糖尿病前期冠心病患者时间加权平均葡萄糖浓度或葡萄糖变异性与急性肾损伤的关系

IF 3 3区 医学 Q1 UROLOGY & NEPHROLOGY
Renal Failure Pub Date : 2025-12-01 Epub Date: 2025-09-03 DOI:10.1080/0886022X.2025.2549412
Jiaxin Ren, Ge Wang, Yizhe Zhou, Wei Gong, Hongjia Zhang, Yan Yan
{"title":"糖尿病前期冠心病患者时间加权平均葡萄糖浓度或葡萄糖变异性与急性肾损伤的关系","authors":"Jiaxin Ren, Ge Wang, Yizhe Zhou, Wei Gong, Hongjia Zhang, Yan Yan","doi":"10.1080/0886022X.2025.2549412","DOIUrl":null,"url":null,"abstract":"<p><strong>Aims: </strong>To validate the effectiveness of intensive glycemic control in preventing acute kidney injury (AKI) among patients with coronary artery disease (CAD) and prediabetes.</p><p><strong>Methods: </strong>This investigation employed data from the Prospective Registry of the Current Status of Care for Patients with CAD database. Glycemic control was evaluated using the time-weighted average glucose (TWAG) and the glucose coefficient of variation (CV) for each participant. The primary outcome was AKI occurrence.</p><p><strong>Results: </strong>A total of 2,454 CAD patients with prediabetes were included between January 2022 and June 2023. The mean age was 62.6 ± 10.3 years, with 27.1% female. In univariate analysis, each 1 mmol/L increase in TWAG was associated with a 1.51-fold (95% confidence interval (CI): 1.36-1.68) higher incidence of AKI. After stepwise adjustment for covariates, the odds ratio (OR) remained significant at 1.50 (95% CI: 1.35-1.67). Similarly, glucose CV showed a positive correlation with AKI risk; a 0.1-unit increase in CV was linked to approximately a 44% higher risk. When both TWAG and CV were included simultaneously in the model, each maintained an independent positive association with AKI. Restricted cubic spline analyses revealed a dose-dependent increase in AKI risk with rising TWAG and CV. Subgroup analyses confirmed the positive relationship between TWAG, glucose variability, and AKI risk.</p><p><strong>Conclusions: </strong>Our study reveals an association between TWAG or CV of glucose and AKI in individuals with both CAD and prediabetes. These findings highlight the potential value of continuous glucose monitoring and managing glycemic variability to reduce AKI risk in this population.</p>","PeriodicalId":20839,"journal":{"name":"Renal Failure","volume":"47 1","pages":"2549412"},"PeriodicalIF":3.0000,"publicationDate":"2025-12-01","publicationTypes":"Journal Article","fieldsOfStudy":null,"isOpenAccess":false,"openAccessPdf":"https://www.ncbi.nlm.nih.gov/pmc/articles/PMC12409916/pdf/","citationCount":"0","resultStr":"{\"title\":\"Association between time-weighted average glucose concentration or glucose variability and acute kidney injury among coronary artery disease patients with prediabetes.\",\"authors\":\"Jiaxin Ren, Ge Wang, Yizhe Zhou, Wei Gong, Hongjia Zhang, Yan Yan\",\"doi\":\"10.1080/0886022X.2025.2549412\",\"DOIUrl\":null,\"url\":null,\"abstract\":\"<p><strong>Aims: </strong>To validate the effectiveness of intensive glycemic control in preventing acute kidney injury (AKI) among patients with coronary artery disease (CAD) and prediabetes.</p><p><strong>Methods: </strong>This investigation employed data from the Prospective Registry of the Current Status of Care for Patients with CAD database. Glycemic control was evaluated using the time-weighted average glucose (TWAG) and the glucose coefficient of variation (CV) for each participant. The primary outcome was AKI occurrence.</p><p><strong>Results: </strong>A total of 2,454 CAD patients with prediabetes were included between January 2022 and June 2023. The mean age was 62.6 ± 10.3 years, with 27.1% female. In univariate analysis, each 1 mmol/L increase in TWAG was associated with a 1.51-fold (95% confidence interval (CI): 1.36-1.68) higher incidence of AKI. After stepwise adjustment for covariates, the odds ratio (OR) remained significant at 1.50 (95% CI: 1.35-1.67). Similarly, glucose CV showed a positive correlation with AKI risk; a 0.1-unit increase in CV was linked to approximately a 44% higher risk. When both TWAG and CV were included simultaneously in the model, each maintained an independent positive association with AKI. Restricted cubic spline analyses revealed a dose-dependent increase in AKI risk with rising TWAG and CV. Subgroup analyses confirmed the positive relationship between TWAG, glucose variability, and AKI risk.</p><p><strong>Conclusions: </strong>Our study reveals an association between TWAG or CV of glucose and AKI in individuals with both CAD and prediabetes. These findings highlight the potential value of continuous glucose monitoring and managing glycemic variability to reduce AKI risk in this population.</p>\",\"PeriodicalId\":20839,\"journal\":{\"name\":\"Renal Failure\",\"volume\":\"47 1\",\"pages\":\"2549412\"},\"PeriodicalIF\":3.0000,\"publicationDate\":\"2025-12-01\",\"publicationTypes\":\"Journal Article\",\"fieldsOfStudy\":null,\"isOpenAccess\":false,\"openAccessPdf\":\"https://www.ncbi.nlm.nih.gov/pmc/articles/PMC12409916/pdf/\",\"citationCount\":\"0\",\"resultStr\":null,\"platform\":\"Semanticscholar\",\"paperid\":null,\"PeriodicalName\":\"Renal Failure\",\"FirstCategoryId\":\"3\",\"ListUrlMain\":\"https://doi.org/10.1080/0886022X.2025.2549412\",\"RegionNum\":3,\"RegionCategory\":\"医学\",\"ArticlePicture\":[],\"TitleCN\":null,\"AbstractTextCN\":null,\"PMCID\":null,\"EPubDate\":\"2025/9/3 0:00:00\",\"PubModel\":\"Epub\",\"JCR\":\"Q1\",\"JCRName\":\"UROLOGY & NEPHROLOGY\",\"Score\":null,\"Total\":0}","platform":"Semanticscholar","paperid":null,"PeriodicalName":"Renal Failure","FirstCategoryId":"3","ListUrlMain":"https://doi.org/10.1080/0886022X.2025.2549412","RegionNum":3,"RegionCategory":"医学","ArticlePicture":[],"TitleCN":null,"AbstractTextCN":null,"PMCID":null,"EPubDate":"2025/9/3 0:00:00","PubModel":"Epub","JCR":"Q1","JCRName":"UROLOGY & NEPHROLOGY","Score":null,"Total":0}
引用次数: 0

