12个牛津膝关节评分问题中的6个问题的改善与膝关节置换术后患者满意度独立相关。

IF 3.1 Q1 ORTHOPEDICS
Eliott Sophie Martinson, Nick D Clement, Gillian Leitch, Chloe E H Scott
{"title":"12个牛津膝关节评分问题中的6个问题的改善与膝关节置换术后患者满意度独立相关。","authors":"Eliott Sophie Martinson, Nick D Clement, Gillian Leitch, Chloe E H Scott","doi":"10.1302/2633-1462.68.BJO-2025-0105.R1","DOIUrl":null,"url":null,"abstract":"<p><strong>Aims: </strong>The Oxford Knee Score (OKS) is an established and validated outcome measure of knee arthroplasty (KA), but it is not clear how responses to each of the 12 questions relate to satisfaction. The aim was to assess which of 12 OKS questions were associated with patient satisfaction after KA.</p><p><strong>Methods: </strong>This single-centre retrospective cohort study was conducted over an eight-year period from January 2014 to December 2021. A total of 3,361 patients completed preoperative and six months postoperative OKS. The mean age was 69.9 years (34 to 94, SD 9.3), and 1,792 were female (55.0%). Patient satisfaction with their KA was assessed at six months, which was categorized into satisfied (satisfied, very satisfied) and dissatisfied (neutral, dissatisfied, very dissatisfied).</p><p><strong>Results: </strong>All 12 questions demonstrated significant improvements postoperatively (p < 0.001), with moderate (q2/3/7) to large (q1/4/5/6/8/9/10/11/12) effect sizes. There were 2,704 patients (82.9%) who were satisfied with their KA at six months. Satisfied patients had significantly greater improvements (p < 0.001) in each of the OKS questions, with the greatest differences found in questions 6 (limping; mean difference (MD) 1.41 (95% CI 1.29 to 1.53)) and 1 (pain; MD 1.32 (95% CI 1.22 to 1.42)). Preoperative responses to each of the OKS questions demonstrated poor discriminatory ability to predict patient satisfaction (area under the curve < 0.70). Improvement in questions 1 (pain; odds ratio (OR) 1.72 (95% CI 1.51 to 1.96), p < 0.001), 6 (limping; OR 1.28 (95% CI 1.16 to 1.41), p < 0.001), 7 (kneeling; OR 1.20 (95% CI 1.06 to 1.35), p = 0.003), 8 (night pain; OR 1.11 (95% CI 1.01 to 1.23), p = 0.038), 9 (working; OR 1.21 (95% CI 1.05 to 1.39), p = 0.015), and 12 (stairs; OR 1.42 (95% CI 1.25 to 1.63), p < 0.001) were independently associated with satisfaction.</p><p><strong>Conclusion: </strong>Improvements in six of the 12 OKS questions were independently associated with patient satisfaction; these could be prioritized as areas to be addressed following KA, and modification of related patient expectations may improve satisfaction with surgery.</p>","PeriodicalId":34103,"journal":{"name":"Bone & Joint Open","volume":"6 8","pages":"983-990"},"PeriodicalIF":3.1000,"publicationDate":"2025-08-21","publicationTypes":"Journal Article","fieldsOfStudy":null,"isOpenAccess":false,"openAccessPdf":"https://www.ncbi.nlm.nih.gov/pmc/articles/PMC12368461/pdf/","citationCount":"0","resultStr":"{\"title\":\"Improvement in six of the 12 Oxford Knee Score questions is independently associated with patient satisfaction following knee arthroplasty.\",\"authors\":\"Eliott Sophie Martinson, Nick D Clement, Gillian Leitch, Chloe E H Scott\",\"doi\":\"10.1302/2633-1462.68.BJO-2025-0105.R1\",\"DOIUrl\":null,\"url\":null,\"abstract\":\"<p><strong>Aims: </strong>The Oxford Knee Score (OKS) is an established and validated outcome measure of knee arthroplasty (KA), but it is not clear how responses to each of the 12 questions relate to satisfaction. The aim was to assess which of 12 OKS questions were associated with patient satisfaction after KA.</p><p><strong>Methods: </strong>This single-centre retrospective cohort study was conducted over an eight-year period from January 2014 to December 2021. A total of 3,361 patients completed preoperative and six months postoperative OKS. The mean age was 69.9 years (34 to 94, SD 9.3), and 1,792 were female (55.0%). Patient satisfaction with their KA was assessed at six months, which was categorized into satisfied (satisfied, very satisfied) and dissatisfied (neutral, dissatisfied, very dissatisfied).</p><p><strong>Results: </strong>All 12 questions demonstrated significant improvements postoperatively (p < 0.001), with moderate (q2/3/7) to large (q1/4/5/6/8/9/10/11/12) effect sizes. There were 2,704 patients (82.9%) who were satisfied with their KA at six months. Satisfied patients had significantly greater improvements (p < 0.001) in each of the OKS questions, with the greatest differences found in questions 6 (limping; mean difference (MD) 1.41 (95% CI 1.29 to 1.53)) and 1 (pain; MD 1.32 (95% CI 1.22 to 1.42)). Preoperative responses to each of the OKS questions demonstrated poor discriminatory ability to predict patient satisfaction (area under the curve < 0.70). Improvement in questions 1 (pain; odds ratio (OR) 1.72 (95% CI 1.51 to 1.96), p < 0.001), 6 (limping; OR 1.28 (95% CI 1.16 to 1.41), p < 0.001), 7 (kneeling; OR 1.20 (95% CI 1.06 to 1.35), p = 0.003), 8 (night pain; OR 1.11 (95% CI 1.01 to 1.23), p = 0.038), 9 (working; OR 1.21 (95% CI 1.05 to 1.39), p = 0.015), and 12 (stairs; OR 1.42 (95% CI 1.25 to 1.63), p < 0.001) were independently associated with satisfaction.</p><p><strong>Conclusion: </strong>Improvements in six of the 12 OKS questions were independently associated with patient satisfaction; these could be prioritized as areas to be addressed following KA, and modification of related patient expectations may improve satisfaction with surgery.</p>\",\"PeriodicalId\":34103,\"journal\":{\"name\":\"Bone & Joint Open\",\"volume\":\"6 8\",\"pages\":\"983-990\"},\"PeriodicalIF\":3.1000,\"publicationDate\":\"2025-08-21\",\"publicationTypes\":\"Journal Article\",\"fieldsOfStudy\":null,\"isOpenAccess\":false,\"openAccessPdf\":\"https://www.ncbi.nlm.nih.gov/pmc/articles/PMC12368461/pdf/\",\"citationCount\":\"0\",\"resultStr\":null,\"platform\":\"Semanticscholar\",\"paperid\":null,\"PeriodicalName\":\"Bone & Joint Open\",\"FirstCategoryId\":\"1085\",\"ListUrlMain\":\"https://doi.org/10.1302/2633-1462.68.BJO-2025-0105.R1\",\"RegionNum\":0,\"RegionCategory\":null,\"ArticlePicture\":[],\"TitleCN\":null,\"AbstractTextCN\":null,\"PMCID\":null,\"EPubDate\":\"\",\"PubModel\":\"\",\"JCR\":\"Q1\",\"JCRName\":\"ORTHOPEDICS\",\"Score\":null,\"Total\":0}","platform":"Semanticscholar","paperid":null,"PeriodicalName":"Bone & Joint Open","FirstCategoryId":"1085","ListUrlMain":"https://doi.org/10.1302/2633-1462.68.BJO-2025-0105.R1","RegionNum":0,"RegionCategory":null,"ArticlePicture":[],"TitleCN":null,"AbstractTextCN":null,"PMCID":null,"EPubDate":"","PubModel":"","JCR":"Q1","JCRName":"ORTHOPEDICS","Score":null,"Total":0}
引用次数: 0

