在LPS暴露前用zymosan预先刺激精确切割的牛乳房片,表明训练免疫的各个方面,特别是在没有FCS的情况下。

IF 2.8 4区 医学 Q3 BIOCHEMISTRY & MOLECULAR BIOLOGY
Innate Immunity Pub Date : 2025-01-01 Epub Date: 2025-08-21 DOI:10.1177/17534259251360484
Viviane Filor, Joanna Myslinska, Amitis Saliani, Jesmond Dalli, Peter Olinga, Wolfgang Bäumer, Dirk Werling
{"title":"在LPS暴露前用zymosan预先刺激精确切割的牛乳房片,表明训练免疫的各个方面,特别是在没有FCS的情况下。","authors":"Viviane Filor, Joanna Myslinska, Amitis Saliani, Jesmond Dalli, Peter Olinga, Wolfgang Bäumer, Dirk Werling","doi":"10.1177/17534259251360484","DOIUrl":null,"url":null,"abstract":"<p><p>Mastitis in cattle poses a significant health challenge and results in substantial economic losses for the dairy industry. This study aimed to extend the existing precision-cut bovine udder slices (PCBUS) model as an <i>in vitro</i> model to explore the potential of inducing trained immunity in the udder with the goal to use the resulting knowledge for potential new treatment strategies. Interestingly, incubation of PCBUS with 10% fetal calf serum (FCS), but no 2% or FCS-free, negatively affected the production of some of the chemokines/cytokines analysed. When trained immunity was induced by zymosan, followed by stimulation with <i>E. coli</i>-derived lipopolysaccharide (LPS), production of interleukin (IL)-1β, IL-6, tumor necrosis factor α and interferon (IFNγ) was downregulated while production of IL-17A and pro-resolving lipid mediators (leukotrienes and prostaglandins) was upregulated. While the current experimental setup did not definitively confirm the induction of trained immunity for all parameters analysed in PCBUS, it validated the utility of PCBUS as a robust <i>in vitro</i> model for studying bovine udder inflammation. This model offers a promising platform for developing innovative mastitis treatments, particularly given the growing concern over antimicrobial resistance, as well as offering alternatives to the use of live animals in experimental studies in line with the 3Rs principles. It also provides a valuable tool for advancing our understanding of immune responses in the bovine udder. By adapting the precision-cut tissue slice technique to bovine udders, this model enables extensive research into new therapeutic approaches and supports basic research efforts to characterise complex pathophysiological processes associated with mastitis. Furthermore, our data highlight the potential limitations of FCS in <i>in vitro</i> studies. Our data should not only stimulate the discussion about FCS in homologues or heterologues species, but should also be kept in mind regarding the need for foetal calves to generate FCS in line with the 3Rs guideline.</p>","PeriodicalId":13676,"journal":{"name":"Innate Immunity","volume":"31 ","pages":"17534259251360484"},"PeriodicalIF":2.8000,"publicationDate":"2025-01-01","publicationTypes":"Journal Article","fieldsOfStudy":null,"isOpenAccess":false,"openAccessPdf":"https://www.ncbi.nlm.nih.gov/pmc/articles/PMC12374038/pdf/","citationCount":"0","resultStr":"{\"title\":\"Pre-stimulation of precision-cut bovine udder slices with zymosan before LPS exposure indicates aspects of trained immunity especially in the absence of FCS.\",\"authors\":\"Viviane Filor, Joanna Myslinska, Amitis Saliani, Jesmond Dalli, Peter Olinga, Wolfgang Bäumer, Dirk Werling\",\"doi\":\"10.1177/17534259251360484\",\"DOIUrl\":null,\"url\":null,\"abstract\":\"<p><p>Mastitis in cattle poses a significant health challenge and results in substantial economic losses for the dairy industry. This study aimed to extend the existing precision-cut bovine udder slices (PCBUS) model as an <i>in vitro</i> model to explore the potential of inducing trained immunity in the udder with the goal to use the resulting knowledge for potential new treatment strategies. Interestingly, incubation of PCBUS with 10% fetal calf serum (FCS), but no 2% or FCS-free, negatively affected the production of some of the chemokines/cytokines analysed. When trained immunity was induced by zymosan, followed by stimulation with <i>E. coli</i>-derived lipopolysaccharide (LPS), production of interleukin (IL)-1β, IL-6, tumor necrosis factor α and interferon (IFNγ) was downregulated while production of IL-17A and pro-resolving lipid mediators (leukotrienes and prostaglandins) was upregulated. While the current experimental setup did not definitively confirm the induction of trained immunity for all parameters analysed in PCBUS, it validated the utility of PCBUS as a robust <i>in vitro</i> model for studying bovine udder inflammation. This model offers a promising platform for developing innovative mastitis treatments, particularly given the growing concern over antimicrobial resistance, as well as offering alternatives to the use of live animals in experimental studies in line with the 3Rs principles. It also provides a valuable tool for advancing our understanding of immune responses in the bovine udder. By adapting the precision-cut tissue slice technique to bovine udders, this model enables extensive research into new therapeutic approaches and supports basic research efforts to characterise complex pathophysiological processes associated with mastitis. Furthermore, our data highlight the potential limitations of FCS in <i>in vitro</i> studies. Our data should not only stimulate the discussion about FCS in homologues or heterologues species, but should also be kept in mind regarding the need for foetal calves to generate FCS in line with the 3Rs guideline.</p>\",\"PeriodicalId\":13676,\"journal\":{\"name\":\"Innate Immunity\",\"volume\":\"31 \",\"pages\":\"17534259251360484\"},\"PeriodicalIF\":2.8000,\"publicationDate\":\"2025-01-01\",\"publicationTypes\":\"Journal Article\",\"fieldsOfStudy\":null,\"isOpenAccess\":false,\"openAccessPdf\":\"https://www.ncbi.nlm.nih.gov/pmc/articles/PMC12374038/pdf/\",\"citationCount\":\"0\",\"resultStr\":null,\"platform\":\"Semanticscholar\",\"paperid\":null,\"PeriodicalName\":\"Innate Immunity\",\"FirstCategoryId\":\"99\",\"ListUrlMain\":\"https://doi.org/10.1177/17534259251360484\",\"RegionNum\":4,\"RegionCategory\":\"医学\",\"ArticlePicture\":[],\"TitleCN\":null,\"AbstractTextCN\":null,\"PMCID\":null,\"EPubDate\":\"2025/8/21 0:00:00\",\"PubModel\":\"Epub\",\"JCR\":\"Q3\",\"JCRName\":\"BIOCHEMISTRY & MOLECULAR BIOLOGY\",\"Score\":null,\"Total\":0}","platform":"Semanticscholar","paperid":null,"PeriodicalName":"Innate Immunity","FirstCategoryId":"99","ListUrlMain":"https://doi.org/10.1177/17534259251360484","RegionNum":4,"RegionCategory":"医学","ArticlePicture":[],"TitleCN":null,"AbstractTextCN":null,"PMCID":null,"EPubDate":"2025/8/21 0:00:00","PubModel":"Epub","JCR":"Q3","JCRName":"BIOCHEMISTRY & MOLECULAR BIOLOGY","Score":null,"Total":0}
引用次数: 0

