基于移动应用程序的干预与未控制的2型糖尿病患者心血管危险因素:一项随机临床试验

IF 9.7 1区 医学 Q1 MEDICINE, GENERAL & INTERNAL
Pei-Zhen Zhang, Dan Guo, Chang-Qin Liu, Ning Chen, Jian-Fang Liu, Xu-Zhen Lei, Lin-Jie Yang, Ya-Ting Liu, Xu Li, Jun-Feng Huang, Chun-Min Du, Kai Wang, Wei Mo, Jia-Yang Lin, Chen-Si-Han Huang, Bing-Yan Xu, Xue-Yun Wei, De-Ying Liu, Jun-Lin Huang, Yan Huang, Yao-Ming Xue, Yan-Mei Zeng, Shi-Qun Liu, Zhi-Min Ma, Hui-Jie Zhang
{"title":"基于移动应用程序的干预与未控制的2型糖尿病患者心血管危险因素:一项随机临床试验","authors":"Pei-Zhen Zhang, Dan Guo, Chang-Qin Liu, Ning Chen, Jian-Fang Liu, Xu-Zhen Lei, Lin-Jie Yang, Ya-Ting Liu, Xu Li, Jun-Feng Huang, Chun-Min Du, Kai Wang, Wei Mo, Jia-Yang Lin, Chen-Si-Han Huang, Bing-Yan Xu, Xue-Yun Wei, De-Ying Liu, Jun-Lin Huang, Yan Huang, Yao-Ming Xue, Yan-Mei Zeng, Shi-Qun Liu, Zhi-Min Ma, Hui-Jie Zhang","doi":"10.1001/jamanetworkopen.2025.29762","DOIUrl":null,"url":null,"abstract":"<p><strong>Importance: </strong>Controlling modifiable cardiovascular risk factors is important but underused for patients with type 2 diabetes (T2D). Mobile message-based intervention strategies could address this gap but lack evidence of benefit on multiple risk factors.</p><p><strong>Objective: </strong>To evaluate the effectiveness of a mobile message-based intervention in controlling cardiovascular risk factors in patients with T2D.</p><p><strong>Design, setting, and participants: </strong>In this randomized clinical trial, adults with uncontrolled T2D comorbid with cardiovascular disease (CVD) risk factors were recruited from 5 clinical centers in China. Data were collected from November 2018 to March 2022 and analyzed from January to June 2023.</p><p><strong>Intervention: </strong>Participants were randomized to receive either usual care or a mobile message-based intervention of 6 text messages per week from different modules designed to remind, encourage, and motivate them to participate in the behaviors needed for improving glycemic control and CVD risk factor management for 12 months.</p><p><strong>Main outcomes and measures: </strong>The primary outcome included mean changes in hemoglobin A1c (HbA1c), low-density lipoprotein cholesterol (LDL-C), and systolic blood pressure (SBP) levels across 12 months. The secondary outcomes included the percentage of participants with controlled HbA1c at 12 months. Data were analyzed using the intention-to-treat principle.</p><p><strong>Results: </strong>A total of 819 participants (552 men [67.4%]; mean [SD] age, 50.1 [11.9] years; mean [SD] HbA1c level, 10.2% [2.1%]) were enrolled, of whom 410 were randomized to the intervention group and 409 to the control group. During the 12-month intervention, significant reductions in the mobile message-based intervention group were observed for HbA1c levels by -2.8% (95% CI, -2.9% to -2.6%), LDL-C by -11.1 mg/dL (95% CI, -14.7 to -7.4 mg/dL), and SBP by -2.5 mm Hg (95% CI, -3.9 to -1.2 mm Hg), and in the usual care group, by -2.5% (95% CI, -2.7% to -2.3%) for HbA1c, -11.9 mg/dL (95% CI, -15.8 to -8.0 mg/dL) for LDL-C, and -0.1 mm Hg (95% CI, -1.6 to 1.3 mm Hg) for SBP. The net group differences were -0.3% (95% CI, -0.5% to -0.0%) for HbA1c, 0.9 mg/dL (95% CI, -4.5 to 6.2 mg/dL) for LDL-C, and -2.4 mm Hg (95% CI, -4.3 to -0.4 mm Hg) for SBP (P = .001 for the combined overall effect). The percentage of participants with controlled HbA1c among all participants was significantly higher in the intervention group than in the control group at 12 months (195 participants [54.0%] vs 146 participants [46.1%]; P = .04).