基于有限数据集的手术缝线质量分类迁移学习效果评价。

IF 2.7 Q3 IMAGING SCIENCE & PHOTOGRAPHIC TECHNOLOGY
Roman Ishchenko, Maksim Solopov, Andrey Popandopulo, Elizaveta Chechekhina, Viktor Turchin, Fedor Popivnenko, Aleksandr Ermak, Konstantyn Ladyk, Anton Konyashin, Kirill Golubitskiy, Aleksei Burtsev, Dmitry Filimonov
{"title":"基于有限数据集的手术缝线质量分类迁移学习效果评价。","authors":"Roman Ishchenko, Maksim Solopov, Andrey Popandopulo, Elizaveta Chechekhina, Viktor Turchin, Fedor Popivnenko, Aleksandr Ermak, Konstantyn Ladyk, Anton Konyashin, Kirill Golubitskiy, Aleksei Burtsev, Dmitry Filimonov","doi":"10.3390/jimaging11080266","DOIUrl":null,"url":null,"abstract":"<p><p>This study evaluates the effectiveness of transfer learning with pre-trained convolutional neural networks (CNNs) for the automated binary classification of surgical suture quality (high-quality/low-quality) using photographs of three suture types: interrupted open vascular sutures (IOVS), continuous over-and-over open sutures (COOS), and interrupted laparoscopic sutures (ILS). To address the challenge of limited medical data, eight state-of-the-art CNN architectures-EfficientNetB0, ResNet50V2, MobileNetV3Large, VGG16, VGG19, InceptionV3, Xception, and DenseNet121-were trained and validated on small datasets (100-190 images per type) using 5-fold cross-validation. Performance was assessed using the F1-score, AUC-ROC, and a custom weighted stability-aware score (Score<sub>adj</sub>). The results demonstrate that transfer learning achieves robust classification (F1 > 0.90 for IOVS/ILS, 0.79 for COOS) despite data scarcity. ResNet50V2, DenseNet121, and Xception were more stable by Score<sub>adj</sub>, with ResNet50V2 achieving the highest AUC-ROC (0.959 ± 0.008) for IOVS internal view classification. GradCAM visualizations confirmed model focus on clinically relevant features (e.g., stitch uniformity, tissue apposition). These findings validate transfer learning as a powerful approach for developing objective, automated surgical skill assessment tools, reducing reliance on subjective expert evaluations while maintaining accuracy in resource-constrained settings.</p>","PeriodicalId":37035,"journal":{"name":"Journal of Imaging","volume":"11 8","pages":""},"PeriodicalIF":2.7000,"publicationDate":"2025-08-08","publicationTypes":"Journal Article","fieldsOfStudy":null,"isOpenAccess":false,"openAccessPdf":"https://www.ncbi.nlm.nih.gov/pmc/articles/PMC12387153/pdf/","citationCount":"0","resultStr":"{\"title\":\"Evaluation of Transfer Learning Efficacy for Surgical Suture Quality Classification on Limited Datasets.\",\"authors\":\"Roman Ishchenko, Maksim Solopov, Andrey Popandopulo, Elizaveta Chechekhina, Viktor Turchin, Fedor Popivnenko, Aleksandr Ermak, Konstantyn Ladyk, Anton Konyashin, Kirill Golubitskiy, Aleksei Burtsev, Dmitry Filimonov\",\"doi\":\"10.3390/jimaging11080266\",\"DOIUrl\":null,\"url\":null,\"abstract\":\"<p><p>This study evaluates the effectiveness of transfer learning with pre-trained convolutional neural networks (CNNs) for the automated binary classification of surgical suture quality (high-quality/low-quality) using photographs of three suture types: interrupted open vascular sutures (IOVS), continuous over-and-over open sutures (COOS), and interrupted laparoscopic sutures (ILS). To address the challenge of limited medical data, eight state-of-the-art CNN architectures-EfficientNetB0, ResNet50V2, MobileNetV3Large, VGG16, VGG19, InceptionV3, Xception, and DenseNet121-were trained and validated on small datasets (100-190 images per type) using 5-fold cross-validation. Performance was assessed using the F1-score, AUC-ROC, and a custom weighted stability-aware score (Score<sub>adj</sub>). The results demonstrate that transfer learning achieves robust classification (F1 > 0.90 for IOVS/ILS, 0.79 for COOS) despite data scarcity. ResNet50V2, DenseNet121, and Xception were more stable by Score<sub>adj</sub>, with ResNet50V2 achieving the highest AUC-ROC (0.959 ± 0.008) for IOVS internal view classification. GradCAM visualizations confirmed model focus on clinically relevant features (e.g., stitch uniformity, tissue apposition). These findings validate transfer learning as a powerful approach for developing objective, automated surgical skill assessment tools, reducing reliance on subjective expert evaluations while maintaining accuracy in resource-constrained settings.</p>\",\"PeriodicalId\":37035,\"journal\":{\"name\":\"Journal of Imaging\",\"volume\":\"11 8\",\"pages\":\"\"},\"PeriodicalIF\":2.7000,\"publicationDate\":\"2025-08-08\",\"publicationTypes\":\"Journal Article\",\"fieldsOfStudy\":null,\"isOpenAccess\":false,\"openAccessPdf\":\"https://www.ncbi.nlm.nih.gov/pmc/articles/PMC12387153/pdf/\",\"citationCount\":\"0\",\"resultStr\":null,\"platform\":\"Semanticscholar\",\"paperid\":null,\"PeriodicalName\":\"Journal of Imaging\",\"FirstCategoryId\":\"1085\",\"ListUrlMain\":\"https://doi.org/10.3390/jimaging11080266\",\"RegionNum\":0,\"RegionCategory\":null,\"ArticlePicture\":[],\"TitleCN\":null,\"AbstractTextCN\":null,\"PMCID\":null,\"EPubDate\":\"\",\"PubModel\":\"\",\"JCR\":\"Q3\",\"JCRName\":\"IMAGING SCIENCE & PHOTOGRAPHIC TECHNOLOGY\",\"Score\":null,\"Total\":0}","platform":"Semanticscholar","paperid":null,"PeriodicalName":"Journal of Imaging","FirstCategoryId":"1085","ListUrlMain":"https://doi.org/10.3390/jimaging11080266","RegionNum":0,"RegionCategory":null,"ArticlePicture":[],"TitleCN":null,"AbstractTextCN":null,"PMCID":null,"EPubDate":"","PubModel":"","JCR":"Q3","JCRName":"IMAGING SCIENCE & PHOTOGRAPHIC TECHNOLOGY","Score":null,"Total":0}
引用次数: 0

