基于运动意象和虚拟现实的双任务模式脑机接口对脑卒中患者平衡和注意力的影响:一项随机对照试验。

IF 5.2 2区 医学 Q1 ENGINEERING, BIOMEDICAL
Chunli Wan, Qiyuan Zhang, Yu Qiu, Wenting Zhang, Yao Nie, Shuyi Zeng, Jian Wang, Xiaowen Shen, Cui Yu, Xixi Wu, Yuting Zhang, Yongqiang Li
{"title":"基于运动意象和虚拟现实的双任务模式脑机接口对脑卒中患者平衡和注意力的影响:一项随机对照试验。","authors":"Chunli Wan, Qiyuan Zhang, Yu Qiu, Wenting Zhang, Yao Nie, Shuyi Zeng, Jian Wang, Xiaowen Shen, Cui Yu, Xixi Wu, Yuting Zhang, Yongqiang Li","doi":"10.1186/s12984-025-01730-9","DOIUrl":null,"url":null,"abstract":"<p><strong>Background: </strong>Brain-computer interface (BCI) has been shown to be beneficial in improving lower limb motility in stroke, but their effectiveness on balance and attention is unclear. In addition, current BCIs are mostly in single-task mode. The BCI system used in this study was based on a dual-task model of motor imagery (MI) and virtual reality (VR). Previous studies have demonstrated that dual-task seems to be beneficial for balance and attention. The purpose of this study was to validate the effects of MI-VR-based dual-task BCI on balance and attention in participants with stroke.</p><p><strong>Methods: </strong>This pilot, single-blind, randomized controlled trial involved 38 stroke participants, randomized to the BCI (BCI pedaling training) or control group (conventional pedaling). Both groups trained 20 min daily, 5 days a week for 4 weeks, alongside conventional rehabilitation. Thirty participants completed the program (mean age: 56.56 years, mean disease duration: 4.48 months). Assessments were made before and after 4 weeks. The primary outcome was the Berg Balance Scale (BBS), and secondary outcomes included the Timed Up and Go Test (TUGT), Fugl-Meyer Lower Extremity Assessment (FMA-LE), Symbol Digit Modalities Test (SDMT), and average attention index.</p><p><strong>Results: </strong>30 participants completed the study (14 in the BCI and 16 in the control group). The retention rates were 73.68% and 84.21% respectively. No adverse events were reported in this study and participants did not report any discomfort. The changes in BBS, TUGT and SDMT values in the BCI group were significantly better than those in the control group (P < 0.05). Average attention index of the BCI group's participants grew with the number of training sessions, and there was a significant difference comparing pre- to post-treatment (p < 0.05). The value of BBS change is linearly correlated with the value of SDMT change (F = 8.778, y = 0.59x + 1.90, P < 0.001).</p><p><strong>Conclusions: </strong>This study initially showed positive effects of dual-task mode of BCI pedalling training on balance and attention in stroke participants. However, given the preliminary nature of this study and its limitations, the results need to be treated with caution. Trial registration Chinese Clinical Trial Registry Identifier: ChiCTR2300071522. Registered on 2023/05/17.</p>","PeriodicalId":16384,"journal":{"name":"Journal of NeuroEngineering and Rehabilitation","volume":"22 1","pages":"187"},"PeriodicalIF":5.2000,"publicationDate":"2025-08-29","publicationTypes":"Journal Article","fieldsOfStudy":null,"isOpenAccess":false,"openAccessPdf":"https://www.ncbi.nlm.nih.gov/pmc/articles/PMC12395916/pdf/","citationCount":"0","resultStr":"{\"title\":\"Effects of dual-task mode brain-computer interface based on motor imagery and virtual reality on balance and attention in patients with stroke: a randomized controlled pilot trial.\",\"authors\":\"Chunli Wan, Qiyuan Zhang, Yu Qiu, Wenting Zhang, Yao Nie, Shuyi Zeng, Jian Wang, Xiaowen Shen, Cui Yu, Xixi Wu, Yuting Zhang, Yongqiang Li\",\"doi\":\"10.1186/s12984-025-01730-9\",\"DOIUrl\":null,\"url\":null,\"abstract\":\"<p><strong>Background: </strong>Brain-computer interface (BCI) has been shown to be beneficial in improving lower limb motility in stroke, but their effectiveness on balance and attention is unclear. In addition, current BCIs are mostly in single-task mode. The BCI system used in this study was based on a dual-task model of motor imagery (MI) and virtual reality (VR). Previous studies have demonstrated that dual-task seems to be beneficial for balance and attention. The purpose of this study was to validate the effects of MI-VR-based dual-task BCI on balance and attention in participants with stroke.</p><p><strong>Methods: </strong>This pilot, single-blind, randomized controlled trial involved 38 stroke participants, randomized to the BCI (BCI pedaling training) or control group (conventional pedaling). Both groups trained 20 min daily, 5 days a week for 4 weeks, alongside conventional rehabilitation. Thirty participants completed the program (mean age: 56.56 years, mean disease duration: 4.48 months). Assessments were made before and after 4 weeks. The primary outcome was the Berg Balance Scale (BBS), and secondary outcomes included the Timed Up and Go Test (TUGT), Fugl-Meyer Lower Extremity Assessment (FMA-LE), Symbol Digit Modalities Test (SDMT), and average attention index.</p><p><strong>Results: </strong>30 participants completed the study (14 in the BCI and 16 in the control group). The retention rates were 73.68% and 84.21% respectively. No adverse events were reported in this study and participants did not report any discomfort. The changes in BBS, TUGT and SDMT values in the BCI group were significantly better than those in the control group (P < 0.05). Average attention index of the BCI group's participants grew with the number of training sessions, and there was a significant difference comparing pre- to post-treatment (p < 0.05). The value of BBS change is linearly correlated with the value of SDMT change (F = 8.778, y = 0.59x + 1.90, P < 0.001).</p><p><strong>Conclusions: </strong>This study initially showed positive effects of dual-task mode of BCI pedalling training on balance and attention in stroke participants. However, given the preliminary nature of this study and its limitations, the results need to be treated with caution. Trial registration Chinese Clinical Trial Registry Identifier: ChiCTR2300071522. Registered on 2023/05/17.</p>\",\"PeriodicalId\":16384,\"journal\":{\"name\":\"Journal of NeuroEngineering and Rehabilitation\",\"volume\":\"22 1\",\"pages\":\"187\"},\"PeriodicalIF\":5.2000,\"publicationDate\":\"2025-08-29\",\"publicationTypes\":\"Journal Article\",\"fieldsOfStudy\":null,\"isOpenAccess\":false,\"openAccessPdf\":\"https://www.ncbi.nlm.nih.gov/pmc/articles/PMC12395916/pdf/\",\"citationCount\":\"0\",\"resultStr\":null,\"platform\":\"Semanticscholar\",\"paperid\":null,\"PeriodicalName\":\"Journal of NeuroEngineering and Rehabilitation\",\"FirstCategoryId\":\"5\",\"ListUrlMain\":\"https://doi.org/10.1186/s12984-025-01730-9\",\"RegionNum\":2,\"RegionCategory\":\"医学\",\"ArticlePicture\":[],\"TitleCN\":null,\"AbstractTextCN\":null,\"PMCID\":null,\"EPubDate\":\"\",\"PubModel\":\"\",\"JCR\":\"Q1\",\"JCRName\":\"ENGINEERING, BIOMEDICAL\",\"Score\":null,\"Total\":0}","platform":"Semanticscholar","paperid":null,"PeriodicalName":"Journal of NeuroEngineering and Rehabilitation","FirstCategoryId":"5","ListUrlMain":"https://doi.org/10.1186/s12984-025-01730-9","RegionNum":2,"RegionCategory":"医学","ArticlePicture":[],"TitleCN":null,"AbstractTextCN":null,"PMCID":null,"EPubDate":"","PubModel":"","JCR":"Q1","JCRName":"ENGINEERING, BIOMEDICAL","Score":null,"Total":0}
引用次数: 0

