软机械手矫形器支持脑卒中后手部康复的可行性。

IF 5.2 2区 医学 Q1 ENGINEERING, BIOMEDICAL
Natalie Tanczak, Tegan Kate Plunkett, Sijie Lin, Lorena Kuenzler, Megan Lau, Wee Keong Christopher Kuah, Chwee Yin Ng, Roger Gassert, Karen Chua, Olivier Lambercy
{"title":"软机械手矫形器支持脑卒中后手部康复的可行性。","authors":"Natalie Tanczak, Tegan Kate Plunkett, Sijie Lin, Lorena Kuenzler, Megan Lau, Wee Keong Christopher Kuah, Chwee Yin Ng, Roger Gassert, Karen Chua, Olivier Lambercy","doi":"10.1186/s12984-025-01717-6","DOIUrl":null,"url":null,"abstract":"<p><strong>Background: </strong>Stroke is a leading cause of adult disability in the world. Upper limb impairments are common post-stroke, with nearly half of those initially affected continuing to live with long-term functional limitations, impacting their independence and quality of life. Task-specific, intensive therapy has been shown to promote recovery; however, achieving this dose is resource-intensive and logistically challenging. Robotic hand orthoses (RHOs) are a promising approach to support functional rehabilitation regardless of location, thus providing high-dose therapy with minimal additional burden on the clinics.</p><p><strong>Methods: </strong>We evaluated the use of the RELab tenoexo 2.0, a soft RHO, in a two-phase feasibility study supporting functional hand training in persons after chronic stroke. Participants (n = 8) first used the device to complete nine training sessions supervised by occupational therapists over 3 weeks in-clinic, then brought the device home to continue the training to complete 2 weeks of unsupervised training. Feasibility was assessed with therapy dose (repetitions and time) and adherence to the suggested at-home rehabilitation program. Functional improvements were tracked using clinical assessments across time points. Finally, usability evaluations provided insights into users' perceptions of the device.</p><p><strong>Results: </strong>During the in-clinic phase, participants completed an average of 809 ± 317 RHO supported repetitions over 521 ± 130 min. At home, this increased to 1293 ± 948 repetitions over 486 ± 125 min across an average of 11.75 ± 5.4 sessions. Across the whole intervention, participant's mean Action Research Arm Test score increased by 5.0 ± 4.4, whereas the Fugl-Meyer Assessment Upper Extremity score increased by 6.0 ± 2.5. These improvements were retained after one month. The usability was rated as good, with a mean System Usability Scale rating of 72.5, and a mean Quebec User Evaluation of Satisfaction with Assistive Technology 2.0 score of 3.94/5.0.</p><p><strong>Conclusion: </strong>This study shows that the RHO can serve as a viable rehabilitation tool for functional hand training after chronic stroke across the continuum of care. High-dose training, both in-clinic and at home, demonstrated the feasibility of the device and intervention, with meaningful clinical improvements highlighting its therapeutic potential as a training strategy. High adherence rates and positive usability indicate strong user acceptance.</p><p><strong>Trial registration: </strong>NCT06412237.</p>","PeriodicalId":16384,"journal":{"name":"Journal of NeuroEngineering and Rehabilitation","volume":"22 1","pages":"183"},"PeriodicalIF":5.2000,"publicationDate":"2025-08-21","publicationTypes":"Journal Article","fieldsOfStudy":null,"isOpenAccess":false,"openAccessPdf":"https://www.ncbi.nlm.nih.gov/pmc/articles/PMC12369101/pdf/","citationCount":"0","resultStr":"{\"title\":\"Feasibility of post-stroke hand rehabilitation supported by a soft robotic hand orthosis in-clinic and at-home.\",\"authors\":\"Natalie Tanczak, Tegan Kate Plunkett, Sijie Lin, Lorena Kuenzler, Megan Lau, Wee Keong Christopher Kuah, Chwee Yin Ng, Roger Gassert, Karen Chua, Olivier Lambercy\",\"doi\":\"10.1186/s12984-025-01717-6\",\"DOIUrl\":null,\"url\":null,\"abstract\":\"<p><strong>Background: </strong>Stroke is a leading cause of adult disability in the world. Upper limb impairments are common post-stroke, with nearly half of those initially affected continuing to live with long-term functional limitations, impacting their independence and quality of life. Task-specific, intensive therapy has been shown to promote recovery; however, achieving this dose is resource-intensive and logistically challenging. Robotic hand orthoses (RHOs) are a promising approach to support functional rehabilitation regardless of location, thus providing high-dose therapy with minimal additional burden on the clinics.</p><p><strong>Methods: </strong>We evaluated the use of the RELab tenoexo 2.0, a soft RHO, in a two-phase feasibility study supporting functional hand training in persons after chronic stroke. Participants (n = 8) first used the device to complete nine training sessions supervised by occupational therapists over 3 weeks in-clinic, then brought the device home to continue the training to complete 2 weeks of unsupervised training. Feasibility was assessed with therapy dose (repetitions and time) and adherence to the suggested at-home rehabilitation program. Functional improvements were tracked using clinical assessments across time points. Finally, usability evaluations provided insights into users' perceptions of the device.</p><p><strong>Results: </strong>During the in-clinic phase, participants completed an average of 809 ± 317 RHO supported repetitions over 521 ± 130 min. At home, this increased to 1293 ± 948 repetitions over 486 ± 125 min across an average of 11.75 ± 5.4 sessions. Across the whole intervention, participant's mean Action Research Arm Test score increased by 5.0 ± 4.4, whereas the Fugl-Meyer Assessment Upper Extremity score increased by 6.0 ± 2.5. These improvements were retained after one month. The usability was rated as good, with a mean System Usability Scale rating of 72.5, and a mean Quebec User Evaluation of Satisfaction with Assistive Technology 2.0 score of 3.94/5.0.</p><p><strong>Conclusion: </strong>This study shows that the RHO can serve as a viable rehabilitation tool for functional hand training after chronic stroke across the continuum of care. High-dose training, both in-clinic and at home, demonstrated the feasibility of the device and intervention, with meaningful clinical improvements highlighting its therapeutic potential as a training strategy. High adherence rates and positive usability indicate strong user acceptance.</p><p><strong>Trial registration: </strong>NCT06412237.</p>\",\"PeriodicalId\":16384,\"journal\":{\"name\":\"Journal of NeuroEngineering and Rehabilitation\",\"volume\":\"22 1\",\"pages\":\"183\"},\"PeriodicalIF\":5.2000,\"publicationDate\":\"2025-08-21\",\"publicationTypes\":\"Journal Article\",\"fieldsOfStudy\":null,\"isOpenAccess\":false,\"openAccessPdf\":\"https://www.ncbi.nlm.nih.gov/pmc/articles/PMC12369101/pdf/\",\"citationCount\":\"0\",\"resultStr\":null,\"platform\":\"Semanticscholar\",\"paperid\":null,\"PeriodicalName\":\"Journal of NeuroEngineering and Rehabilitation\",\"FirstCategoryId\":\"5\",\"ListUrlMain\":\"https://doi.org/10.1186/s12984-025-01717-6\",\"RegionNum\":2,\"RegionCategory\":\"医学\",\"ArticlePicture\":[],\"TitleCN\":null,\"AbstractTextCN\":null,\"PMCID\":null,\"EPubDate\":\"\",\"PubModel\":\"\",\"JCR\":\"Q1\",\"JCRName\":\"ENGINEERING, BIOMEDICAL\",\"Score\":null,\"Total\":0}","platform":"Semanticscholar","paperid":null,"PeriodicalName":"Journal of NeuroEngineering and Rehabilitation","FirstCategoryId":"5","ListUrlMain":"https://doi.org/10.1186/s12984-025-01717-6","RegionNum":2,"RegionCategory":"医学","ArticlePicture":[],"TitleCN":null,"AbstractTextCN":null,"PMCID":null,"EPubDate":"","PubModel":"","JCR":"Q1","JCRName":"ENGINEERING, BIOMEDICAL","Score":null,"Total":0}
引用次数: 0