摘要

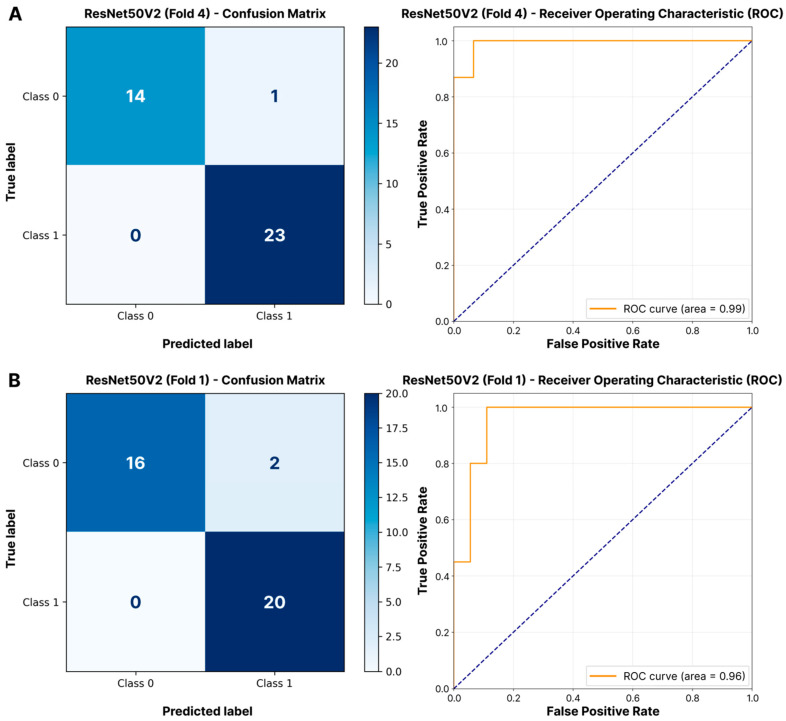
本研究使用三种缝合线类型的照片评估了使用预训练卷积神经网络(cnn)进行迁移学习的有效性,这些缝合线类型为:间断开放血管缝合线(IOVS)、连续反复开放缝合线(COOS)和间断腹腔镜缝合线(ILS)。为了解决有限医疗数据的挑战,使用5倍交叉验证在小数据集(每种类型100-190张图像)上训练和验证了8个最先进的CNN架构——efficientnetb0、ResNet50V2、MobileNetV3Large、VGG16、VGG19、InceptionV3、Xception和densenet121。使用f1评分、AUC-ROC和自定义加权稳定性感知评分(Scoreadj)评估性能。结果表明,尽管数据稀缺,迁移学习仍能实现鲁棒分类(IOVS/ILS的F1 >为0.90,COOS的F1 >为0.79)。ResNet50V2、DenseNet121和Xception的评分稳定,其中ResNet50V2的IOVS内部视图分类AUC-ROC最高(0.959±0.008)。GradCAM可视化证实了模型关注临床相关特征(例如,缝线均匀性,组织对位)。这些发现验证了迁移学习是开发客观、自动化手术技能评估工具的有力方法,减少了对主观专家评估的依赖,同时在资源受限的情况下保持准确性。
本文章由计算机程序翻译,如有差异,请以英文原文为准。