摘要

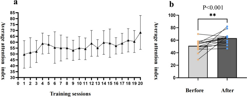
背景:脑机接口(BCI)已被证明有助于改善中风患者的下肢运动能力,但其对平衡和注意力的有效性尚不清楚。此外,目前的脑机接口大多处于单任务模式。本研究中使用的脑机接口系统是基于运动想象(MI)和虚拟现实(VR)的双任务模型。先前的研究表明,双重任务似乎有利于平衡和注意力。本研究的目的是验证基于mi - vr的双任务脑机接口对脑卒中患者平衡和注意力的影响。方法:本试验为单盲随机对照试验,纳入38例脑卒中患者,随机分为脑机接口组(BCI蹬车训练组)和对照组(常规蹬车组)。两组在常规康复的基础上,每天训练20分钟,每周5天,持续4周。30名参与者完成了该项目(平均年龄:56.56岁,平均病程:4.48个月)。4周前后分别进行评估。主要结果为Berg平衡量表(BBS),次要结果包括Timed Up and Go Test (TUGT)、Fugl-Meyer下肢评估(FMA-LE)、Symbol - Digit模态测试(SDMT)和平均注意力指数。结果:30名参与者完成了研究(BCI组14名,对照组16名)。保留率分别为73.68%和84.21%。在这项研究中没有不良事件报告,参与者没有报告任何不适。BCI组的BBS、TUGT和SDMT值的变化均显著优于对照组(P)。结论:本研究初步显示了双任务模式BCI蹬车训练对脑卒中参与者平衡和注意力的积极影响。然而,考虑到这项研究的初步性质及其局限性,需要谨慎对待结果。中国临床试验注册编号:ChiCTR2300071522。已于2023/05/17注册
本文章由计算机程序翻译,如有差异,请以英文原文为准。

