乳腺癌中E2F8、LIN28b、MACC1和CCT3基因的预后意义:对生存和治疗分层的影响

IF 1.5 4区 生物学 Q4 BIOTECHNOLOGY & APPLIED MICROBIOLOGY
Mahdi Alizadeh, Mahdieh Salimi, Zahra Soheila Soheili
{"title":"乳腺癌中E2F8、LIN28b、MACC1和CCT3基因的预后意义:对生存和治疗分层的影响","authors":"Mahdi Alizadeh, Mahdieh Salimi, Zahra Soheila Soheili","doi":"10.30498/ijb.2025.497569.4051","DOIUrl":null,"url":null,"abstract":"<p><strong>Background: </strong>Breast cancer remains a leading cause of cancer-related mortality among women, highlighting the urgent need for reliable biomarkers that can aid in prognosis and therapeutic stratification.</p><p><strong>Objectives: </strong>This study aimed to evaluate the RNA expression levels of four specific genes-<i>E2F8</i>, <i>LIN28b</i>, <i>MACC1</i>, and <i>CCT3</i>-in breast cancer tumors compared to adjacent normal tissues, and to assess their prognostic significance in relation to clinical parameters and recurrence-free survival.</p><p><strong>Materials and methods: </strong>The RNA expression levels of <i>E2F8</i>, <i>LIN28b</i>, <i>MACC1</i>, and <i>CCT3</i> were examined using SYBR Green real-time PCR. Gene expression data were correlated with clinical parameters, including disease stage, lymph node involvement, and triple-negative status. Survival analysis was conducted to evaluate the prognostic significance of these genes concerning recurrence within five years post-diagnosis, with median expression cutoffs established for each gene and the overall median for the panel. Kaplan-Meier survival analysis was employed to assess the relationship between gene expression and recurrence-free survival, calculating hazard ratios (HR) for each gene and the combined panel. Additionally, the Reactome database was analyzed to identify biological pathways associated with these genes.</p><p><strong>Results: </strong>All four genes demonstrated significantly higher expression levels in breast cancer samples, correlating with advanced disease stages, lymph node involvement, and triple-negative breast cancer status. <i>E2F8</i> expression was notably associated with estrogen receptor (ER) and progesterone receptor (PR) positivity, while <i>MACC1</i> expression correlated with ER negativity. Survival analysis revealed that 6 out of 40 patients expired within five years. Kaplan-Meier analysis indicated that higher expression levels of <i>E2F8</i> (HR 14.80, p=0.0015), <i>LIN28b</i> (HR 9.259, p=0.0071), <i>MACC1</i> (HR 12.49, p=0.0027), and <i>CCT3</i> (HR 7.315, p=0.0158) were significantly associated with reduced recurrence-free survival. The hazard ratio for the combined gene panel was 15.367 (p<0.0001). Reactome analysis revealed that these genes are involved in critical biological pathways, including actin folding by CCT TriC and TP53 regulation of G1 cell cycle arrest.</p><p><strong>Conclusions: </strong>Our findings suggest that this four-gene panel holds significant promise as a robust prognostic tool for breast cancer survival. This research paves the way for further investigations into targeted therapies and personalized medicine approaches in the management of breast cancer.</p>","PeriodicalId":14492,"journal":{"name":"Iranian Journal of Biotechnology","volume":"23 2","pages":"e4051"},"PeriodicalIF":1.5000,"publicationDate":"2025-04-01","publicationTypes":"Journal Article","fieldsOfStudy":null,"isOpenAccess":false,"openAccessPdf":"https://www.ncbi.nlm.nih.gov/pmc/articles/PMC12374123/pdf/","citationCount":"0","resultStr":"{\"title\":\"Prognostic Significance of <i>E2F8, LIN28b, MACC1</i>, and <i>CCT3</i> Genes in Breast Cancer: Implications for Survival and Therapeutic Stratification.\",\"authors\":\"Mahdi Alizadeh, Mahdieh Salimi, Zahra Soheila Soheili\",\"doi\":\"10.30498/ijb.2025.497569.4051\",\"DOIUrl\":null,\"url\":null,\"abstract\":\"<p><strong>Background: </strong>Breast cancer remains a leading cause of cancer-related mortality among women, highlighting the urgent need for reliable biomarkers that can aid in prognosis and therapeutic stratification.