儿童急性白血病和念珠菌病患者强化化疗后28天死亡率的预后因素:一项回顾性研究

IF 1.2 Q4 HEMATOLOGY
Tran Thi Kieu My, Hoang Thi Hong, Mai Lan, Tran Quynh Mai, Dang Hoang Hai, Ta Thi Dieu Ngan
{"title":"儿童急性白血病和念珠菌病患者强化化疗后28天死亡率的预后因素:一项回顾性研究","authors":"Tran Thi Kieu My, Hoang Thi Hong, Mai Lan, Tran Quynh Mai, Dang Hoang Hai, Ta Thi Dieu Ngan","doi":"10.3390/hematolrep17040038","DOIUrl":null,"url":null,"abstract":"<p><p><b>Background/Objective:</b> Candidemia is a serious complication following intensive chemotherapy and is associated with high mortality in pediatric patients. This study aimed to identify the factors associated with 28-day mortality in pediatric patients with candidemia. <b>Methods:</b> We retrospectively analyzed 63 pediatric patients diagnosed with acute leukemia and candidemia following intensive chemotherapy. Clinical characteristics, laboratory findings, and epidemiological data were collected. Antifungal susceptibility data were available for 60 patients. Kaplan-Meier survival analysis was used to estimate the 28-day mortality rate, and Cox regression was performed to identify prognostic factors. <b>Results:</b> The 28-day mortality rate among the 63 patients (57.1% male, median age 9.74 years) was 36.5%. <i>Candida tropicalis</i> was the predominant species (96.8%). Antifungal susceptibility rates were 100% for amphotericin B and caspofungin and 22.2% for fluconazole. The factors independently associated with reduced 28-day mortality were an absolute lymphocyte count (ALC) ≥ 0.2 G/L at the time of candidemia diagnosis (5.3% vs. 50% mortality; hazard ratio [HR] = 0.08; 95% confidence interval [CI], 0.01-0.61), the use of antifungal prophylaxis (AFP) (26.3% vs. 52%; HR 0.31; 95% CI, 0.13-0.74), and granulocyte transfusion (GTX) combined with granulocyte colony-stimulating factor (G-CSF) (20% vs. 47.4%; HR = 0.31; 95% CI, 0.11-0.85). <b>Conclusions:</b> Our findings suggest that an ALC ≥ 0.2 G/L, AFP, and the administration of a GTX combined with G-CSF may be considered favorable prognostic factors.</p>","PeriodicalId":12829,"journal":{"name":"Hematology Reports","volume":"17 4","pages":""},"PeriodicalIF":1.2000,"publicationDate":"2025-07-30","publicationTypes":"Journal Article","fieldsOfStudy":null,"isOpenAccess":false,"openAccessPdf":"https://www.ncbi.nlm.nih.gov/pmc/articles/PMC12386261/pdf/","citationCount":"0","resultStr":"{\"title\":\"Prognostic Factors for 28-Day Mortality in Pediatric Patients with Acute Leukemia and Candidemia Following Intensive Chemotherapy: A Retrospective Study.\",\"authors\":\"Tran Thi Kieu My, Hoang Thi Hong, Mai Lan, Tran Quynh Mai, Dang Hoang Hai, Ta Thi Dieu Ngan\",\"doi\":\"10.3390/hematolrep17040038\",\"DOIUrl\":null,\"url\":null,\"abstract\":\"<p><p><b>Background/Objective:</b> Candidemia is a serious complication following intensive chemotherapy and is associated with high mortality in pediatric patients. This study aimed to identify the factors associated with 28-day mortality in pediatric patients with candidemia. <b>Methods:</b> We retrospectively analyzed 63 pediatric patients diagnosed with acute leukemia and candidemia following intensive chemotherapy. Clinical characteristics, laboratory findings, and epidemiological data were collected. Antifungal susceptibility data were available for 60 patients. Kaplan-Meier survival analysis was used to estimate the 28-day mortality rate, and Cox regression was performed to identify prognostic factors. <b>Results:</b> The 28-day mortality rate among the 63 patients (57.1% male, median age 9.74 years) was 36.5%. <i>Candida tropicalis</i> was the predominant species (96.8%). Antifungal susceptibility rates were 100% for amphotericin B and caspofungin and 22.2% for fluconazole. The factors independently associated with reduced 28-day mortality were an absolute lymphocyte count (ALC) ≥ 0.2 G/L at the time of candidemia diagnosis (5.3% vs. 50% mortality; hazard ratio [HR] = 0.08; 95% confidence interval [CI], 0.01-0.61), the use of antifungal prophylaxis (AFP) (26.3% vs. 52%; HR 0.31; 95% CI, 0.13-0.74), and granulocyte transfusion (GTX) combined with granulocyte colony-stimulating factor (G-CSF) (20% vs. 47.4%; HR = 0.31; 95% CI, 0.11-0.85). <b>Conclusions:</b> Our findings suggest that an ALC ≥ 0.2 G/L, AFP, and the administration of a GTX combined with G-CSF may be considered favorable prognostic factors.</p>\",\"PeriodicalId\":12829,\"journal\":{\"name\":\"Hematology Reports\",\"volume\":\"17 4\",\"pages\":\"\"},\"PeriodicalIF\":1.2000,\"publicationDate\":\"2025-07-30\",\"publicationTypes\":\"Journal Article\",\"fieldsOfStudy\":null,\"isOpenAccess\":false,\"openAccessPdf\":\"https://www.ncbi.nlm.nih.gov/pmc/articles/PMC12386261/pdf/\",\"citationCount\":\"0\",\"resultStr\":null,\"platform\":\"Semanticscholar\",\"paperid\":null,\"PeriodicalName\":\"Hematology Reports\",\"FirstCategoryId\":\"1085\",\"ListUrlMain\":\"https://doi.org/10.3390/hematolrep17040038\",\"RegionNum\":0,\"RegionCategory\":null,\"ArticlePicture\":[],\"TitleCN\":null,\"AbstractTextCN\":null,\"PMCID\":null,\"EPubDate\":\"\",\"PubModel\":\"\",\"JCR\":\"Q4\",\"JCRName\":\"HEMATOLOGY\",\"Score\":null,\"Total\":0}","platform":"Semanticscholar","paperid":null,"PeriodicalName":"Hematology Reports","FirstCategoryId":"1085","ListUrlMain":"https://doi.org/10.3390/hematolrep17040038","RegionNum":0,"RegionCategory":null,"ArticlePicture":[],"TitleCN":null,"AbstractTextCN":null,"PMCID":null,"EPubDate":"","PubModel":"","JCR":"Q4","JCRName":"HEMATOLOGY","Score":null,"Total":0}
引用次数: 0