摘要

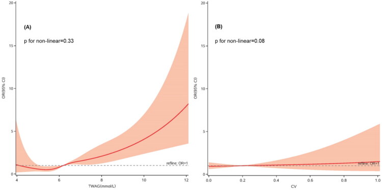
目的:验证强化血糖控制在预防冠心病(CAD)合并前驱糖尿病患者急性肾损伤(AKI)中的有效性。方法:本研究采用来自CAD患者护理现状前瞻性登记数据库的数据。使用时间加权平均血糖(TWAG)和葡萄糖变异系数(CV)对每个参与者的血糖控制进行评估。主要结局是AKI的发生。结果:在2022年1月至2023年6月期间,共纳入2454例伴有前驱糖尿病的CAD患者。平均年龄62.6±10.3岁,女性占27.1%。在单因素分析中,TWAG每增加1 mmol/L, AKI发病率增加1.51倍(95%可信区间(CI): 1.36-1.68)。协变量逐步调整后,优势比(OR)仍然显著,为1.50 (95% CI: 1.35-1.67)。同样,葡萄糖CV与AKI风险呈正相关;CV每增加0.1个单位,风险增加约44%。当TWAG和CV同时被纳入模型时,它们各自与AKI保持独立的正相关。限制性三次样条分析显示,随着TWAG和CV的升高,AKI风险呈剂量依赖性增加。亚组分析证实TWAG、血糖变异性和AKI风险呈正相关。结论:我们的研究揭示了冠心病和前驱糖尿病患者的TWAG或CV与AKI之间的关联。这些发现强调了持续血糖监测和控制血糖变异性对降低该人群AKI风险的潜在价值。
本文章由计算机程序翻译,如有差异,请以英文原文为准。

