血压与胸腹主动脉瘤事件风险的关联分析:英国生物银行队列的一项观察性研究。

IF 2.8 Q2 CARDIAC & CARDIOVASCULAR SYSTEMS
Ke Lu, Xiaofei Liu, Yuan Wang, Xun Tang, Pei Gao
{"title":"血压与胸腹主动脉瘤事件风险的关联分析:英国生物银行队列的一项观察性研究。","authors":"Ke Lu, Xiaofei Liu, Yuan Wang, Xun Tang, Pei Gao","doi":"10.1136/openhrt-2025-003240","DOIUrl":null,"url":null,"abstract":"<p><strong>Background: </strong>The specific relationship between different blood pressure measures and the risk of aortic aneurysms (AA) remains unclear. Elucidating these associations would be conducive to identifying high-risk individuals and developing more effective screening strategies, potentially reducing AA incidence. This study aimed to investigate the association between various blood pressure measures or subtypes of hypertension and the risk of AA.</p><p><strong>Methods: </strong>Using data from the UK biobank study, we performed multivariable Cox regression analysis to estimate HRs for baseline systolic blood pressure (SBP), diastolic blood pressure (DBP) and pulse pressure (PP) with risk of AA. The associations of isolated systolic hypertension, isolated diastolic and combined systolic-diastolic hypertension for AA were also assessed.</p><p><strong>Results: </strong>Our analysis included 397 019 participants without antihypertensive medication at baseline (mean age, 55.4 (SD 8.1) years; 56.6% female). We identified 1782 cases of AA during a median follow-up period of 12 years. The association between SBP and AA was weak (per-SD HR=1.03, 95% CI 0.98 to 1.08). The association between DBP and AA (per-SD HR=1.24, 95% CI 1.15 to 1.33) was significant when DBP reached 80 mm Hg and higher. Lower PP was linearly associated with increasing AA risk (per-SD HR=0.76, 95% CI 0.69 to 0.83). These patterns were consistent when comparing abdominal AA with overall cases. Compared with the normal group, the HRs of isolated systolic hypertension, isolated diastolic hypertension and combined hypertension on AA were 1.01 (95% CI 0.89 to 1.13), 1.67 (95% CI 1.27 to 2.18) and 1.35 (95% CI 1.20 to 1.52), respectively.</p><p><strong>Conclusions: </strong>Elevated DBP and reduced PP, but not SBP, were independently associated with a higher risk of incident AA, highlighting their potential to refine clinical risk stratification.</p>","PeriodicalId":19505,"journal":{"name":"Open Heart","volume":"12 2","pages":""},"PeriodicalIF":2.8000,"publicationDate":"2025-08-26","publicationTypes":"Journal Article","fieldsOfStudy":null,"isOpenAccess":false,"openAccessPdf":"https://www.ncbi.nlm.nih.gov/pmc/articles/PMC12382572/pdf/","citationCount":"0","resultStr":"{\"title\":\"Association analysis of blood pressure with incident risks for thoracic and abdominal aortic aneurysms: an observational study of the UK Biobank cohort.\",\"authors\":\"Ke Lu, Xiaofei Liu, Yuan Wang, Xun Tang, Pei Gao\",\"doi\":\"10.1136/openhrt-2025-003240\",\"DOIUrl\":null,\"url\":null,\"abstract\":\"<p><strong>Background: </strong>The specific relationship between different blood pressure measures and the risk of aortic aneurysms (AA) remains unclear. Elucidating these associations would be conducive to identifying high-risk individuals and developing more effective screening strategies, potentially reducing AA incidence. This study aimed to investigate the association between various blood pressure measures or subtypes of hypertension and the risk of AA.</p><p><strong>Methods: </strong>Using data from the UK biobank study, we performed multivariable Cox regression analysis to estimate HRs for baseline systolic blood pressure (SBP), diastolic blood pressure (DBP) and pulse pressure (PP) with risk of AA. The associations of isolated systolic hypertension, isolated diastolic and combined systolic-diastolic hypertension for AA were also assessed.</p><p><strong>Results: </strong>Our analysis included 397 019 participants without antihypertensive medication at baseline (mean age, 55.4 (SD 8.1) years; 56.6% female). We identified 1782 cases of AA during a median follow-up period of 12 years. The association between SBP and AA was weak (per-SD HR=1.03, 95% CI 0.98 to 1.08). The association between DBP and AA (per-SD HR=1.24, 95% CI 1.15 to 1.33) was significant when DBP reached 80 mm Hg and higher. Lower PP was linearly associated with increasing AA risk (per-SD HR=0.76, 95% CI 0.69 to 0.83). These patterns were consistent when comparing abdominal AA with overall cases. Compared with the normal group, the HRs of isolated systolic hypertension, isolated diastolic hypertension and combined hypertension on AA were 1.01 (95% CI 0.89 to 1.13), 1.67 (95% CI 1.27 to 2.18) and 1.35 (95% CI 1.20 to 1.52), respectively.</p><p><strong>Conclusions: </strong>Elevated DBP and reduced PP, but not SBP, were independently associated with a higher risk of incident AA, highlighting their potential to refine clinical risk stratification.</p>\",\"PeriodicalId\":19505,\"journal\":{\"name\":\"Open Heart\",\"volume\":\"12 2\",\"pages\":\"\"},\"PeriodicalIF\":2.8000,\"publicationDate\":\"2025-08-26\",\"publicationTypes\":\"Journal Article\",\"fieldsOfStudy\":null,\"isOpenAccess\":false,\"openAccessPdf\":\"https://www.ncbi.nlm.nih.gov/pmc/articles/PMC12382572/pdf/\",\"citationCount\":\"0\",\"resultStr\":null,\"platform\":\"Semanticscholar\",\"paperid\":null,\"PeriodicalName\":\"Open Heart\",\"FirstCategoryId\":\"1085\",\"ListUrlMain\":\"https://doi.org/10.1136/openhrt-2025-003240\",\"RegionNum\":0,\"RegionCategory\":null,\"ArticlePicture\":[],\"TitleCN\":null,\"AbstractTextCN\":null,\"PMCID\":null,\"EPubDate\":\"\",\"PubModel\":\"\",\"JCR\":\"Q2\",\"JCRName\":\"CARDIAC & CARDIOVASCULAR SYSTEMS\",\"Score\":null,\"Total\":0}","platform":"Semanticscholar","paperid":null,"PeriodicalName":"Open Heart","FirstCategoryId":"1085","ListUrlMain":"https://doi.org/10.1136/openhrt-2025-003240","RegionNum":0,"RegionCategory":null,"ArticlePicture":[],"TitleCN":null,"AbstractTextCN":null,"PMCID":null,"EPubDate":"","PubModel":"","JCR":"Q2","JCRName":"CARDIAC & CARDIOVASCULAR SYSTEMS","Score":null,"Total":0}
引用次数: 0