摘要

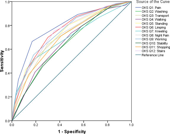
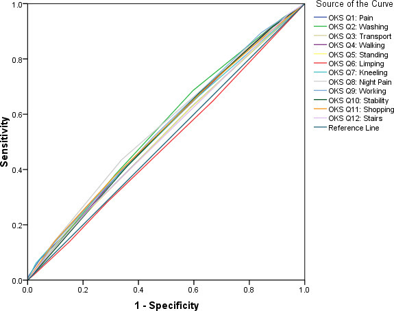
目的:牛津膝关节评分(OKS)是膝关节置换术(KA)的既定和有效的结果测量,但尚不清楚12个问题中的每个问题的回答与满意度之间的关系。目的是评估12个OKS问题中哪一个与KA后患者满意度相关。方法:该单中心回顾性队列研究于2014年1月至2021年12月进行,为期8年。共有3361名患者完成了术前和术后6个月的OKS。平均年龄69.9岁(34 ~ 94岁,SD 9.3),女性1792例(55.0%)。在六个月时评估患者对KA的满意度,分为满意(满意,非常满意)和不满意(一般,不满意,非常不满意)。结果:所有12个问题术后均有显著改善(p < 0.001),效应量从中等(q2/3/7)到较大(q2/ 4/5/6/8/9/10/11/12)。2704例患者(82.9%)在6个月时对KA满意。满意的患者在每个OKS问题上都有显著的改善(p < 0.001),其中问题6(跛行,平均差异(MD) 1.41 (95% CI 1.29至1.53))和问题1(疼痛,MD 1.32 (95% CI 1.22至1.42))差异最大。术前对每个OKS问题的回答表明,预测患者满意度的区分能力较差(曲线下面积< 0.70)。改善问题1(疼痛;比值比(或)1.72 (95% CI 1.51 - 1.96), p < 0.001), 6(一瘸一拐,或1.28 (95% CI 1.16 - 1.41), p < 0.001), 7(跪,或1.20 (95% CI 1.06 - 1.35), p = 0.003), 8(晚上疼痛,或1.11 (95% CI 1.01 - 1.23), p = 0.038), 9(工作;或1.21 (95% CI 1.05 - 1.39), p = 0.015), 12(楼梯,或1.42 (95% CI 1.25 - 1.63), p < 0.001)是独立与满意度有关。结论:12个OKS问题中的6个问题的改善与患者满意度独立相关;这些可以作为KA后优先处理的领域,并且修改相关的患者期望可以提高手术满意度。
本文章由计算机程序翻译,如有差异,请以英文原文为准。