Association between time-weighted average glucose concentration or glucose variability and acute kidney injury among coronary artery disease patients with prediabetes.

Association between time-weighted average glucose concentration or glucose variability and acute kidney injury among coronary artery disease patients with prediabetes.

Association between time-weighted average glucose concentration or glucose variability and acute kidney injury among coronary artery disease patients with prediabetes.

Aims: To validate the effectiveness of intensive glycemic control in preventing acute kidney injury (AKI) among patients with coronary artery disease (CAD) and prediabetes.

Methods: This investigation employed data from the Prospective Registry of the Current Status of Care for Patients with CAD database. Glycemic control was evaluated using the time-weighted average glucose (TWAG) and the glucose coefficient of variation (CV) for each participant. The primary outcome was AKI occurrence.

Results: A total of 2,454 CAD patients with prediabetes were included between January 2022 and June 2023. The mean age was 62.6 ± 10.3 years, with 27.1% female. In univariate analysis, each 1 mmol/L increase in TWAG was associated with a 1.51-fold (95% confidence interval (CI): 1.36-1.68) higher incidence of AKI. After stepwise adjustment for covariates, the odds ratio (OR) remained significant at 1.50 (95% CI: 1.35-1.67). Similarly, glucose CV showed a positive correlation with AKI risk; a 0.1-unit increase in CV was linked to approximately a 44% higher risk. When both TWAG and CV were included simultaneously in the model, each maintained an independent positive association with AKI. Restricted cubic spline analyses revealed a dose-dependent increase in AKI risk with rising TWAG and CV. Subgroup analyses confirmed the positive relationship between TWAG, glucose variability, and AKI risk.

Conclusions: Our study reveals an association between TWAG or CV of glucose and AKI in individuals with both CAD and prediabetes. These findings highlight the potential value of continuous glucose monitoring and managing glycemic variability to reduce AKI risk in this population.

求助全文
通过发布文献求助,成功后即可免费获取论文全文。 去求助
来源期刊
Renal Failure
Renal Failure 医学-泌尿学与肾脏学
CiteScore
3.90
自引率
13.30%
发文量
374
审稿时长
1 months
期刊介绍: Renal Failure primarily concentrates on acute renal injury and its consequence, but also addresses advances in the fields of chronic renal failure, hypertension, and renal transplantation. Bringing together both clinical and experimental aspects of renal failure, this publication presents timely, practical information on pathology and pathophysiology of acute renal failure; nephrotoxicity of drugs and other substances; prevention, treatment, and therapy of renal failure; renal failure in association with transplantation, hypertension, and diabetes mellitus.
×
引用
GB/T 7714-2015
复制
MLA
复制
APA
复制
导出至
BibTeX EndNote RefMan NoteFirst NoteExpress
×
提示
您的信息不完整,为了账户安全,请先补充。
现在去补充
×
提示
您因"违规操作"
具体请查看互助需知
我知道了
×
提示
确定
请完成安全验证×
copy
已复制链接
快去分享给好友吧!
我知道了
右上角分享
点击右上角分享
0
联系我们:info@booksci.cn Book学术提供免费学术资源搜索服务,方便国内外学者检索中英文文献。致力于提供最便捷和优质的服务体验。 Copyright © 2023 布克学术 All rights reserved.
京ICP备2023020795号-1
ghs 京公网安备 11010802042870号
Book学术文献互助
Book学术文献互助群
群 号:604180095
Book学术官方微信