</p><p><strong>Objectives: </strong>This study aimed to evaluate the RNA expression levels of four specific genes-<i>E2F8</i>, <i>LIN28b</i>, <i>MACC1</i>, and <i>CCT3</i>-in breast cancer tumors compared to adjacent normal tissues, and to assess their prognostic significance in relation to clinical parameters and recurrence-free survival.</p><p><strong>Materials and methods: </strong>The RNA expression levels of <i>E2F8</i>, <i>LIN28b</i>, <i>MACC1</i>, and <i>CCT3</i> were examined using SYBR Green real-time PCR. Gene expression data were correlated with clinical parameters, including disease stage, lymph node involvement, and triple-negative status. Survival analysis was conducted to evaluate the prognostic significance of these genes concerning recurrence within five years post-diagnosis, with median expression cutoffs established for each gene and the overall median for the panel. Kaplan-Meier survival analysis was employed to assess the relationship between gene expression and recurrence-free survival, calculating hazard ratios (HR) for each gene and the combined panel. Additionally, the Reactome database was analyzed to identify biological pathways associated with these genes.</p><p><strong>Results: </strong>All four genes demonstrated significantly higher expression levels in breast cancer samples, correlating with advanced disease stages, lymph node involvement, and triple-negative breast cancer status. <i>E2F8</i> expression was notably associated with estrogen receptor (ER) and progesterone receptor (PR) positivity, while <i>MACC1</i> expression correlated with ER negativity. Survival analysis revealed that 6 out of 40 patients expired within five years. Kaplan-Meier analysis indicated that higher expression levels of <i>E2F8</i> (HR 14.80, p=0.0015), <i>LIN28b</i> (HR 9.259, p=0.0071), <i>MACC1</i> (HR 12.49, p=0.0027), and <i>CCT3</i> (HR 7.315, p=0.0158) were significantly associated with reduced recurrence-free survival. The hazard ratio for the combined gene panel was 15.367 (p<0.0001). Reactome analysis revealed that these genes are involved in critical biological pathways, including actin folding by CCT TriC and TP53 regulation of G1 cell cycle arrest.</p><p><strong>Conclusions: </strong>Our findings suggest that this four-gene panel holds significant promise as a robust prognostic tool for breast cancer survival. This research paves the way for further investigations into targeted therapies and personalized medicine approaches in the management of breast cancer.</p>\",\"PeriodicalId\":14492,\"journal\":{\"name\":\"Iranian Journal of Biotechnology\",\"volume\":\"23 2\",\"pages\":\"e4051\"},\"PeriodicalIF\":1.5000,\"publicationDate\":\"2025-04-01\",\"publicationTypes\":\"Journal Article\",\"fieldsOfStudy\":null,\"isOpenAccess\":false,\"openAccessPdf\":\"https://www.ncbi.nlm.nih.gov/pmc/articles/PMC12374123/pdf/\",\"citationCount\":\"0\",\"resultStr\":null,\"platform\":\"Semanticscholar\",\"paperid\":null,\"PeriodicalName\":\"Iranian Journal of Biotechnology\",\"FirstCategoryId\":\"5\",\"ListUrlMain\":\"https://doi.org/10.30498/ijb.2025.497569.4051\",\"RegionNum\":4,\"RegionCategory\":\"生物学\",\"ArticlePicture\":[],\"TitleCN\":null,\"AbstractTextCN\":null,\"PMCID\":null,\"EPubDate\":\"\",\"PubModel\":\"\",\"JCR\":\"Q4\",\"JCRName\":\"BIOTECHNOLOGY & APPLIED MICROBIOLOGY\",\"Score\":null,\"Total\":0}","platform":"Semanticscholar","paperid":null,"PeriodicalName":"Iranian Journal of Biotechnology","FirstCategoryId":"5","ListUrlMain":"https://doi.org/10.30498/ijb.2025.497569.4051","RegionNum":4,"RegionCategory":"生物学","ArticlePicture":[],"TitleCN":null,"AbstractTextCN":null,"PMCID":null,"EPubDate":"","PubModel":"","JCR":"Q4","JCRName":"BIOTECHNOLOGY & APPLIED MICROBIOLOGY","Score":null,"Total":0}
引用次数: 0

