结合心理健康和气候智能型农业干预措施,改善人道主义环境下的粮食安全:对乌干达Nakivale难民营母亲进行THRIVE集群随机对照试验的研究方案。

IF 2 4区 医学 Q3 MEDICINE, RESEARCH & EXPERIMENTAL
Trials Pub Date : 2025-09-01 DOI:10.1186/s13063-025-09042-y
Jonathan Hall, Herbert E Ainamani, Phaidon T B Vassiliou, Stefan Döring, Gustaf Gredebäck, Kirsi Peltonen, Florian Scharpf, Umay Sen, Matthias Sutter, James I Walsh, Tobias Hecker
{"title":"结合心理健康和气候智能型农业干预措施,改善人道主义环境下的粮食安全:对乌干达Nakivale难民营母亲进行THRIVE集群随机对照试验的研究方案。","authors":"Jonathan Hall, Herbert E Ainamani, Phaidon T B Vassiliou, Stefan Döring, Gustaf Gredebäck, Kirsi Peltonen, Florian Scharpf, Umay Sen, Matthias Sutter, James I Walsh, Tobias Hecker","doi":"10.1186/s13063-025-09042-y","DOIUrl":null,"url":null,"abstract":"<p><strong>Background: </strong>Climate extremes in Africa threaten the food security of war-affected refugees, who often experience mental health challenges that hinder their capacity for agricultural adaptation. Cost-effective, climate-smart farming interventions are crucial for addressing food insecurity in humanitarian contexts, yet evidence on their effectiveness is limited, and the potential benefits of integrating them with mental health interventions remain unexplored. We hypothesize that the success of agricultural interventions, especially under adversity, is influenced by mental health and psychological functioning.</p><p><strong>Methods: </strong>This study employs a three-arm, parallel-group, cluster-randomized controlled trial (cRCT) in the Nakivale refugee settlement, Uganda. Thirty villages within the settlement will be randomized in a 1:1:1 allocation ratio to one of three conditions: Enhanced Usual Care, a Home Gardening Intervention (HGI) or HGI combined with the peer-delivered psychosocial intervention Self-Help Plus (SH + HGI). A total of 900 refugee mothers and their children (aged 3-4 years) will be enrolled, with 30 dyads per village. The primary outcome is food insecurity at 12 months post-intervention, assessed using the Food Insecurity Experience Scale (FIES). Secondary outcomes include dietary diversity, child malnutrition and mothers' psychological distress. Data will be collected at baseline, 3-month and 12-month follow-ups. Primary analyses will use an intention-to-treat (ITT) approach.</p><p><strong>Discussion: </strong>This study will shed light on the role of mental health in agricultural adaptation for food security, evaluating the efficacy of scalable, cost-effective interventions in a refugee setting. The findings will have implications for the design and implementation of integrated food security and mental health programs in humanitarian and other resource-constrained settings.</p><p><strong>Trial registration: </strong>ClinicalTrials.gov NCT06425523. Registered on 24 May 2024.</p>","PeriodicalId":23333,"journal":{"name":"Trials","volume":"26 1","pages":"331"},"PeriodicalIF":2.0000,"publicationDate":"2025-09-01","publicationTypes":"Journal Article","fieldsOfStudy":null,"isOpenAccess":false,"openAccessPdf":"https://www.ncbi.nlm.nih.gov/pmc/articles/PMC12403481/pdf/","citationCount":"0","resultStr":"{\"title\":\"Combining mental health and climate-smart agricultural interventions to improve food security in humanitarian settings: study protocol for the THRIVE cluster-randomized controlled trial with mothers in Nakivale refugee settlement, Uganda.\",\"authors\":\"Jonathan Hall, Herbert E Ainamani, Phaidon T B Vassiliou, Stefan Döring, Gustaf Gredebäck, Kirsi Peltonen, Florian Scharpf, Umay Sen, Matthias Sutter, James I Walsh, Tobias Hecker\",\"doi\":\"10.1186/s13063-025-09042-y\",\"DOIUrl\":null,\"url\":null,\"abstract\":\"<p><strong>Background: </strong>Climate extremes in Africa threaten the food security of war-affected refugees, who often experience mental health challenges that hinder their capacity for agricultural adaptation. Cost-effective, climate-smart farming interventions are crucial for addressing food insecurity in humanitarian contexts, yet evidence on their effectiveness is limited, and the potential benefits of integrating them with mental health interventions remain unexplored. We hypothesize that the success of agricultural interventions, especially under adversity, is influenced by mental health and psychological functioning.</p><p><strong>Methods: </strong>This study employs a three-arm, parallel-group, cluster-randomized controlled trial (cRCT) in the Nakivale refugee settlement, Uganda. Thirty villages within the settlement will be randomized in a 1:1:1 allocation ratio to one of three conditions: Enhanced Usual Care, a Home Gardening Intervention (HGI) or HGI combined with the peer-delivered psychosocial intervention Self-Help Plus (SH + HGI). A total of 900 refugee mothers and their children (aged 3-4 years) will be enrolled, with 30 dyads per village. The primary outcome is food insecurity at 12 months post-intervention, assessed using the Food Insecurity Experience Scale (FIES). Secondary outcomes include dietary diversity, child malnutrition and mothers' psychological distress. Data will be collected at baseline, 3-month and 12-month follow-ups. Primary analyses will use an intention-to-treat (ITT) approach.</p><p><strong>Discussion: </strong>This study will shed light on the role of mental health in agricultural adaptation for food security, evaluating the efficacy of scalable, cost-effective interventions in a refugee setting. The findings will have implications for the design and implementation of integrated food security and mental health programs in humanitarian and other resource-constrained settings.</p><p><strong>Trial registration: </strong>ClinicalTrials.gov NCT06425523. Registered on 24 May 2024.</p>\",\"PeriodicalId\":23333,\"journal\":{\"name\":\"Trials\",\"volume\":\"26 1\",\"pages\":\"331\"},\"PeriodicalIF\":2.0000,\"publicationDate\":\"2025-09-01\",\"publicationTypes\":\"Journal Article\",\"fieldsOfStudy\":null,\"isOpenAccess\":false,\"openAccessPdf\":\"https://www.ncbi.nlm.nih.gov/pmc/articles/PMC12403481/pdf/\",\"citationCount\":\"0\",\"resultStr\":null,\"platform\":\"Semanticscholar\",\"paperid\":null,\"PeriodicalName\":\"Trials\",\"FirstCategoryId\":\"3\",\"ListUrlMain\":\"https://doi.org/10.1186/s13063-025-09042-y\",\"RegionNum\":4,\"RegionCategory\":\"医学\",\"ArticlePicture\":[],\"TitleCN\":null,\"AbstractTextCN\":null,\"PMCID\":null,\"EPubDate\":\"\",\"PubModel\":\"\",\"JCR\":\"Q3\",\"JCRName\":\"MEDICINE, RESEARCH & EXPERIMENTAL\",\"Score\":null,\"Total\":0}","platform":"Semanticscholar","paperid":null,"PeriodicalName":"Trials","FirstCategoryId":"3","ListUrlMain":"https://doi.org/10.1186/s13063-025-09042-y","RegionNum":4,"RegionCategory":"医学","ArticlePicture":[],"TitleCN":null,"AbstractTextCN":null,"PMCID":null,"EPubDate":"","PubModel":"","JCR":"Q3","JCRName":"MEDICINE, RESEARCH & EXPERIMENTAL","Score":null,"Total":0}
引用次数: 0

