阿达木单抗焦点:评估基耶三级转诊中心非感染性葡萄膜炎的有效性和安全性。

Q3 Medicine
Berru Yargı Özkoçak, Çiğdem Altan, Burcu Kemer Atik, Berna Başarır
{"title":"阿达木单抗焦点:评估<s:1>基耶三级转诊中心非感染性葡萄膜炎的有效性和安全性。","authors":"Berru Yargı Özkoçak, Çiğdem Altan, Burcu Kemer Atik, Berna Başarır","doi":"10.4274/tjo.galenos.2025.67513","DOIUrl":null,"url":null,"abstract":"<p><strong>Objectives: </strong>To evaluate the indications, efficacy, and safety of adalimumab (ADA) in treating active non-infectious uveitis (NIU) in the Turkish population in a real-world setting.</p><p><strong>Materials and methods: </strong>This retrospective observational study included patients diagnosed with NIU treated with ADA on-label. The study assessed the impact of ADA treatment on best corrected visual acuity (BCVA), number of immunosuppressive therapies (IST), immunosuppressive drug load, and the frequency of required local treatment. BCVA was monitored at baseline and subsequent months to determine the onset of functional efficiency of ADA treatment.</p><p><strong>Results: </strong>A total of 289 eyes of 146 patients (60 females, 86 males) diagnosed with NIU and treated according to the ADA protocol were included in the study. The mean age was 37.6±14.4 years (range, 4-73) and the median follow-up was 30 months (interquartile range, 18-57). The most common indication for ADA was panuveitis, with a diagnosis of Behçet's uveitis. The use of ADA reduced the number of IST, immunosuppressive drug load, and need for local treatment (p<0.001, 0.002, and <0.001, respectively). Corticosteroids could be discontinued in all but one patient. Following ADA, a significant improvement in BCVA was observed from the first month (p<0.001 for baseline vs. month 1) and stabilization occurred after the sixth month (p=0.751 for month 6 vs. 12). Side effects were reported by 55.2% of patients during IST, while only 8 patients (5.5%) experienced ADA-related side effects. At the end of the follow-up period, 8.9% of patients switched to a weekly dosing schedule. Patients who switched to a weekly regimen required more local treatment before and after ADA treatment (p=0.02 and 0.001, respectively), and the number of concomitant IST and drug load were higher during standard-dose ADA use (p<0.001 and p=0.025, respectively).</p><p><strong>Conclusion: </strong>This study, the largest single-center investigation in Türkiye, reveals ADA to be a safe option with functional benefits across diverse indications and age ranges. Notably, ADA minimizes reliance on additional therapies.</p>","PeriodicalId":23373,"journal":{"name":"Turkish Journal of Ophthalmology","volume":"55 4","pages":"207-214"},"PeriodicalIF":0.0000,"publicationDate":"2025-08-21","publicationTypes":"Journal Article","fieldsOfStudy":null,"isOpenAccess":false,"openAccessPdf":"https://www.ncbi.nlm.nih.gov/pmc/articles/PMC12372541/pdf/","citationCount":"0","resultStr":"{\"title\":\"Adalimumab in Focus: Evaluating Effectiveness and Safety in Non-Infectious Uveitis at a Tertiary Referral Center in Türkiye.\",\"authors\":\"Berru Yargı Özkoçak, Çiğdem Altan, Burcu Kemer Atik, Berna Başarır\",\"doi\":\"10.4274/tjo.galenos.2025.67513\",\"DOIUrl\":null,\"url\":null,\"abstract\":\"<p><strong>Objectives: </strong>To evaluate the indications, efficacy, and safety of adalimumab (ADA) in treating active non-infectious uveitis (NIU) in the Turkish population in a real-world setting.</p><p><strong>Materials and methods: </strong>This retrospective observational study included patients diagnosed with NIU treated with ADA on-label. The study assessed the impact of ADA treatment on best corrected visual acuity (BCVA), number of immunosuppressive therapies (IST), immunosuppressive drug load, and the frequency of required local treatment. BCVA was monitored at baseline and subsequent months to determine the onset of functional efficiency of ADA treatment.</p><p><strong>Results: </strong>A total of 289 eyes of 146 patients (60 females, 86 males) diagnosed with NIU and treated according to the ADA protocol were included in the study. The mean age was 37.6±14.4 years (range, 4-73) and the median follow-up was 30 months (interquartile range, 18-57). The most common indication for ADA was panuveitis, with a diagnosis of Behçet's uveitis. The use of ADA reduced the number of IST, immunosuppressive drug load, and need for local treatment (p<0.001, 0.002, and <0.001, respectively). Corticosteroids could be discontinued in all but one patient. Following ADA, a significant improvement in BCVA was observed from the first month (p<0.001 for baseline vs. month 1) and stabilization occurred after the sixth month (p=0.751 for month 6 vs. 12). Side effects were reported by 55.2% of patients during IST, while only 8 patients (5.5%) experienced ADA-related side effects. At the end of the follow-up period, 8.9% of patients switched to a weekly dosing schedule. Patients who switched to a weekly regimen required more local treatment before and after ADA treatment (p=0.02 and 0.001, respectively), and the number of concomitant IST and drug load were higher during standard-dose ADA use (p<0.001 and p=0.025, respectively).</p><p><strong>Conclusion: </strong>This study, the largest single-center investigation in Türkiye, reveals ADA to be a safe option with functional benefits across diverse indications and age ranges. Notably, ADA minimizes reliance on additional therapies.</p>\",\"PeriodicalId\":23373,\"journal\":{\"name\":\"Turkish Journal of Ophthalmology\",\"volume\":\"55 4\",\"pages\":\"207-214\"},\"PeriodicalIF\":0.0000,\"publicationDate\":\"2025-08-21\",\"publicationTypes\":\"Journal Article\",\"fieldsOfStudy\":null,\"isOpenAccess\":false,\"openAccessPdf\":\"https://www.ncbi.nlm.nih.gov/pmc/articles/PMC12372541/pdf/\",\"citationCount\":\"0\",\"resultStr\":null,\"platform\":\"Semanticscholar\",\"paperid\":null,\"PeriodicalName\":\"Turkish Journal of Ophthalmology\",\"FirstCategoryId\":\"1085\",\"ListUrlMain\":\"https://doi.org/10.4274/tjo.galenos.2025.67513\",\"RegionNum\":0,\"RegionCategory\":null,\"ArticlePicture\":[],\"TitleCN\":null,\"AbstractTextCN\":null,\"PMCID\":null,\"EPubDate\":\"\",\"PubModel\":\"\",\"JCR\":\"Q3\",\"JCRName\":\"Medicine\",\"Score\":null,\"Total\":0}","platform":"Semanticscholar","paperid":null,"PeriodicalName":"Turkish Journal of Ophthalmology","FirstCategoryId":"1085","ListUrlMain":"https://doi.org/10.4274/tjo.galenos.2025.67513","RegionNum":0,"RegionCategory":null,"ArticlePicture":[],"TitleCN":null,"AbstractTextCN":null,"PMCID":null,"EPubDate":"","PubModel":"","JCR":"Q3","JCRName":"Medicine","Score":null,"Total":0}
引用次数: 0

