在原发性醛固酮增多症合并双侧肾上腺病变的手术决策和预后预测中,靶向cxcr4的68ga - pentxapet /CT是否是一种可靠的无avs模式?

IF 3.1 3区 医学 Q1 RADIOLOGY, NUCLEAR MEDICINE & MEDICAL IMAGING
Zhiwei Shu, Yao He, Tingting Long, Min Guo, Zhuying Xia, Xiaodan Fu, Bingsheng Li, Bo Zhang, Yi Yang, Jiaxian Chen, Tiejian Jiang, Xiang Chen, Kai Cheng, Longfei Liu, Yu Gan
{"title":"在原发性醛固酮增多症合并双侧肾上腺病变的手术决策和预后预测中,靶向cxcr4的68ga - pentxapet /CT是否是一种可靠的无avs模式?","authors":"Zhiwei Shu, Yao He, Tingting Long, Min Guo, Zhuying Xia, Xiaodan Fu, Bingsheng Li, Bo Zhang, Yi Yang, Jiaxian Chen, Tiejian Jiang, Xiang Chen, Kai Cheng, Longfei Liu, Yu Gan","doi":"10.1186/s13550-025-01309-4","DOIUrl":null,"url":null,"abstract":"<p><strong>Background: </strong>For patients diagnosed with primary aldosteronism (PA) accompanied by bilateral adrenal lesions, identifying optimal candidates for surgical intervention remains a significant clinical challenge. Although adrenal venous sampling (AVS) is currently the gold standard for lateralizing aldosterone hypersecretion, its technical complexity, invasiveness, and interpretive difficulties restrict its widespread adoption. In this study, we aimed to investigate the clinical application of <sup>68</sup>Ga-pentixafor positron emission tomography/computed tomography (PET/CT) as a non-invasive imaging modality in AVS-free surgical decision-making for PA patients with bilateral adrenal lesions.</p><p><strong>Results: </strong>Among the 51 patients who underwent <sup>68</sup>Ga-pentixafor PET/CT, 36 patients had adrenalectomy, with the surgical side determined by PET/CT lateralization. The postoperative complete biochemical and clinical success rates for these patients were 91.67% and 100%, respectively. Additionally, receiver operating characteristic curve analysis indicated that PET/CT results were favorable predictors of postoperative outcomes in surgical patients. Postoperative pathological evaluation of <sup>68</sup>Ga-pentixafor PET/CT-guided surgical patients revealed that 86.11% had adrenocortical adenomas with positive CYP11B2 and CXCR4 expression.</p><p><strong>Conclusion: </strong>CXCR4-targeted <sup>68</sup>Ga-pentixafor PET/CT can be effectively utilized in surgery decision-making for PA patients with bilateral adrenal lesions, offering a potential alternative to AVS and maybe applied to predict postoperative biochemical and clinical success.</p><p><strong>Trial registration: </strong><sup>68</sup>Ga-Pentixafor PET/CT for Guiding Surgical Treatment of Primary Aldosteronism With Bilateral Adrenal Lesions; Trial registration number: NCT06247566; Date of registration: 2021-11-01; URL of trial registry record: https://clinicaltrials.gov/study/NCT06247566 .</p>","PeriodicalId":11611,"journal":{"name":"EJNMMI Research","volume":"15 1","pages":"111"},"PeriodicalIF":3.1000,"publicationDate":"2025-08-28","publicationTypes":"Journal Article","fieldsOfStudy":null,"isOpenAccess":false,"openAccessPdf":"https://www.ncbi.nlm.nih.gov/pmc/articles/PMC12394099/pdf/","citationCount":"0","resultStr":"{\"title\":\"Is CXCR4-targeted <sup>68</sup>Ga-pentixafor PET/CT a reliable AVS-free modality for surgical decision-making and prognostic prediction in primary aldosteronism with bilateral adrenal lesions?\",\"authors\":\"Zhiwei Shu, Yao He, Tingting Long, Min Guo, Zhuying Xia, Xiaodan Fu, Bingsheng Li, Bo Zhang, Yi Yang, Jiaxian Chen, Tiejian Jiang, Xiang Chen, Kai Cheng, Longfei Liu, Yu Gan\",\"doi\":\"10.1186/s13550-025-01309-4\",\"DOIUrl\":null,\"url\":null,\"abstract\":\"<p><strong>Background: </strong>For patients diagnosed with primary aldosteronism (PA) accompanied by bilateral adrenal lesions, identifying optimal candidates for surgical intervention remains a significant clinical challenge. Although adrenal venous sampling (AVS) is currently the gold standard for lateralizing aldosterone hypersecretion, its technical complexity, invasiveness, and interpretive difficulties restrict its widespread adoption. In this study, we aimed to investigate the clinical application of <sup>68</sup>Ga-pentixafor positron emission tomography/computed tomography (PET/CT) as a non-invasive imaging modality in AVS-free surgical decision-making for PA patients with bilateral adrenal lesions.</p><p><strong>Results: </strong>Among the 51 patients who underwent <sup>68</sup>Ga-pentixafor PET/CT, 36 patients had adrenalectomy, with the surgical side determined by PET/CT lateralization. The postoperative complete biochemical and clinical success rates for these patients were 91.67% and 100%, respectively. Additionally, receiver operating characteristic curve analysis indicated that PET/CT results were favorable predictors of postoperative outcomes in surgical patients. Postoperative pathological evaluation of <sup>68</sup>Ga-pentixafor PET/CT-guided surgical patients revealed that 86.11% had adrenocortical adenomas with positive CYP11B2 and CXCR4 expression.</p><p><strong>Conclusion: </strong>CXCR4-targeted <sup>68</sup>Ga-pentixafor PET/CT can be effectively utilized in surgery decision-making for PA patients with bilateral adrenal lesions, offering a potential alternative to AVS and maybe applied to predict postoperative biochemical and clinical success.</p><p><strong>Trial registration: </strong><sup>68</sup>Ga-Pentixafor PET/CT for Guiding Surgical Treatment of Primary Aldosteronism With Bilateral Adrenal Lesions; Trial registration number: NCT06247566; Date of registration: 2021-11-01; URL of trial registry record: https://clinicaltrials.gov/study/NCT06247566 .</p>\",\"PeriodicalId\":11611,\"journal\":{\"name\":\"EJNMMI Research\",\"volume\":\"15 1\",\"pages\":\"111\"},\"PeriodicalIF\":3.1000,\"publicationDate\":\"2025-08-28\",\"publicationTypes\":\"Journal Article\",\"fieldsOfStudy\":null,\"isOpenAccess\":false,\"openAccessPdf\":\"https://www.ncbi.nlm.nih.gov/pmc/articles/PMC12394099/pdf/\",\"citationCount\":\"0\",\"resultStr\":null,\"platform\":\"Semanticscholar\",\"paperid\":null,\"PeriodicalName\":\"EJNMMI Research\",\"FirstCategoryId\":\"3\",\"ListUrlMain\":\"https://doi.org/10.1186/s13550-025-01309-4\",\"RegionNum\":3,\"RegionCategory\":\"医学\",\"ArticlePicture\":[],\"TitleCN\":null,\"AbstractTextCN\":null,\"PMCID\":null,\"EPubDate\":\"\",\"PubModel\":\"\",\"JCR\":\"Q1\",\"JCRName\":\"RADIOLOGY, NUCLEAR MEDICINE & MEDICAL IMAGING\",\"Score\":null,\"Total\":0}","platform":"Semanticscholar","paperid":null,"PeriodicalName":"EJNMMI Research","FirstCategoryId":"3","ListUrlMain":"https://doi.org/10.1186/s13550-025-01309-4","RegionNum":3,"RegionCategory":"医学","ArticlePicture":[],"TitleCN":null,"AbstractTextCN":null,"PMCID":null,"EPubDate":"","PubModel":"","JCR":"Q1","JCRName":"RADIOLOGY, NUCLEAR MEDICINE & MEDICAL IMAGING","Score":null,"Total":0}
引用次数: 0