摘要

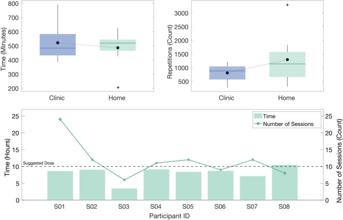
背景:中风是世界上导致成人残疾的主要原因。中风后上肢损伤很常见,近一半最初受影响的患者继续生活在长期的功能限制中,影响了他们的独立性和生活质量。针对特定任务的强化治疗已被证明可以促进康复;然而,实现这一剂量是资源密集型的,并且在后勤上具有挑战性。机械手矫形器(rho)是一种很有前途的方法,支持功能康复,无论位置如何,因此提供高剂量治疗,对诊所的额外负担最小。方法:我们在一项两期可行性研究中评估了RELab tenoexo 2.0(一种软RHO)在慢性脑卒中后支持功能性手部训练的可行性。参与者(n = 8)首先使用该设备在诊所完成由职业治疗师监督的9个培训课程,为期3周,然后将该设备带回家继续培训,以完成2周的无监督培训。可行性评估治疗剂量(重复次数和时间)和依从性建议的家庭康复计划。使用临床评估跟踪各时间点的功能改善。最后,可用性评估提供了用户对设备的看法。结果:在临床阶段,参与者在521±130分钟内平均完成809±317次RHO支持重复。在家里,这个数字增加到1293±948次,在486±125分钟内,平均11.75±5.4次。在整个干预过程中,参与者的平均行动研究臂测试得分提高了5.0±4.4,而Fugl-Meyer上肢评估得分提高了6.0±2.5。这些改善在一个月后仍然有效。可用性被评为良好,系统可用性量表的平均评分为72.5,魁北克用户对辅助技术2.0满意度的平均评分为3.94/5.0。结论:本研究表明RHO可以作为一种可行的康复工具,用于慢性卒中后的手部功能训练。临床和家庭的高剂量训练证明了该装置和干预的可行性,有意义的临床改进突出了其作为一种训练策略的治疗潜力。高依从率和积极的可用性表明强烈的用户接受度。试验注册:NCT06412237。
本文章由计算机程序翻译,如有差异,请以英文原文为准。