</p><p><strong>Conclusions and relevance: </strong>In this randomized clinical trial of adults with uncontrolled T2D in China, a mobile message-based intervention resulted in a modest improvement in HbA1c and SBP in patients with diabetes compared with usual care. These results suggest that mobile message-based strategies for improving glycemic control and CVD risk factors should be considered for adults with T2D.</p><p><strong>Trial registration: </strong>ClinicalTrials.gov Identifier: NCT03724526.</p>","PeriodicalId":14694,"journal":{"name":"JAMA Network Open","volume":"8 9","pages":"e2529762"},"PeriodicalIF":9.7000,"publicationDate":"2025-09-02","publicationTypes":"Journal Article","fieldsOfStudy":null,"isOpenAccess":false,"openAccessPdf":"https://www.ncbi.nlm.nih.gov/pmc/articles/PMC12406060/pdf/","citationCount":"0","resultStr":"{\"title\":\"Mobile App-Based Intervention and Cardiovascular Risk Factors in Patients With Uncontrolled Type 2 Diabetes: A Randomized Clinical Trial.\",\"authors\":\"Pei-Zhen Zhang, Dan Guo, Chang-Qin Liu, Ning Chen, Jian-Fang Liu, Xu-Zhen Lei, Lin-Jie Yang, Ya-Ting Liu, Xu Li, Jun-Feng Huang, Chun-Min Du, Kai Wang, Wei Mo, Jia-Yang Lin, Chen-Si-Han Huang, Bing-Yan Xu, Xue-Yun Wei, De-Ying Liu, Jun-Lin Huang, Yan Huang, Yao-Ming Xue, Yan-Mei Zeng, Shi-Qun Liu, Zhi-Min Ma, Hui-Jie Zhang\",\"doi\":\"10.1001/jamanetworkopen.2025.29762\",\"DOIUrl\":null,\"url\":null,\"abstract\":\"<p><strong>Importance: </strong>Controlling modifiable cardiovascular risk factors is important but underused for patients with type 2 diabetes (T2D). Mobile message-based intervention strategies could address this gap but lack evidence of benefit on multiple risk factors.</p><p><strong>Objective: </strong>To evaluate the effectiveness of a mobile message-based intervention in controlling cardiovascular risk factors in patients with T2D.</p><p><strong>Design, setting, and participants: </strong>In this randomized clinical trial, adults with uncontrolled T2D comorbid with cardiovascular disease (CVD) risk factors were recruited from 5 clinical centers in China. Data were collected from November 2018 to March 2022 and analyzed from January to June 2023.</p><p><strong>Intervention: </strong>Participants were randomized to receive either usual care or a mobile message-based intervention of 6 text messages per week from different modules designed to remind, encourage, and motivate them to participate in the behaviors needed for improving glycemic control and CVD risk factor management for 12 months.