摘要

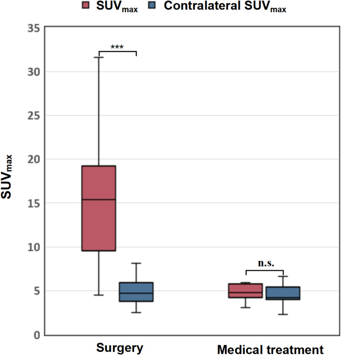
背景:对于诊断为原发性醛固酮增多症(PA)并伴有双侧肾上腺病变的患者,确定手术干预的最佳候选人仍然是一个重大的临床挑战。虽然肾上腺静脉取样(AVS)目前是侧化醛固酮高分泌的金标准,但其技术复杂性、侵入性和解释困难限制了其广泛采用。在本研究中,我们旨在探讨68ga - pentxafor正电子发射断层扫描/计算机断层扫描(PET/CT)作为无创成像方式在PA患者双侧肾上腺病变无avs手术决策中的临床应用。结果:51例行68ga - pentxafor PET/CT的患者中,36例行肾上腺切除术,手术侧位通过PET/CT确定。术后生化完全成功率为91.67%,临床成功率为100%。此外,接受者工作特征曲线分析表明,PET/CT结果是手术患者术后预后的良好预测指标。68ga - pentxa用于PET/ ct引导下手术患者的术后病理评估显示,86.11%的患者有肾上腺皮质腺瘤,CYP11B2和CXCR4阳性表达。结论:cxcr4靶向68ga - pentxafor PET/CT可有效用于PA双侧肾上腺病变患者的手术决策,为AVS提供了潜在的替代方案,可用于预测术后生化和临床成功。试验注册:68ga - pentxafor PET/CT指导双侧肾上腺病变原发性醛固酮增多症的手术治疗试验注册号:NCT06247566;报名日期:20121-11-01;试用注册表记录的URL: https://clinicaltrials.gov/study/NCT06247566。
本文章由计算机程序翻译,如有差异,请以英文原文为准。

Is CXCR4-targeted <sup>68</sup>Ga-pentixafor PET/CT a reliable AVS-free modality for surgical decision-making and prognostic prediction in primary aldosteronism with bilateral adrenal lesions?