摘要

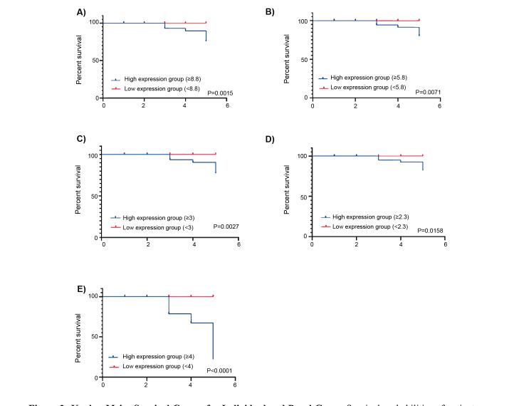
背景:乳腺癌仍然是女性癌症相关死亡的主要原因,迫切需要可靠的生物标志物来帮助预后和治疗分层。目的:本研究旨在评价e2f8、LIN28b、MACC1、cct3四个特异性基因在乳腺癌肿瘤中相对于邻近正常组织的RNA表达水平,并评估其与临床参数和无复发生存期的预后意义。材料和方法:采用SYBR Green实时荧光定量PCR检测E2F8、LIN28b、MACC1、CCT3的RNA表达水平。基因表达数据与临床参数相关,包括疾病分期、淋巴结受累和三阴性状态。进行生存分析以评估这些基因在诊断后5年内与复发有关的预后意义,并确定每个基因的中位数表达截止值和小组的总体中位数。Kaplan-Meier生存分析用于评估基因表达与无复发生存之间的关系,计算每个基因和组合面板的风险比(HR)。此外,还分析了Reactome数据库,以确定与这些基因相关的生物学途径。结果:所有四种基因在乳腺癌样本中表现出显著的高表达水平,与疾病晚期、淋巴结受累和乳腺癌三阴性状态相关。E2F8表达与雌激素受体(ER)和孕激素受体(PR)阳性相关,而MACC1表达与ER阴性相关。生存分析显示,40例患者中有6例在5年内死亡。Kaplan-Meier分析显示,较高表达水平的E2F8 (HR 14.80, p=0.0015)、LIN28b (HR 9.259, p=0.0071)、MACC1 (HR 12.49, p=0.0027)和CCT3 (HR 7.315, p=0.0158)与降低的无复发生存率显著相关。联合基因组的风险比为15.367(结论:我们的研究结果表明,这种四基因组作为乳腺癌生存的可靠预后工具具有重要的前景。这项研究为进一步研究乳腺癌的靶向治疗和个性化治疗方法铺平了道路。
本文章由计算机程序翻译,如有差异,请以英文原文为准。

Prognostic Significance of <i>E2F8, LIN28b, MACC1</i>, and <i>CCT3</i> Genes in Breast Cancer: Implications for Survival and Therapeutic Stratification.

Prognostic Significance of <i>E2F8, LIN28b, MACC1</i>, and <i>CCT3</i> Genes in Breast Cancer: Implications for Survival and Therapeutic Stratification.

Prognostic Significance of <i>E2F8, LIN28b, MACC1</i>, and <i>CCT3</i> Genes in Breast Cancer: Implications for Survival and Therapeutic Stratification.