摘要

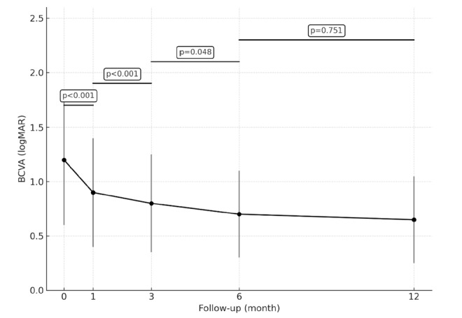
目的:在现实世界中评估阿达木单抗(ADA)治疗土耳其人群活动性非感染性葡萄膜炎(NIU)的适应症、疗效和安全性。材料和方法:本回顾性观察性研究纳入诊断为NIU的患者,并在标签上使用ADA治疗。该研究评估了ADA治疗对最佳矫正视力(BCVA)、免疫抑制疗法(IST)数量、免疫抑制药物负荷和所需局部治疗频率的影响。在基线和随后的几个月监测BCVA,以确定ADA治疗的功能效率。结果:146例确诊为NIU并按ADA方案治疗的患者289只眼(女性60只,男性86只)纳入研究。平均年龄37.6±14.4岁(范围4 ~ 73岁),中位随访时间30个月(四分位数间距18 ~ 57岁)。ADA最常见的适应症是全葡萄膜炎,诊断为behaperet葡萄膜炎。ADA的使用减少了IST的数量,减少了免疫抑制药物的负荷,减少了局部治疗的需要(结论:这项研究是 rkiye中最大的单中心研究,表明ADA是一种安全的选择,在不同的适应症和年龄范围内具有功能益处。值得注意的是,ADA最大限度地减少了对额外治疗的依赖。
本文章由计算机程序翻译,如有差异,请以英文原文为准。

Adalimumab in Focus: Evaluating Effectiveness and Safety in Non-Infectious Uveitis at a Tertiary Referral Center in Türkiye.