Improvement in six of the 12 Oxford Knee Score questions is independently associated with patient satisfaction following knee arthroplasty.

Improvement in six of the 12 Oxford Knee Score questions is independently associated with patient satisfaction following knee arthroplasty.

Improvement in six of the 12 Oxford Knee Score questions is independently associated with patient satisfaction following knee arthroplasty.

Aims: The Oxford Knee Score (OKS) is an established and validated outcome measure of knee arthroplasty (KA), but it is not clear how responses to each of the 12 questions relate to satisfaction. The aim was to assess which of 12 OKS questions were associated with patient satisfaction after KA.

Methods: This single-centre retrospective cohort study was conducted over an eight-year period from January 2014 to December 2021. A total of 3,361 patients completed preoperative and six months postoperative OKS. The mean age was 69.9 years (34 to 94, SD 9.3), and 1,792 were female (55.0%). Patient satisfaction with their KA was assessed at six months, which was categorized into satisfied (satisfied, very satisfied) and dissatisfied (neutral, dissatisfied, very dissatisfied).

Results: All 12 questions demonstrated significant improvements postoperatively (p < 0.001), with moderate (q2/3/7) to large (q1/4/5/6/8/9/10/11/12) effect sizes. There were 2,704 patients (82.9%) who were satisfied with their KA at six months. Satisfied patients had significantly greater improvements (p < 0.001) in each of the OKS questions, with the greatest differences found in questions 6 (limping; mean difference (MD) 1.41 (95% CI 1.29 to 1.53)) and 1 (pain; MD 1.32 (95% CI 1.22 to 1.42)). Preoperative responses to each of the OKS questions demonstrated poor discriminatory ability to predict patient satisfaction (area under the curve < 0.70). Improvement in questions 1 (pain; odds ratio (OR) 1.72 (95% CI 1.51 to 1.96), p < 0.001), 6 (limping; OR 1.28 (95% CI 1.16 to 1.41), p < 0.001), 7 (kneeling; OR 1.20 (95% CI 1.06 to 1.35), p = 0.003), 8 (night pain; OR 1.11 (95% CI 1.01 to 1.23), p = 0.038), 9 (working; OR 1.21 (95% CI 1.05 to 1.39), p = 0.015), and 12 (stairs; OR 1.42 (95% CI 1.25 to 1.63), p < 0.001) were independently associated with satisfaction.

Conclusion: Improvements in six of the 12 OKS questions were independently associated with patient satisfaction; these could be prioritized as areas to be addressed following KA, and modification of related patient expectations may improve satisfaction with surgery.

求助全文
通过发布文献求助,成功后即可免费获取论文全文。 去求助
来源期刊
Bone & Joint Open
Bone & Joint Open ORTHOPEDICS-
CiteScore
5.10
自引率
0.00%
发文量
0
审稿时长
8 weeks
×
引用
GB/T 7714-2015
复制
MLA
复制
APA
复制
导出至
BibTeX EndNote RefMan NoteFirst NoteExpress
×
提示
您的信息不完整,为了账户安全,请先补充。
现在去补充
×
提示
您因"违规操作"
具体请查看互助需知
我知道了
×
提示
确定
请完成安全验证×
copy
已复制链接
快去分享给好友吧!
我知道了
右上角分享
点击右上角分享
0
联系我们:info@booksci.cn Book学术提供免费学术资源搜索服务,方便国内外学者检索中英文文献。致力于提供最便捷和优质的服务体验。 Copyright © 2023 布克学术 All rights reserved.
京ICP备2023020795号-1
ghs 京公网安备 11010802042870号
Book学术文献互助
Book学术文献互助群
群 号:604180095
Book学术官方微信