</p><p><strong>Main outcomes and measures: </strong>The primary outcome included mean changes in hemoglobin A1c (HbA1c), low-density lipoprotein cholesterol (LDL-C), and systolic blood pressure (SBP) levels across 12 months. The secondary outcomes included the percentage of participants with controlled HbA1c at 12 months. Data were analyzed using the intention-to-treat principle.</p><p><strong>Results: </strong>A total of 819 participants (552 men [67.4%]; mean [SD] age, 50.1 [11.9] years; mean [SD] HbA1c level, 10.2% [2.1%]) were enrolled, of whom 410 were randomized to the intervention group and 409 to the control group. During the 12-month intervention, significant reductions in the mobile message-based intervention group were observed for HbA1c levels by -2.8% (95% CI, -2.9% to -2.6%), LDL-C by -11.1 mg/dL (95% CI, -14.7 to -7.4 mg/dL), and SBP by -2.5 mm Hg (95% CI, -3.9 to -1.2 mm Hg), and in the usual care group, by -2.5% (95% CI, -2.7% to -2.3%) for HbA1c, -11.9 mg/dL (95% CI, -15.8 to -8.0 mg/dL) for LDL-C, and -0.1 mm Hg (95% CI, -1.6 to 1.3 mm Hg) for SBP. The net group differences were -0.3% (95% CI, -0.5% to -0.0%) for HbA1c, 0.9 mg/dL (95% CI, -4.5 to 6.2 mg/dL) for LDL-C, and -2.4 mm Hg (95% CI, -4.3 to -0.4 mm Hg) for SBP (P = .001 for the combined overall effect). The percentage of participants with controlled HbA1c among all participants was significantly higher in the intervention group than in the control group at 12 months (195 participants [54.0%] vs 146 participants [46.1%]; P = .04).</p><p><strong>Conclusions and relevance: </strong>In this randomized clinical trial of adults with uncontrolled T2D in China, a mobile message-based intervention resulted in a modest improvement in HbA1c and SBP in patients with diabetes compared with usual care. These results suggest that mobile message-based strategies for improving glycemic control and CVD risk factors should be considered for adults with T2D.</p><p><strong>Trial registration: </strong>ClinicalTrials.gov Identifier: NCT03724526.</p>\",\"PeriodicalId\":14694,\"journal\":{\"name\":\"JAMA Network Open\",\"volume\":\"8 9\",\"pages\":\"e2529762\"},\"PeriodicalIF\":9.7000,\"publicationDate\":\"2025-09-02\",\"publicationTypes\":\"Journal Article\",\"fieldsOfStudy\":null,\"isOpenAccess\":false,\"openAccessPdf\":\"https://www.ncbi.nlm.nih.gov/pmc/articles/PMC12406060/pdf/\",\"citationCount\":\"0\",\"resultStr\":null,\"platform\":\"Semanticscholar\",\"paperid\":null,\"PeriodicalName\":\"JAMA Network Open\",\"FirstCategoryId\":\"3\",\"ListUrlMain\":\"https://doi.org/10.1001/jamanetworkopen.2025.29762\",\"RegionNum\":1,\"RegionCategory\":\"医学\",\"ArticlePicture\":[],\"TitleCN\":null,\"AbstractTextCN\":null,\"PMCID\":null,\"EPubDate\":\"\",\"PubModel\":\"\",\"JCR\":\"Q1\",\"JCRName\":\"MEDICINE, GENERAL & INTERNAL\",\"Score\":null,\"Total\":0}","platform":"Semanticscholar","paperid":null,"PeriodicalName":"JAMA Network Open","FirstCategoryId":"3","ListUrlMain":"https://doi.org/10.1001/jamanetworkopen.2025.29762","RegionNum":1,"RegionCategory":"医学","ArticlePicture":[],"TitleCN":null,"AbstractTextCN":null,"PMCID":null,"EPubDate":"","PubModel":"","JCR":"Q1","JCRName":"MEDICINE, GENERAL & INTERNAL","Score":null,"Total":0}
引用次数: 0

