使用大型语言模型从双语食品标签中提取营养信息。

IF 2.7 Q3 IMAGING SCIENCE & PHOTOGRAPHIC TECHNOLOGY
Fatmah Y Assiri, Mohammad D Alahmadi, Mohammed A Almuashi, Ayidh M Almansour
{"title":"使用大型语言模型从双语食品标签中提取营养信息。","authors":"Fatmah Y Assiri, Mohammad D Alahmadi, Mohammed A Almuashi, Ayidh M Almansour","doi":"10.3390/jimaging11080271","DOIUrl":null,"url":null,"abstract":"<p><p>Food product labels serve as a critical source of information, providing details about nutritional content, ingredients, and health implications. These labels enable Food and Drug Authorities (FDA) to ensure compliance and take necessary health-related and logistics actions. Additionally, product labels are essential for online grocery stores to offer reliable nutrition facts and empower customers to make informed dietary decisions. Unfortunately, product labels are typically available in image formats, requiring organizations and online stores to manually transcribe them-a process that is not only time-consuming but also highly prone to human error, especially with multilingual labels that add complexity to the task. Our study investigates the challenges and effectiveness of leveraging large language models (LLMs) to extract nutritional elements and values from multilingual food product labels, with a specific focus on Arabic and English. A comprehensive empirical analysis was conducted using a manually curated dataset of 294 food product labels, comprising 588 transcribed nutritional elements and values in both languages, which served as the ground truth for evaluation. The findings reveal that while LLMs performed better in extracting English elements and values compared to Arabic, our post-processing techniques significantly enhanced their accuracy, with GPT-4o outperforming GPT-4V and Gemini.</p>","PeriodicalId":37035,"journal":{"name":"Journal of Imaging","volume":"11 8","pages":""},"PeriodicalIF":2.7000,"publicationDate":"2025-08-13","publicationTypes":"Journal Article","fieldsOfStudy":null,"isOpenAccess":false,"openAccessPdf":"https://www.ncbi.nlm.nih.gov/pmc/articles/PMC12387780/pdf/","citationCount":"0","resultStr":"{\"title\":\"Extract Nutritional Information from Bilingual Food Labels Using Large Language Models.\",\"authors\":\"Fatmah Y Assiri, Mohammad D Alahmadi, Mohammed A Almuashi, Ayidh M Almansour\",\"doi\":\"10.3390/jimaging11080271\",\"DOIUrl\":null,\"url\":null,\"abstract\":\"<p><p>Food product labels serve as a critical source of information, providing details about nutritional content, ingredients, and health implications. These labels enable Food and Drug Authorities (FDA) to ensure compliance and take necessary health-related and logistics actions. Additionally, product labels are essential for online grocery stores to offer reliable nutrition facts and empower customers to make informed dietary decisions. Unfortunately, product labels are typically available in image formats, requiring organizations and online stores to manually transcribe them-a process that is not only time-consuming but also highly prone to human error, especially with multilingual labels that add complexity to the task. Our study investigates the challenges and effectiveness of leveraging large language models (LLMs) to extract nutritional elements and values from multilingual food product labels, with a specific focus on Arabic and English. A comprehensive empirical analysis was conducted using a manually curated dataset of 294 food product labels, comprising 588 transcribed nutritional elements and values in both languages, which served as the ground truth for evaluation. The findings reveal that while LLMs performed better in extracting English elements and values compared to Arabic, our post-processing techniques significantly enhanced their accuracy, with GPT-4o outperforming GPT-4V and Gemini.</p>\",\"PeriodicalId\":37035,\"journal\":{\"name\":\"Journal of Imaging\",\"volume\":\"11 8\",\"pages\":\"\"},\"PeriodicalIF\":2.7000,\"publicationDate\":\"2025-08-13\",\"publicationTypes\":\"Journal Article\",\"fieldsOfStudy\":null,\"isOpenAccess\":false,\"openAccessPdf\":\"https://www.ncbi.nlm.nih.gov/pmc/articles/PMC12387780/pdf/\",\"citationCount\":\"0\",\"resultStr\":null,\"platform\":\"Semanticscholar\",\"paperid\":null,\"PeriodicalName\":\"Journal of Imaging\",\"FirstCategoryId\":\"1085\",\"ListUrlMain\":\"https://doi.org/10.3390/jimaging11080271\",\"RegionNum\":0,\"RegionCategory\":null,\"ArticlePicture\":[],\"TitleCN\":null,\"AbstractTextCN\":null,\"PMCID\":null,\"EPubDate\":\"\",\"PubModel\":\"\",\"JCR\":\"Q3\",\"JCRName\":\"IMAGING SCIENCE & PHOTOGRAPHIC TECHNOLOGY\",\"Score\":null,\"Total\":0}","platform":"Semanticscholar","paperid":null,"PeriodicalName":"Journal of Imaging","FirstCategoryId":"1085","ListUrlMain":"https://doi.org/10.3390/jimaging11080271","RegionNum":0,"RegionCategory":null,"ArticlePicture":[],"TitleCN":null,"AbstractTextCN":null,"PMCID":null,"EPubDate":"","PubModel":"","JCR":"Q3","JCRName":"IMAGING SCIENCE & PHOTOGRAPHIC TECHNOLOGY","Score":null,"Total":0}
引用次数: 0