Is CXCR4-targeted <sup>68</sup>Ga-pentixafor PET/CT a reliable AVS-free modality for surgical decision-making and prognostic prediction in primary aldosteronism with bilateral adrenal lesions?

Is CXCR4-targeted <sup>68</sup>Ga-pentixafor PET/CT a reliable AVS-free modality for surgical decision-making and prognostic prediction in primary aldosteronism with bilateral adrenal lesions?

Is CXCR4-targeted 68Ga-pentixafor PET/CT a reliable AVS-free modality for surgical decision-making and prognostic prediction in primary aldosteronism with bilateral adrenal lesions?

Background: For patients diagnosed with primary aldosteronism (PA) accompanied by bilateral adrenal lesions, identifying optimal candidates for surgical intervention remains a significant clinical challenge. Although adrenal venous sampling (AVS) is currently the gold standard for lateralizing aldosterone hypersecretion, its technical complexity, invasiveness, and interpretive difficulties restrict its widespread adoption. In this study, we aimed to investigate the clinical application of 68Ga-pentixafor positron emission tomography/computed tomography (PET/CT) as a non-invasive imaging modality in AVS-free surgical decision-making for PA patients with bilateral adrenal lesions.

Results: Among the 51 patients who underwent 68Ga-pentixafor PET/CT, 36 patients had adrenalectomy, with the surgical side determined by PET/CT lateralization. The postoperative complete biochemical and clinical success rates for these patients were 91.67% and 100%, respectively. Additionally, receiver operating characteristic curve analysis indicated that PET/CT results were favorable predictors of postoperative outcomes in surgical patients. Postoperative pathological evaluation of 68Ga-pentixafor PET/CT-guided surgical patients revealed that 86.11% had adrenocortical adenomas with positive CYP11B2 and CXCR4 expression.

Conclusion: CXCR4-targeted 68Ga-pentixafor PET/CT can be effectively utilized in surgery decision-making for PA patients with bilateral adrenal lesions, offering a potential alternative to AVS and maybe applied to predict postoperative biochemical and clinical success.

Trial registration: 68Ga-Pentixafor PET/CT for Guiding Surgical Treatment of Primary Aldosteronism With Bilateral Adrenal Lesions; Trial registration number: NCT06247566; Date of registration: 2021-11-01; URL of trial registry record: https://clinicaltrials.gov/study/NCT06247566 .

求助全文
通过发布文献求助,成功后即可免费获取论文全文。 去求助
来源期刊
EJNMMI Research
EJNMMI Research RADIOLOGY, NUCLEAR MEDICINE & MEDICAL IMAGING&nb-
CiteScore
5.90
自引率
3.10%
发文量
72
审稿时长
13 weeks
期刊介绍: EJNMMI Research publishes new basic, translational and clinical research in the field of nuclear medicine and molecular imaging. Regular features include original research articles, rapid communication of preliminary data on innovative research, interesting case reports, editorials, and letters to the editor. Educational articles on basic sciences, fundamental aspects and controversy related to pre-clinical and clinical research or ethical aspects of research are also welcome. Timely reviews provide updates on current applications, issues in imaging research and translational aspects of nuclear medicine and molecular imaging technologies. The main emphasis is placed on the development of targeted imaging with radiopharmaceuticals within the broader context of molecular probes to enhance understanding and characterisation of the complex biological processes underlying disease and to develop, test and guide new treatment modalities, including radionuclide therapy.
×
引用
GB/T 7714-2015
复制
MLA
复制
APA
复制
导出至
BibTeX EndNote RefMan NoteFirst NoteExpress
×
提示
您的信息不完整,为了账户安全,请先补充。
现在去补充
×
提示
您因"违规操作"
具体请查看互助需知
我知道了
×
提示
确定
请完成安全验证×
copy
已复制链接
快去分享给好友吧!
我知道了
右上角分享
点击右上角分享
0
联系我们:info@booksci.cn Book学术提供免费学术资源搜索服务,方便国内外学者检索中英文文献。致力于提供最便捷和优质的服务体验。 Copyright © 2023 布克学术 All rights reserved.
京ICP备2023020795号-1
ghs 京公网安备 11010802042870号
Book学术文献互助
Book学术文献互助群
群 号:604180095
Book学术官方微信