摘要

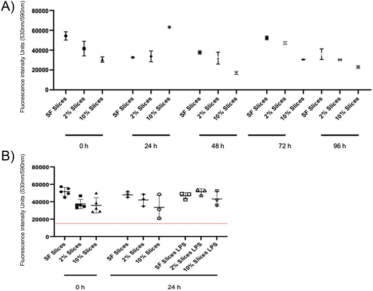
奶牛乳腺炎对健康构成重大挑战,并给乳制品行业造成重大经济损失。本研究旨在扩展现有的精确切割牛乳房切片(PCBUS)模型作为体外模型,探索在乳房中诱导训练免疫的潜力,目的是利用所获得的知识来开发潜在的新治疗策略。有趣的是,将PCBUS与10%的胎牛血清(FCS)孵育,而不含2%或不含FCS,会对所分析的一些趋化因子/细胞因子的产生产生负面影响。通过酶生诱导训练免疫,再用大肠杆菌衍生的脂多糖(LPS)刺激,白细胞介素(IL)-1β、IL-6、肿瘤坏死因子α和干扰素(IFNγ)的产生下调,而IL- 17a和促分解脂质介质(白三烯和前列腺素)的产生上调。虽然目前的实验设置并没有明确证实PCBUS中分析的所有参数都能诱导训练免疫,但它验证了PCBUS作为研究牛乳腺炎症的强大体外模型的实用性。这一模式为开发创新的乳腺炎治疗方法提供了一个有希望的平台,特别是考虑到对抗菌素耐药性的日益关注,并为在符合3Rs原则的实验研究中使用活体动物提供了替代方案。它也为提高我们对牛乳房免疫反应的理解提供了一个有价值的工具。通过将精确切割组织切片技术应用于牛乳房,该模型可以广泛研究新的治疗方法,并支持与乳腺炎相关的复杂病理生理过程的基础研究工作。此外,我们的数据强调了FCS在体外研究中的潜在局限性。我们的数据不仅应该激发关于同系物或异系物物种中FCS的讨论,而且还应该记住胎儿需要根据3Rs指南产生FCS。
本文章由计算机程序翻译,如有差异,请以英文原文为准。

Pre-stimulation of precision-cut bovine udder slices with zymosan before LPS exposure indicates aspects of trained immunity especially in the absence of FCS.