Prognostic Significance of E2F8, LIN28b, MACC1, and CCT3 Genes in Breast Cancer: Implications for Survival and Therapeutic Stratification.

Background: Breast cancer remains a leading cause of cancer-related mortality among women, highlighting the urgent need for reliable biomarkers that can aid in prognosis and therapeutic stratification.

Objectives: This study aimed to evaluate the RNA expression levels of four specific genes-E2F8, LIN28b, MACC1, and CCT3-in breast cancer tumors compared to adjacent normal tissues, and to assess their prognostic significance in relation to clinical parameters and recurrence-free survival.

Materials and methods: The RNA expression levels of E2F8, LIN28b, MACC1, and CCT3 were examined using SYBR Green real-time PCR. Gene expression data were correlated with clinical parameters, including disease stage, lymph node involvement, and triple-negative status. Survival analysis was conducted to evaluate the prognostic significance of these genes concerning recurrence within five years post-diagnosis, with median expression cutoffs established for each gene and the overall median for the panel. Kaplan-Meier survival analysis was employed to assess the relationship between gene expression and recurrence-free survival, calculating hazard ratios (HR) for each gene and the combined panel. Additionally, the Reactome database was analyzed to identify biological pathways associated with these genes.

Results: All four genes demonstrated significantly higher expression levels in breast cancer samples, correlating with advanced disease stages, lymph node involvement, and triple-negative breast cancer status. E2F8 expression was notably associated with estrogen receptor (ER) and progesterone receptor (PR) positivity, while MACC1 expression correlated with ER negativity. Survival analysis revealed that 6 out of 40 patients expired within five years. Kaplan-Meier analysis indicated that higher expression levels of E2F8 (HR 14.80, p=0.0015), LIN28b (HR 9.259, p=0.0071), MACC1 (HR 12.49, p=0.0027), and CCT3 (HR 7.315, p=0.0158) were significantly associated with reduced recurrence-free survival. The hazard ratio for the combined gene panel was 15.367 (p<0.0001). Reactome analysis revealed that these genes are involved in critical biological pathways, including actin folding by CCT TriC and TP53 regulation of G1 cell cycle arrest.

Conclusions: Our findings suggest that this four-gene panel holds significant promise as a robust prognostic tool for breast cancer survival. This research paves the way for further investigations into targeted therapies and personalized medicine approaches in the management of breast cancer.

求助全文
通过发布文献求助,成功后即可免费获取论文全文。 去求助
来源期刊
Iranian Journal of Biotechnology
Iranian Journal of Biotechnology BIOTECHNOLOGY & APPLIED MICROBIOLOGY-
CiteScore
2.60
自引率
7.70%
发文量
20
期刊介绍: Iranian Journal of Biotechnology (IJB) is published quarterly by the National Institute of Genetic Engineering and Biotechnology. IJB publishes original scientific research papers in the broad area of Biotechnology such as, Agriculture, Animal and Marine Sciences, Basic Sciences, Bioinformatics, Biosafety and Bioethics, Environment, Industry and Mining and Medical Sciences.
×
引用
GB/T 7714-2015
复制
MLA
复制
APA
复制
导出至
BibTeX EndNote RefMan NoteFirst NoteExpress
×
提示
您的信息不完整,为了账户安全,请先补充。
现在去补充
×
提示
您因"违规操作"
具体请查看互助需知
我知道了
×
提示
确定
请完成安全验证×
copy
已复制链接
快去分享给好友吧!
我知道了
右上角分享
点击右上角分享
0
联系我们:info@booksci.cn Book学术提供免费学术资源搜索服务,方便国内外学者检索中英文文献。致力于提供最便捷和优质的服务体验。 Copyright © 2023 布克学术 All rights reserved.
京ICP备2023020795号-1
ghs 京公网安备 11010802042870号
Book学术文献互助
Book学术文献互助群
群 号:604180095
Book学术官方微信