摘要

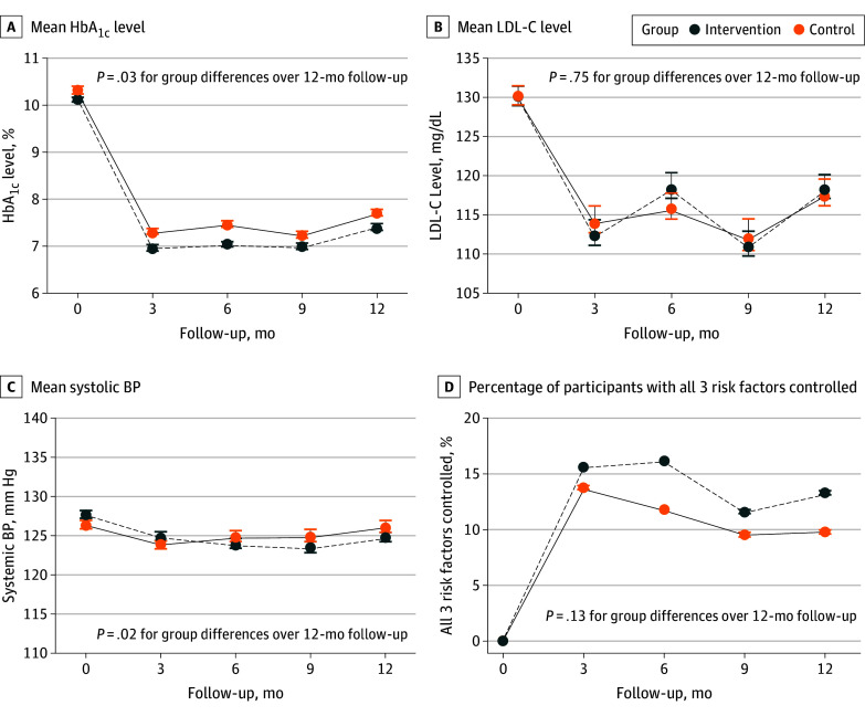
重要性:控制可改变的心血管危险因素很重要,但对2型糖尿病(T2D)患者应用不足。基于移动信息的干预策略可以弥补这一差距,但缺乏对多种风险因素有益的证据。目的:评价基于移动信息的干预在控制T2D患者心血管危险因素中的有效性。设计、环境和参与者:在这项随机临床试验中,从中国5个临床中心招募了未控制的t2dm合并心血管疾病(CVD)危险因素的成年人。数据收集时间为2018年11月至2022年3月,分析时间为2023年1月至6月。干预:参与者随机接受常规护理或基于移动信息的干预,每周6条来自不同模块的短信,旨在提醒、鼓励和激励他们参与改善血糖控制和心血管疾病危险因素管理所需的行为,为期12个月。主要结局和指标:主要结局包括12个月内血红蛋白A1c (HbA1c)、低密度脂蛋白胆固醇(LDL-C)和收缩压(SBP)水平的平均变化。次要结果包括12个月时HbA1c控制的参与者百分比。使用意向治疗原则对数据进行分析。结果:共纳入819例受试者,其中男性552例(67.4%),平均[SD]年龄50.1[11.9]岁,平均[SD] HbA1c水平10.2%[2.1%],其中410例随机分为干预组,409例随机分为对照组。在12个月的干预,显著减少移动消息的观察干预组的糖化血红蛋白水平为-2.8%(95%可信区间,-2.9%到-2.6%),低密度-11.1 mg / dL (95% CI, -14.7 - -7.4 mg / dL),和SBP的-2.5毫米汞柱(95% CI, -3.9 - -1.2毫米汞柱),和常规治疗组,-2.5%(95%可信区间,-2.7%到-2.3%)为糖化血红蛋白-11.9 mg / dL (95% CI, -15.8 - -8.0 mg / dL)的支持,和-0.1毫米汞柱(95% CI, -1.6 - 1.3毫米汞柱)SBP。HbA1c组净差异为-0.3% (95% CI, -0.5%至-0.0%),LDL-C组净差异为0.9 mg/dL (95% CI, -4.5至6.2 mg/dL),收缩压组净差异为-2.4 mm Hg (95% CI, -4.3至-0.4 mm Hg) (P =。001表示综合整体效果)。12个月时,干预组HbA1c控制在所有参与者中的比例显著高于对照组(195名参与者[54.0%]对146名参与者[46.1%];P = .04)。结论和相关性:在中国进行的一项针对未控制T2D的成人的随机临床试验中,与常规治疗相比,基于移动信息的干预导致糖尿病患者的HbA1c和收缩压有适度改善。这些结果表明,应该考虑使用基于移动信息的策略来改善糖尿病成人患者的血糖控制和心血管疾病危险因素。试验注册:ClinicalTrials.gov标识符:NCT03724526。
本文章由计算机程序翻译,如有差异,请以英文原文为准。

Mobile App-Based Intervention and Cardiovascular Risk Factors in Patients With Uncontrolled Type 2 Diabetes: A Randomized Clinical Trial.

Mobile App-Based Intervention and Cardiovascular Risk Factors in Patients With Uncontrolled Type 2 Diabetes: A Randomized Clinical Trial.

Mobile App-Based Intervention and Cardiovascular Risk Factors in Patients With Uncontrolled Type 2 Diabetes: A Randomized Clinical Trial.

Importance: Controlling modifiable cardiovascular risk factors is important but underused for patients with type 2 diabetes (T2D). Mobile message-based intervention strategies could address this gap but lack evidence of benefit on multiple risk factors.

Objective: To evaluate the effectiveness of a mobile message-based intervention in controlling cardiovascular risk factors in patients with T2D.