摘要

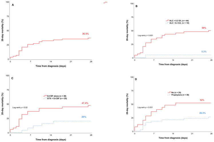
背景/目的:念珠菌病是强化化疗后的一种严重并发症,与儿科患者的高死亡率相关。本研究旨在确定与念珠菌病患儿28天死亡率相关的因素。方法:回顾性分析63例经强化化疗后诊断为急性白血病和念珠菌血症的儿童患者。收集临床特征、实验室结果和流行病学资料。获得了60例患者的抗真菌药敏数据。Kaplan-Meier生存分析用于估计28天死亡率,Cox回归分析用于确定预后因素。结果:63例患者(男性57.1%,中位年龄9.74岁)28天死亡率为36.5%。优势种为热带假丝酵母(96.8%)。两性霉素B和卡泊芬净的抗真菌敏感性为100%,氟康唑的敏感性为22.2%。与降低28天死亡率独立相关的因素是念珠菌病诊断时绝对淋巴细胞计数(ALC)≥0.2 G/L(5.3%对50%死亡率;风险比[HR] = 0.08; 95%可信区间[CI], 0.01-0.61)、抗真菌预防(AFP)的使用(26.3%对52%;HR 0.31; 95% CI, 0.13-0.74)和粒细胞输注(GTX)联合粒细胞集落刺激因子(G- csf)(20%对47.4%;HR = 0.31; 95% CI, 0.11-0.85)。结论:我们的研究结果表明,ALC≥0.2 G/L、AFP和GTX联合G- csf可能被认为是有利的预后因素。
本文章由计算机程序翻译,如有差异,请以英文原文为准。

Prognostic Factors for 28-Day Mortality in Pediatric Patients with Acute Leukemia and Candidemia Following Intensive Chemotherapy: A Retrospective Study.

Prognostic Factors for 28-Day Mortality in Pediatric Patients with Acute Leukemia and Candidemia Following Intensive Chemotherapy: A Retrospective Study.

Prognostic Factors for 28-Day Mortality in Pediatric Patients with Acute Leukemia and Candidemia Following Intensive Chemotherapy: A Retrospective Study.

Background/Objective: Candidemia is a serious complication following intensive chemotherapy and is associated with high mortality in pediatric patients. This study aimed to identify the factors associated with 28-day mortality in pediatric patients with candidemia. Methods: We retrospectively analyzed 63 pediatric patients diagnosed with acute leukemia and candidemia following intensive chemotherapy. Clinical characteristics, laboratory findings, and epidemiological data were collected. Antifungal susceptibility data were available for 60 patients. Kaplan-Meier survival analysis was used to estimate the 28-day mortality rate, and Cox regression was performed to identify prognostic factors. Results: The 28-day mortality rate among the 63 patients (57.1% male, median age 9.74 years) was 36.5%. Candida tropicalis was the predominant species (96.8%). Antifungal susceptibility rates were 100% for amphotericin B and caspofungin and 22.2% for fluconazole. The factors independently associated with reduced 28-day mortality were an absolute lymphocyte count (ALC) ≥ 0.2 G/L at the time of candidemia diagnosis (5.3% vs. 50% mortality; hazard ratio [HR] = 0.08; 95% confidence interval [CI], 0.01-0.61), the use of antifungal prophylaxis (AFP) (26.3% vs. 52%; HR 0.31; 95% CI, 0.13-0.74), and granulocyte transfusion (GTX) combined with granulocyte colony-stimulating factor (G-CSF) (20% vs. 47.4%; HR = 0.31; 95% CI, 0.11-0.85). Conclusions: Our findings suggest that an ALC ≥ 0.2 G/L, AFP, and the administration of a GTX combined with G-CSF may be considered favorable prognostic factors.

求助全文
通过发布文献求助,成功后即可免费获取论文全文。 去求助
来源期刊
Hematology Reports
Hematology Reports HEMATOLOGY-
CiteScore
0.90
自引率
0.00%
发文量
47
审稿时长
10 weeks
×
引用
GB/T 7714-2015
复制
MLA
复制
APA
复制
导出至
BibTeX EndNote RefMan NoteFirst NoteExpress
×
提示
您的信息不完整,为了账户安全,请先补充。
现在去补充
×
提示
您因"违规操作"
具体请查看互助需知
我知道了
×
提示
确定
请完成安全验证×
copy
已复制链接
快去分享给好友吧!
我知道了
右上角分享
点击右上角分享
0
联系我们:info@booksci.cn Book学术提供免费学术资源搜索服务,方便国内外学者检索中英文文献。致力于提供最便捷和优质的服务体验。 Copyright © 2023 布克学术 All rights reserved.
京ICP备2023020795号-1
ghs 京公网安备 11010802042870号
Book学术文献互助
Book学术文献互助群
群 号:604180095
Book学术官方微信