摘要

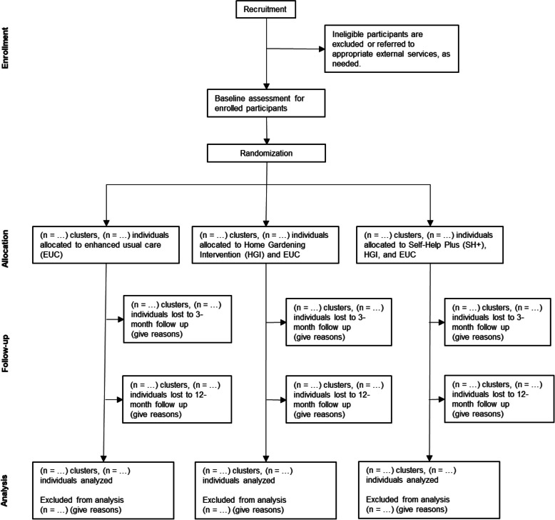
背景:非洲的极端气候威胁到受战争影响的难民的粮食安全,他们往往面临心理健康挑战,阻碍了他们适应农业的能力。具有成本效益的气候智能型农业干预措施对于解决人道主义背景下的粮食不安全问题至关重要,但有关其有效性的证据有限,将其与精神卫生干预措施相结合的潜在效益仍未得到探索。我们假设农业干预的成功,特别是在逆境下,受到心理健康和心理功能的影响。方法:本研究在乌干达Nakivale难民定居点采用三组平行组群随机对照试验(cRCT)。定居点内的30个村庄将按1:1:1的比例随机分配到以下三个条件之一:增强常规护理、家庭园艺干预(HGI)或HGI与同伴提供的心理社会干预自助+ (SH + HGI)相结合。总共将有900名难民母亲及其子女(3-4岁)参加,每个村庄30对。主要结果是干预后12个月的粮食不安全状况,使用粮食不安全体验量表(FIES)进行评估。次要结果包括饮食多样性、儿童营养不良和母亲心理困扰。将在基线、3个月和12个月随访时收集数据。初步分析将使用意向治疗(ITT)方法。讨论:这项研究将阐明心理健康在农业适应粮食安全中的作用,评估在难民环境中可扩展的、具有成本效益的干预措施的功效。研究结果将对在人道主义和其他资源有限的情况下设计和实施综合粮食安全和心理健康计划产生影响。试验注册:ClinicalTrials.gov NCT06425523。于2024年5月24日注册。
本文章由计算机程序翻译,如有差异,请以英文原文为准。