Evaluation of Transfer Learning Efficacy for Surgical Suture Quality Classification on Limited Datasets.

Evaluation of Transfer Learning Efficacy for Surgical Suture Quality Classification on Limited Datasets.

Evaluation of Transfer Learning Efficacy for Surgical Suture Quality Classification on Limited Datasets.

Evaluation of Transfer Learning Efficacy for Surgical Suture Quality Classification on Limited Datasets.

This study evaluates the effectiveness of transfer learning with pre-trained convolutional neural networks (CNNs) for the automated binary classification of surgical suture quality (high-quality/low-quality) using photographs of three suture types: interrupted open vascular sutures (IOVS), continuous over-and-over open sutures (COOS), and interrupted laparoscopic sutures (ILS). To address the challenge of limited medical data, eight state-of-the-art CNN architectures-EfficientNetB0, ResNet50V2, MobileNetV3Large, VGG16, VGG19, InceptionV3, Xception, and DenseNet121-were trained and validated on small datasets (100-190 images per type) using 5-fold cross-validation. Performance was assessed using the F1-score, AUC-ROC, and a custom weighted stability-aware score (Scoreadj). The results demonstrate that transfer learning achieves robust classification (F1 > 0.90 for IOVS/ILS, 0.79 for COOS) despite data scarcity. ResNet50V2, DenseNet121, and Xception were more stable by Scoreadj, with ResNet50V2 achieving the highest AUC-ROC (0.959 ± 0.008) for IOVS internal view classification. GradCAM visualizations confirmed model focus on clinically relevant features (e.g., stitch uniformity, tissue apposition). These findings validate transfer learning as a powerful approach for developing objective, automated surgical skill assessment tools, reducing reliance on subjective expert evaluations while maintaining accuracy in resource-constrained settings.

求助全文
通过发布文献求助,成功后即可免费获取论文全文。 去求助
来源期刊
Journal of Imaging
Journal of Imaging Medicine-Radiology, Nuclear Medicine and Imaging
CiteScore
5.90
自引率
6.20%
发文量
303
审稿时长
7 weeks
×
引用
GB/T 7714-2015
复制
MLA
复制
APA
复制
导出至
BibTeX EndNote RefMan NoteFirst NoteExpress
×
提示
您的信息不完整,为了账户安全,请先补充。
现在去补充
×
提示
您因"违规操作"
具体请查看互助需知
我知道了
×
提示
确定
请完成安全验证×
copy
已复制链接
快去分享给好友吧!
我知道了
右上角分享
点击右上角分享
0
联系我们:info@booksci.cn Book学术提供免费学术资源搜索服务,方便国内外学者检索中英文文献。致力于提供最便捷和优质的服务体验。 Copyright © 2023 布克学术 All rights reserved.
京ICP备2023020795号-1
ghs 京公网安备 11010802042870号
Book学术文献互助
Book学术文献互助群
群 号:604180095
Book学术官方微信