Legionella is the second cause of community-acquired pneumonia in Intensive Care Unit (ICU) patients. The aim of this study was to describe the epidemiology and outcome in patients with Legionella pneumonia (LP) in French ICUs.</p><p><strong>Methods: </strong>A multi-center, retrospective, observational study in 12 French ICUs was performed between January 2014 and December 2019.</p><p><strong>Results: </strong>LP was diagnosed in 162 patients during the study period. Invasive mechanical ventilation was required in 95 patients (58%), 73 (45%) of whom had acute respiratory distress syndrome (ARDS). Most of these patients were treated with a combination of antibiotics (128, patients; 79%). The most common combination consisted in a fluoroquinolone and a macrolide (118 patients). Median length of stay in an ICU was 11 [5; 11] days. At 28 days, 19 (12%) out of the 162 patients had not survived. In multivariate analyses, age (Incidence risk Ratio: IRR, 1.07; 95% CI, 1.01; 1.14) and a high Sequential Organ Failure Assessment (SOFA) score in the first 48 h (IRR, 1.47; 95% CI, 1.09; 2) were significantly associated with mortality.</p><p><strong>Conclusion: </strong>In this French multicentric cohort, the LP prognosis in ICUs was apparently more favorable than in the literature, possibly because of the timely and improved LP management in ICUs.</p>\",\"PeriodicalId\":45120,\"journal\":{\"name\":\"Pneumonia\",\"volume\":\"17 1\",\"pages\":\"21\"},\"PeriodicalIF\":6.2000,\"publicationDate\":\"2025-08-25\",\"publicationTypes\":\"Journal Article\",\"fieldsOfStudy\":null,\"isOpenAccess\":false,\"openAccessPdf\":\"https://www.ncbi.nlm.nih.gov/pmc/articles/PMC12376721/pdf/\",\"citationCount\":\"0\",\"resultStr\":null,\"platform\":\"Semanticscholar\",\"paperid\":null,\"PeriodicalName\":\"Pneumonia\",\"FirstCategoryId\":\"1085\",\"ListUrlMain\":\"https://doi.org/10.1186/s41479-025-00173-z\",\"RegionNum\":0,\"RegionCategory\":null,\"ArticlePicture\":[],\"TitleCN\":null,\"AbstractTextCN\":null,\"PMCID\":null,\"EPubDate\":\"\",\"PubModel\":\"\",\"JCR\":\"Q1\",\"JCRName\":\"RESPIRATORY SYSTEM\",\"Score\":null,\"Total\":0}","platform":"Semanticscholar","paperid":null,"PeriodicalName":"Pneumonia","FirstCategoryId":"1085","ListUrlMain":"https://doi.org/10.1186/s41479-025-00173-z","RegionNum":0,"RegionCategory":null,"ArticlePicture":[],"TitleCN":null,"AbstractTextCN":null,"PMCID":null,"EPubDate":"","PubModel":"","JCR":"Q1","JCRName":"RESPIRATORY SYSTEM","Score":null,"Total":0}
引用次数: 0

摘要

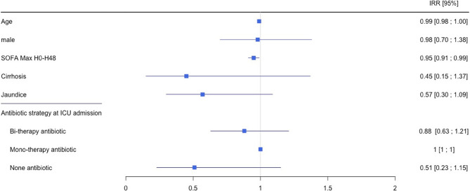
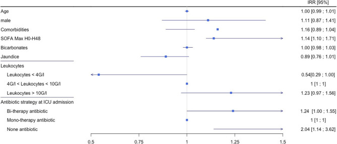
军团菌是重症监护病房(ICU)患者社区获得性肺炎的第二大原因。本研究的目的是描述法国icu中肺炎军团菌(LP)患者的流行病学和预后。方法:2014年1月至2019年12月,对12个法国icu进行多中心、回顾性、观察性研究。结果:162例患者在研究期间被诊断为LP。95例(58%)患者需要有创机械通气,73例(45%)患者有急性呼吸窘迫综合征(ARDS)。这些患者中的大多数接受抗生素联合治疗(128例,79%)。最常见的组合是氟喹诺酮类药物和大环内酯类药物(118例)。ICU的中位住院时间为11 [5];11天。28天时,162例患者中有19例(12%)未存活。在多变量分析中,年龄(发病率风险比:IRR, 1.07; 95% CI, 1.01; 1.14)和前48小时序期器官衰竭评估(SOFA)评分较高(IRR, 1.47; 95% CI, 1.09; 2)与死亡率显著相关。结论:在这个法国多中心队列中,icu的LP预后明显比文献中更有利,可能是由于icu的LP管理及时和改进。
本文章由计算机程序翻译,如有差异,请以英文原文为准。

Clinical features and prognosis of severe legionnaires' disease requiring intensive care unit admission: a multicentric retrospective cohort study.

Clinical features and prognosis of severe legionnaires' disease requiring intensive care unit admission: a multicentric retrospective cohort study.

Clinical features and prognosis of severe legionnaires' disease requiring intensive care unit admission: a multicentric retrospective cohort study.

Clinical features and prognosis of severe legionnaires' disease requiring intensive care unit admission: a multicentric retrospective cohort study.

Introduction: Legionella is the second cause of community-acquired pneumonia in Intensive Care Unit (ICU) patients. The aim of this study was to describe the epidemiology and outcome in patients with Legionella pneumonia (LP) in French ICUs.

Methods: A multi-center, retrospective, observational study in 12 French ICUs was performed between January 2014 and December 2019.

Results: LP was diagnosed in 162 patients during the study period. Invasive mechanical ventilation was required in 95 patients (58%), 73 (45%) of whom had acute respiratory distress syndrome (ARDS). Most of these patients were treated with a combination of antibiotics (128, patients; 79%). The most common combination consisted in a fluoroquinolone and a macrolide (118 patients). Median length of stay in an ICU was 11 [5; 11] days. At 28 days, 19 (12%) out of the 162 patients had not survived. In multivariate analyses, age (Incidence risk Ratio: IRR, 1.07; 95% CI, 1.01; 1.14) and a high Sequential Organ Failure Assessment (SOFA) score in the first 48 h (IRR, 1.47; 95% CI, 1.09; 2) were significantly associated with mortality.

Conclusion: In this French multicentric cohort, the LP prognosis in ICUs was apparently more favorable than in the literature, possibly because of the timely and improved LP management in ICUs.

求助全文
通过发布文献求助,成功后即可免费获取论文全文。 去求助
来源期刊
Pneumonia
Pneumonia RESPIRATORY SYSTEM-
自引率
1.50%
发文量
7
审稿时长
11 weeks
期刊介绍:
×
引用
GB/T 7714-2015
复制
MLA
复制
APA
复制
导出至
BibTeX EndNote RefMan NoteFirst NoteExpress
×
提示
您的信息不完整,为了账户安全,请先补充。
现在去补充
×
提示
您因"违规操作"
具体请查看互助需知
我知道了
×
提示
确定
请完成安全验证×
copy
已复制链接
快去分享给好友吧!
我知道了
右上角分享
点击右上角分享
0
联系我们:info@booksci.cn Book学术提供免费学术资源搜索服务,方便国内外学者检索中英文文献。致力于提供最便捷和优质的服务体验。 Copyright © 2023 布克学术 All rights reserved.
京ICP备2023020795号-1
ghs 京公网安备 11010802042870号
Book学术文献互助
Book学术文献互助群
群 号:604180095
Book学术官方微信