Adalimumab in Focus: Evaluating Effectiveness and Safety in Non-Infectious Uveitis at a Tertiary Referral Center in Türkiye.

Adalimumab in Focus: Evaluating Effectiveness and Safety in Non-Infectious Uveitis at a Tertiary Referral Center in Türkiye.

Objectives: To evaluate the indications, efficacy, and safety of adalimumab (ADA) in treating active non-infectious uveitis (NIU) in the Turkish population in a real-world setting.

Materials and methods: This retrospective observational study included patients diagnosed with NIU treated with ADA on-label. The study assessed the impact of ADA treatment on best corrected visual acuity (BCVA), number of immunosuppressive therapies (IST), immunosuppressive drug load, and the frequency of required local treatment. BCVA was monitored at baseline and subsequent months to determine the onset of functional efficiency of ADA treatment.

Results: A total of 289 eyes of 146 patients (60 females, 86 males) diagnosed with NIU and treated according to the ADA protocol were included in the study. The mean age was 37.6±14.4 years (range, 4-73) and the median follow-up was 30 months (interquartile range, 18-57). The most common indication for ADA was panuveitis, with a diagnosis of Behçet's uveitis. The use of ADA reduced the number of IST, immunosuppressive drug load, and need for local treatment (p<0.001, 0.002, and <0.001, respectively). Corticosteroids could be discontinued in all but one patient. Following ADA, a significant improvement in BCVA was observed from the first month (p<0.001 for baseline vs. month 1) and stabilization occurred after the sixth month (p=0.751 for month 6 vs. 12). Side effects were reported by 55.2% of patients during IST, while only 8 patients (5.5%) experienced ADA-related side effects. At the end of the follow-up period, 8.9% of patients switched to a weekly dosing schedule. Patients who switched to a weekly regimen required more local treatment before and after ADA treatment (p=0.02 and 0.001, respectively), and the number of concomitant IST and drug load were higher during standard-dose ADA use (p<0.001 and p=0.025, respectively).

Conclusion: This study, the largest single-center investigation in Türkiye, reveals ADA to be a safe option with functional benefits across diverse indications and age ranges. Notably, ADA minimizes reliance on additional therapies.

求助全文
通过发布文献求助,成功后即可免费获取论文全文。 去求助
来源期刊
Turkish Journal of Ophthalmology
Turkish Journal of Ophthalmology Medicine-Ophthalmology
CiteScore
2.20
自引率
0.00%
发文量
0
期刊介绍: The Turkish Journal of Ophthalmology (TJO) is the only scientific periodical publication of the Turkish Ophthalmological Association and has been published since January 1929. In its early years, the journal was published in Turkish and French. Although there were temporary interruptions in the publication of the journal due to various challenges, the Turkish Journal of Ophthalmology has been published continually from 1971 to the present. The target audience includes specialists and physicians in training in ophthalmology in all relevant disciplines.
×
引用
GB/T 7714-2015
复制
MLA
复制
APA
复制
导出至
BibTeX EndNote RefMan NoteFirst NoteExpress
×
提示
您的信息不完整,为了账户安全,请先补充。
现在去补充
×
提示
您因"违规操作"
具体请查看互助需知
我知道了
×
提示
确定
请完成安全验证×
copy
已复制链接
快去分享给好友吧!
我知道了
右上角分享
点击右上角分享
0
联系我们:info@booksci.cn Book学术提供免费学术资源搜索服务,方便国内外学者检索中英文文献。致力于提供最便捷和优质的服务体验。 Copyright © 2023 布克学术 All rights reserved.
京ICP备2023020795号-1
ghs 京公网安备 11010802042870号
Book学术文献互助
Book学术文献互助群
群 号:604180095
Book学术官方微信