摘要

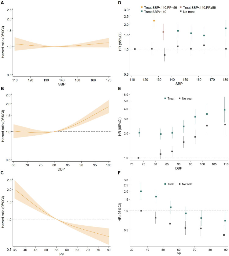
背景:不同血压测量与主动脉瘤(AA)风险之间的具体关系尚不清楚。阐明这些关联将有助于识别高风险个体和制定更有效的筛查策略,从而潜在地降低AA的发生率。本研究旨在探讨各种血压测量或高血压亚型与AA风险之间的关系。方法:利用英国生物银行研究的数据,我们进行了多变量Cox回归分析,以估计基线收缩压(SBP)、舒张压(DBP)和脉压(PP)与AA风险的hr。还评估了孤立性收缩期高血压、孤立性舒张期高血压和合并收缩期-舒张期高血压与AA的关系。结果:我们的分析包括397 019名基线时未服用抗高血压药物的参与者(平均年龄55.4 (SD 8.1)岁;56.6%的女性)。我们在平均12年的随访期间确定了1782例AA病例。收缩压和AA之间的相关性较弱(per-SD HR=1.03, 95% CI 0.98 ~ 1.08)。当DBP达到80 mm Hg或更高时,DBP与AA之间的相关性(per-SD HR=1.24, 95% CI 1.15至1.33)具有显著性。较低的PP与AA风险增加呈线性相关(per-SD HR=0.76, 95% CI 0.69 ~ 0.83)。当比较腹部AA与总体病例时,这些模式是一致的。与正常组比较,AA组孤立性收缩期高血压、孤立性舒张期高血压和合并高血压的hr分别为1.01 (95% CI 0.89 ~ 1.13)、1.67 (95% CI 1.27 ~ 2.18)和1.35 (95% CI 1.20 ~ 1.52)。结论:舒张压升高和PP降低与AA事件的高风险独立相关,但收缩压不相关,这突出了它们细化临床风险分层的潜力。
本文章由计算机程序翻译,如有差异,请以英文原文为准。

Association analysis of blood pressure with incident risks for thoracic and abdominal aortic aneurysms: an observational study of the UK Biobank cohort.