Pre-stimulation of precision-cut bovine udder slices with zymosan before LPS exposure indicates aspects of trained immunity especially in the absence of FCS.

Pre-stimulation of precision-cut bovine udder slices with zymosan before LPS exposure indicates aspects of trained immunity especially in the absence of FCS.

Pre-stimulation of precision-cut bovine udder slices with zymosan before LPS exposure indicates aspects of trained immunity especially in the absence of FCS.

Mastitis in cattle poses a significant health challenge and results in substantial economic losses for the dairy industry. This study aimed to extend the existing precision-cut bovine udder slices (PCBUS) model as an in vitro model to explore the potential of inducing trained immunity in the udder with the goal to use the resulting knowledge for potential new treatment strategies. Interestingly, incubation of PCBUS with 10% fetal calf serum (FCS), but no 2% or FCS-free, negatively affected the production of some of the chemokines/cytokines analysed. When trained immunity was induced by zymosan, followed by stimulation with E. coli-derived lipopolysaccharide (LPS), production of interleukin (IL)-1β, IL-6, tumor necrosis factor α and interferon (IFNγ) was downregulated while production of IL-17A and pro-resolving lipid mediators (leukotrienes and prostaglandins) was upregulated. While the current experimental setup did not definitively confirm the induction of trained immunity for all parameters analysed in PCBUS, it validated the utility of PCBUS as a robust in vitro model for studying bovine udder inflammation. This model offers a promising platform for developing innovative mastitis treatments, particularly given the growing concern over antimicrobial resistance, as well as offering alternatives to the use of live animals in experimental studies in line with the 3Rs principles. It also provides a valuable tool for advancing our understanding of immune responses in the bovine udder. By adapting the precision-cut tissue slice technique to bovine udders, this model enables extensive research into new therapeutic approaches and supports basic research efforts to characterise complex pathophysiological processes associated with mastitis. Furthermore, our data highlight the potential limitations of FCS in in vitro studies. Our data should not only stimulate the discussion about FCS in homologues or heterologues species, but should also be kept in mind regarding the need for foetal calves to generate FCS in line with the 3Rs guideline.

求助全文
通过发布文献求助,成功后即可免费获取论文全文。 去求助
来源期刊
Innate Immunity
Innate Immunity 生物-免疫学
CiteScore
7.20
自引率
0.00%
发文量
20
审稿时长
6-12 weeks
期刊介绍: Innate Immunity is a highly ranked, peer-reviewed scholarly journal and is the official journal of the International Endotoxin & Innate Immunity Society (IEIIS). The journal welcomes manuscripts from researchers actively working on all aspects of innate immunity including biologically active bacterial, viral, fungal, parasitic, and plant components, as well as relevant cells, their receptors, signaling pathways, and induced mediators. The aim of the Journal is to provide a single, interdisciplinary forum for the dissemination of new information on innate immunity in humans, animals, and plants to researchers. The Journal creates a vehicle for the publication of articles encompassing all areas of research, basic, applied, and clinical. The subject areas of interest include, but are not limited to, research in biochemistry, biophysics, cell biology, chemistry, clinical medicine, immunology, infectious disease, microbiology, molecular biology, and pharmacology.
×
引用
GB/T 7714-2015
复制
MLA
复制
APA
复制
导出至
BibTeX EndNote RefMan NoteFirst NoteExpress
×
提示
您的信息不完整,为了账户安全,请先补充。
现在去补充
×
提示
您因"违规操作"
具体请查看互助需知
我知道了
×
提示
确定
请完成安全验证×
copy
已复制链接
快去分享给好友吧!
我知道了
右上角分享
点击右上角分享
0
联系我们:info@booksci.cn Book学术提供免费学术资源搜索服务,方便国内外学者检索中英文文献。致力于提供最便捷和优质的服务体验。 Copyright © 2023 布克学术 All rights reserved.
京ICP备2023020795号-1
ghs 京公网安备 11010802042870号
Book学术文献互助
Book学术文献互助群
群 号:604180095
Book学术官方微信