Feasibility of post-stroke hand rehabilitation supported by a soft robotic hand orthosis in-clinic and at-home.

Feasibility of post-stroke hand rehabilitation supported by a soft robotic hand orthosis in-clinic and at-home.

Feasibility of post-stroke hand rehabilitation supported by a soft robotic hand orthosis in-clinic and at-home.

Feasibility of post-stroke hand rehabilitation supported by a soft robotic hand orthosis in-clinic and at-home.

Background: Stroke is a leading cause of adult disability in the world. Upper limb impairments are common post-stroke, with nearly half of those initially affected continuing to live with long-term functional limitations, impacting their independence and quality of life. Task-specific, intensive therapy has been shown to promote recovery; however, achieving this dose is resource-intensive and logistically challenging. Robotic hand orthoses (RHOs) are a promising approach to support functional rehabilitation regardless of location, thus providing high-dose therapy with minimal additional burden on the clinics.

Methods: We evaluated the use of the RELab tenoexo 2.0, a soft RHO, in a two-phase feasibility study supporting functional hand training in persons after chronic stroke. Participants (n = 8) first used the device to complete nine training sessions supervised by occupational therapists over 3 weeks in-clinic, then brought the device home to continue the training to complete 2 weeks of unsupervised training. Feasibility was assessed with therapy dose (repetitions and time) and adherence to the suggested at-home rehabilitation program. Functional improvements were tracked using clinical assessments across time points. Finally, usability evaluations provided insights into users' perceptions of the device.

Results: During the in-clinic phase, participants completed an average of 809 ± 317 RHO supported repetitions over 521 ± 130 min. At home, this increased to 1293 ± 948 repetitions over 486 ± 125 min across an average of 11.75 ± 5.4 sessions. Across the whole intervention, participant's mean Action Research Arm Test score increased by 5.0 ± 4.4, whereas the Fugl-Meyer Assessment Upper Extremity score increased by 6.0 ± 2.5. These improvements were retained after one month. The usability was rated as good, with a mean System Usability Scale rating of 72.5, and a mean Quebec User Evaluation of Satisfaction with Assistive Technology 2.0 score of 3.94/5.0.

Conclusion: This study shows that the RHO can serve as a viable rehabilitation tool for functional hand training after chronic stroke across the continuum of care. High-dose training, both in-clinic and at home, demonstrated the feasibility of the device and intervention, with meaningful clinical improvements highlighting its therapeutic potential as a training strategy. High adherence rates and positive usability indicate strong user acceptance.

Trial registration: NCT06412237.

求助全文
通过发布文献求助,成功后即可免费获取论文全文。 去求助
来源期刊
Journal of NeuroEngineering and Rehabilitation
Journal of NeuroEngineering and Rehabilitation 工程技术-工程:生物医学
CiteScore
9.60
自引率
3.90%
发文量
122
审稿时长
24 months
期刊介绍: Journal of NeuroEngineering and Rehabilitation considers manuscripts on all aspects of research that result from cross-fertilization of the fields of neuroscience, biomedical engineering, and physical medicine & rehabilitation.
×
引用
GB/T 7714-2015
复制
MLA
复制
APA
复制
导出至
BibTeX EndNote RefMan NoteFirst NoteExpress
×
提示
您的信息不完整,为了账户安全,请先补充。
现在去补充
×
提示
您因"违规操作"
具体请查看互助需知
我知道了
×
提示
确定
请完成安全验证×
copy
已复制链接
快去分享给好友吧!
我知道了
右上角分享
点击右上角分享
0
联系我们:info@booksci.cn Book学术提供免费学术资源搜索服务,方便国内外学者检索中英文文献。致力于提供最便捷和优质的服务体验。 Copyright © 2023 布克学术 All rights reserved.
京ICP备2023020795号-1
ghs 京公网安备 11010802042870号
Book学术文献互助
Book学术文献互助群
群 号:604180095
Book学术官方微信