Effects of dual-task mode brain-computer interface based on motor imagery and virtual reality on balance and attention in patients with stroke: a randomized controlled pilot trial.

Effects of dual-task mode brain-computer interface based on motor imagery and virtual reality on balance and attention in patients with stroke: a randomized controlled pilot trial.

Effects of dual-task mode brain-computer interface based on motor imagery and virtual reality on balance and attention in patients with stroke: a randomized controlled pilot trial.

Effects of dual-task mode brain-computer interface based on motor imagery and virtual reality on balance and attention in patients with stroke: a randomized controlled pilot trial.

Background: Brain-computer interface (BCI) has been shown to be beneficial in improving lower limb motility in stroke, but their effectiveness on balance and attention is unclear. In addition, current BCIs are mostly in single-task mode. The BCI system used in this study was based on a dual-task model of motor imagery (MI) and virtual reality (VR). Previous studies have demonstrated that dual-task seems to be beneficial for balance and attention. The purpose of this study was to validate the effects of MI-VR-based dual-task BCI on balance and attention in participants with stroke.

Methods: This pilot, single-blind, randomized controlled trial involved 38 stroke participants, randomized to the BCI (BCI pedaling training) or control group (conventional pedaling). Both groups trained 20 min daily, 5 days a week for 4 weeks, alongside conventional rehabilitation. Thirty participants completed the program (mean age: 56.56 years, mean disease duration: 4.48 months). Assessments were made before and after 4 weeks. The primary outcome was the Berg Balance Scale (BBS), and secondary outcomes included the Timed Up and Go Test (TUGT), Fugl-Meyer Lower Extremity Assessment (FMA-LE), Symbol Digit Modalities Test (SDMT), and average attention index.

Results: 30 participants completed the study (14 in the BCI and 16 in the control group). The retention rates were 73.68% and 84.21% respectively. No adverse events were reported in this study and participants did not report any discomfort. The changes in BBS, TUGT and SDMT values in the BCI group were significantly better than those in the control group (P < 0.05). Average attention index of the BCI group's participants grew with the number of training sessions, and there was a significant difference comparing pre- to post-treatment (p < 0.05). The value of BBS change is linearly correlated with the value of SDMT change (F = 8.778, y = 0.59x + 1.90, P < 0.001).

Conclusions: This study initially showed positive effects of dual-task mode of BCI pedalling training on balance and attention in stroke participants. However, given the preliminary nature of this study and its limitations, the results need to be treated with caution. Trial registration Chinese Clinical Trial Registry Identifier: ChiCTR2300071522. Registered on 2023/05/17.

求助全文
通过发布文献求助,成功后即可免费获取论文全文。 去求助
来源期刊
Journal of NeuroEngineering and Rehabilitation
Journal of NeuroEngineering and Rehabilitation 工程技术-工程:生物医学
CiteScore
9.60
自引率
3.90%
发文量
122
审稿时长
24 months
期刊介绍: Journal of NeuroEngineering and Rehabilitation considers manuscripts on all aspects of research that result from cross-fertilization of the fields of neuroscience, biomedical engineering, and physical medicine & rehabilitation.
×
引用
GB/T 7714-2015
复制
MLA
复制
APA
复制
导出至
BibTeX EndNote RefMan NoteFirst NoteExpress
×
提示
您的信息不完整,为了账户安全,请先补充。
现在去补充
×
提示
您因"违规操作"
具体请查看互助需知
我知道了
×
提示
确定
请完成安全验证×
copy
已复制链接
快去分享给好友吧!
我知道了
右上角分享
点击右上角分享
0
联系我们:info@booksci.cn Book学术提供免费学术资源搜索服务,方便国内外学者检索中英文文献。致力于提供最便捷和优质的服务体验。 Copyright © 2023 布克学术 All rights reserved.
京ICP备2023020795号-1
ghs 京公网安备 11010802042870号
Book学术文献互助
Book学术文献互助群
群 号:604180095
Book学术官方微信