Association analysis of blood pressure with incident risks for thoracic and abdominal aortic aneurysms: an observational study of the UK Biobank cohort.

Association analysis of blood pressure with incident risks for thoracic and abdominal aortic aneurysms: an observational study of the UK Biobank cohort.

Association analysis of blood pressure with incident risks for thoracic and abdominal aortic aneurysms: an observational study of the UK Biobank cohort.

Background: The specific relationship between different blood pressure measures and the risk of aortic aneurysms (AA) remains unclear. Elucidating these associations would be conducive to identifying high-risk individuals and developing more effective screening strategies, potentially reducing AA incidence. This study aimed to investigate the association between various blood pressure measures or subtypes of hypertension and the risk of AA.

Methods: Using data from the UK biobank study, we performed multivariable Cox regression analysis to estimate HRs for baseline systolic blood pressure (SBP), diastolic blood pressure (DBP) and pulse pressure (PP) with risk of AA. The associations of isolated systolic hypertension, isolated diastolic and combined systolic-diastolic hypertension for AA were also assessed.

Results: Our analysis included 397 019 participants without antihypertensive medication at baseline (mean age, 55.4 (SD 8.1) years; 56.6% female). We identified 1782 cases of AA during a median follow-up period of 12 years. The association between SBP and AA was weak (per-SD HR=1.03, 95% CI 0.98 to 1.08). The association between DBP and AA (per-SD HR=1.24, 95% CI 1.15 to 1.33) was significant when DBP reached 80 mm Hg and higher. Lower PP was linearly associated with increasing AA risk (per-SD HR=0.76, 95% CI 0.69 to 0.83). These patterns were consistent when comparing abdominal AA with overall cases. Compared with the normal group, the HRs of isolated systolic hypertension, isolated diastolic hypertension and combined hypertension on AA were 1.01 (95% CI 0.89 to 1.13), 1.67 (95% CI 1.27 to 2.18) and 1.35 (95% CI 1.20 to 1.52), respectively.

Conclusions: Elevated DBP and reduced PP, but not SBP, were independently associated with a higher risk of incident AA, highlighting their potential to refine clinical risk stratification.

求助全文
通过发布文献求助,成功后即可免费获取论文全文。 去求助
来源期刊
Open Heart
Open Heart CARDIAC & CARDIOVASCULAR SYSTEMS-
CiteScore
4.60
自引率
3.70%
发文量
145
审稿时长
20 weeks
期刊介绍: Open Heart is an online-only, open access cardiology journal that aims to be “open” in many ways: open access (free access for all readers), open peer review (unblinded peer review) and open data (data sharing is encouraged). The goal is to ensure maximum transparency and maximum impact on research progress and patient care. The journal is dedicated to publishing high quality, peer reviewed medical research in all disciplines and therapeutic areas of cardiovascular medicine. Research is published across all study phases and designs, from study protocols to phase I trials to meta-analyses, including small or specialist studies. Opinionated discussions on controversial topics are welcomed. Open Heart aims to operate a fast submission and review process with continuous publication online, to ensure timely, up-to-date research is available worldwide. The journal adheres to a rigorous and transparent peer review process, and all articles go through a statistical assessment to ensure robustness of the analyses. Open Heart is an official journal of the British Cardiovascular Society.
×
引用
GB/T 7714-2015
复制
MLA
复制
APA
复制
导出至
BibTeX EndNote RefMan NoteFirst NoteExpress
×
提示
您的信息不完整,为了账户安全,请先补充。
现在去补充
×
提示
您因"违规操作"
具体请查看互助需知
我知道了
×
提示
确定
请完成安全验证×
copy
已复制链接
快去分享给好友吧!
我知道了
右上角分享
点击右上角分享
0
联系我们:info@booksci.cn Book学术提供免费学术资源搜索服务,方便国内外学者检索中英文文献。致力于提供最便捷和优质的服务体验。 Copyright © 2023 布克学术 All rights reserved.
京ICP备2023020795号-1
ghs 京公网安备 11010802042870号
Book学术文献互助
Book学术文献互助群
群 号:604180095
Book学术官方微信