Design, setting, and participants: In this randomized clinical trial, adults with uncontrolled T2D comorbid with cardiovascular disease (CVD) risk factors were recruited from 5 clinical centers in China. Data were collected from November 2018 to March 2022 and analyzed from January to June 2023.

Intervention: Participants were randomized to receive either usual care or a mobile message-based intervention of 6 text messages per week from different modules designed to remind, encourage, and motivate them to participate in the behaviors needed for improving glycemic control and CVD risk factor management for 12 months.

Main outcomes and measures: The primary outcome included mean changes in hemoglobin A1c (HbA1c), low-density lipoprotein cholesterol (LDL-C), and systolic blood pressure (SBP) levels across 12 months. The secondary outcomes included the percentage of participants with controlled HbA1c at 12 months. Data were analyzed using the intention-to-treat principle.

Results: A total of 819 participants (552 men [67.4%]; mean [SD] age, 50.1 [11.9] years; mean [SD] HbA1c level, 10.2% [2.1%]) were enrolled, of whom 410 were randomized to the intervention group and 409 to the control group. During the 12-month intervention, significant reductions in the mobile message-based intervention group were observed for HbA1c levels by -2.8% (95% CI, -2.9% to -2.6%), LDL-C by -11.1 mg/dL (95% CI, -14.7 to -7.4 mg/dL), and SBP by -2.5 mm Hg (95% CI, -3.9 to -1.2 mm Hg), and in the usual care group, by -2.5% (95% CI, -2.7% to -2.3%) for HbA1c, -11.9 mg/dL (95% CI, -15.8 to -8.0 mg/dL) for LDL-C, and -0.1 mm Hg (95% CI, -1.6 to 1.3 mm Hg) for SBP. The net group differences were -0.3% (95% CI, -0.5% to -0.0%) for HbA1c, 0.9 mg/dL (95% CI, -4.5 to 6.2 mg/dL) for LDL-C, and -2.4 mm Hg (95% CI, -4.3 to -0.4 mm Hg) for SBP (P = .001 for the combined overall effect). The percentage of participants with controlled HbA1c among all participants was significantly higher in the intervention group than in the control group at 12 months (195 participants [54.0%] vs 146 participants [46.1%]; P = .04).

Conclusions and relevance: In this randomized clinical trial of adults with uncontrolled T2D in China, a mobile message-based intervention resulted in a modest improvement in HbA1c and SBP in patients with diabetes compared with usual care. These results suggest that mobile message-based strategies for improving glycemic control and CVD risk factors should be considered for adults with T2D.

Trial registration: ClinicalTrials.gov Identifier: NCT03724526.

求助全文
通过发布文献求助,成功后即可免费获取论文全文。 去求助
来源期刊
JAMA Network Open
JAMA Network Open Medicine-General Medicine
CiteScore
16.00
自引率
2.90%
发文量
2126
审稿时长
16 weeks
期刊介绍: JAMA Network Open, a member of the esteemed JAMA Network, stands as an international, peer-reviewed, open-access general medical journal.The publication is dedicated to disseminating research across various health disciplines and countries, encompassing clinical care, innovation in health care, health policy, and global health. JAMA Network Open caters to clinicians, investigators, and policymakers, providing a platform for valuable insights and advancements in the medical field. As part of the JAMA Network, a consortium of peer-reviewed general medical and specialty publications, JAMA Network Open contributes to the collective knowledge and understanding within the medical community.
×
引用
GB/T 7714-2015
复制
MLA
复制
APA
复制
导出至
BibTeX EndNote RefMan NoteFirst NoteExpress
×
提示
您的信息不完整,为了账户安全,请先补充。
现在去补充
×
提示
您因"违规操作"
具体请查看互助需知
我知道了
×
提示
确定
请完成安全验证×
copy
已复制链接
快去分享给好友吧!
我知道了
右上角分享
点击右上角分享
0
联系我们:info@booksci.cn Book学术提供免费学术资源搜索服务,方便国内外学者检索中英文文献。致力于提供最便捷和优质的服务体验。 Copyright © 2023 布克学术 All rights reserved.
京ICP备2023020795号-1
ghs 京公网安备 11010802042870号
Book学术文献互助
Book学术文献互助群
群 号:604180095
Book学术官方微信