Combining mental health and climate-smart agricultural interventions to improve food security in humanitarian settings: study protocol for the THRIVE cluster-randomized controlled trial with mothers in Nakivale refugee settlement, Uganda.

Combining mental health and climate-smart agricultural interventions to improve food security in humanitarian settings: study protocol for the THRIVE cluster-randomized controlled trial with mothers in Nakivale refugee settlement, Uganda.

Combining mental health and climate-smart agricultural interventions to improve food security in humanitarian settings: study protocol for the THRIVE cluster-randomized controlled trial with mothers in Nakivale refugee settlement, Uganda.

Background: Climate extremes in Africa threaten the food security of war-affected refugees, who often experience mental health challenges that hinder their capacity for agricultural adaptation. Cost-effective, climate-smart farming interventions are crucial for addressing food insecurity in humanitarian contexts, yet evidence on their effectiveness is limited, and the potential benefits of integrating them with mental health interventions remain unexplored. We hypothesize that the success of agricultural interventions, especially under adversity, is influenced by mental health and psychological functioning.

Methods: This study employs a three-arm, parallel-group, cluster-randomized controlled trial (cRCT) in the Nakivale refugee settlement, Uganda. Thirty villages within the settlement will be randomized in a 1:1:1 allocation ratio to one of three conditions: Enhanced Usual Care, a Home Gardening Intervention (HGI) or HGI combined with the peer-delivered psychosocial intervention Self-Help Plus (SH + HGI). A total of 900 refugee mothers and their children (aged 3-4 years) will be enrolled, with 30 dyads per village. The primary outcome is food insecurity at 12 months post-intervention, assessed using the Food Insecurity Experience Scale (FIES). Secondary outcomes include dietary diversity, child malnutrition and mothers' psychological distress. Data will be collected at baseline, 3-month and 12-month follow-ups. Primary analyses will use an intention-to-treat (ITT) approach.

Discussion: This study will shed light on the role of mental health in agricultural adaptation for food security, evaluating the efficacy of scalable, cost-effective interventions in a refugee setting. The findings will have implications for the design and implementation of integrated food security and mental health programs in humanitarian and other resource-constrained settings.

Trial registration: ClinicalTrials.gov NCT06425523. Registered on 24 May 2024.

求助全文
通过发布文献求助,成功后即可免费获取论文全文。 去求助
来源期刊
Trials
Trials 医学-医学:研究与实验
CiteScore
3.80
自引率
4.00%
发文量
966
审稿时长
6 months
期刊介绍: Trials is an open access, peer-reviewed, online journal that will encompass all aspects of the performance and findings of randomized controlled trials. Trials will experiment with, and then refine, innovative approaches to improving communication about trials. We are keen to move beyond publishing traditional trial results articles (although these will be included). We believe this represents an exciting opportunity to advance the science and reporting of trials. Prior to 2006, Trials was published as Current Controlled Trials in Cardiovascular Medicine (CCTCVM). All published CCTCVM articles are available via the Trials website and citations to CCTCVM article URLs will continue to be supported.
×
引用
GB/T 7714-2015
复制
MLA
复制
APA
复制
导出至
BibTeX EndNote RefMan NoteFirst NoteExpress
×
提示
您的信息不完整,为了账户安全,请先补充。
现在去补充
×
提示
您因"违规操作"
具体请查看互助需知
我知道了
×
提示
确定
请完成安全验证×
copy
已复制链接
快去分享给好友吧!
我知道了
右上角分享
点击右上角分享
0
联系我们:info@booksci.cn Book学术提供免费学术资源搜索服务,方便国内外学者检索中英文文献。致力于提供最便捷和优质的服务体验。 Copyright © 2023 布克学术 All rights reserved.
京ICP备2023020795号-1
ghs 京公网安备 11010802042870号
Book学术文献互助
Book学术文献互助群
群 号:604180095
Book学术官方微信