摘要

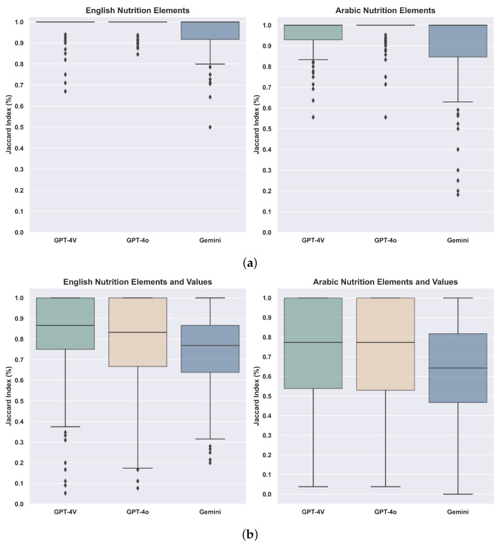
食品标签是重要的信息来源,提供营养成分、成分和健康影响的详细信息。这些标签使食品和药物管理局(FDA)能够确保合规性,并采取必要的健康相关和物流行动。此外,产品标签对于在线杂货店提供可靠的营养成分和授权客户做出明智的饮食决定至关重要。不幸的是,产品标签通常以图像格式提供,要求组织和在线商店手动转录它们-这一过程不仅耗时,而且极易发生人为错误,特别是使用多语言标签时,这增加了任务的复杂性。我们的研究探讨了利用大语言模型(llm)从多语言食品标签中提取营养元素和价值的挑战和有效性,特别关注阿拉伯语和英语。我们使用人工整理的294个食品标签数据集进行了全面的实证分析,其中包括588个转录的营养元素和两种语言的价值,作为评估的基础事实。研究结果表明,虽然llm在提取英语元素和值方面比阿拉伯语表现更好,但我们的后处理技术显著提高了它们的准确性,其中gpt - 40的表现优于GPT-4V和Gemini。
本文章由计算机程序翻译,如有差异,请以英文原文为准。

Extract Nutritional Information from Bilingual Food Labels Using Large Language Models.

Extract Nutritional Information from Bilingual Food Labels Using Large Language Models.

Extract Nutritional Information from Bilingual Food Labels Using Large Language Models.

Extract Nutritional Information from Bilingual Food Labels Using Large Language Models.

Food product labels serve as a critical source of information, providing details about nutritional content, ingredients, and health implications. These labels enable Food and Drug Authorities (FDA) to ensure compliance and take necessary health-related and logistics actions. Additionally, product labels are essential for online grocery stores to offer reliable nutrition facts and empower customers to make informed dietary decisions. Unfortunately, product labels are typically available in image formats, requiring organizations and online stores to manually transcribe them-a process that is not only time-consuming but also highly prone to human error, especially with multilingual labels that add complexity to the task. Our study investigates the challenges and effectiveness of leveraging large language models (LLMs) to extract nutritional elements and values from multilingual food product labels, with a specific focus on Arabic and English. A comprehensive empirical analysis was conducted using a manually curated dataset of 294 food product labels, comprising 588 transcribed nutritional elements and values in both languages, which served as the ground truth for evaluation. The findings reveal that while LLMs performed better in extracting English elements and values compared to Arabic, our post-processing techniques significantly enhanced their accuracy, with GPT-4o outperforming GPT-4V and Gemini.

求助全文
通过发布文献求助,成功后即可免费获取论文全文。 去求助
来源期刊
Journal of Imaging
Journal of Imaging Medicine-Radiology, Nuclear Medicine and Imaging
CiteScore
5.90
自引率
6.20%
发文量
303
审稿时长
7 weeks
×
引用
GB/T 7714-2015
复制
MLA
复制
APA
复制
导出至
BibTeX EndNote RefMan NoteFirst NoteExpress
×
提示
您的信息不完整,为了账户安全,请先补充。
现在去补充
×
提示
您因"违规操作"
具体请查看互助需知
我知道了
×
提示
确定
请完成安全验证×
copy
已复制链接
快去分享给好友吧!
我知道了
右上角分享
点击右上角分享
0
联系我们:info@booksci.cn Book学术提供免费学术资源搜索服务,方便国内外学者检索中英文文献。致力于提供最便捷和优质的服务体验。 Copyright © 2023 布克学术 All rights reserved.
京ICP备2023020795号-1
ghs 京公网安备 11010802042870号
Book学术文献互助
Book学术文献互助群
群 号:604180095
Book学术官方微信