剂量优化的重组人血小板生成素与eltrombopag在免疫性血小板减少症患者中的作用:一项多中心、随机对照试验(TE-ITP研究)

IF 10 1区 医学 Q1 MEDICINE, GENERAL & INTERNAL
EClinicalMedicine Pub Date : 2025-08-21 eCollection Date: 2025-09-01 DOI:10.1016/j.eclinm.2025.103459
Yunfei Chen, Ting Sun, Da Gao, Wei Wang, Zeping Zhou, Guangxun Gao, Yi Wang, Hu Zhou, Yanping Song, Yinghui Lai, Zhenyu Yan, Jinsong Yan, Jie Bai, Lei Zhang
{"title":"剂量优化的重组人血小板生成素与eltrombopag在免疫性血小板减少症患者中的作用:一项多中心、随机对照试验(TE-ITP研究)","authors":"Yunfei Chen, Ting Sun, Da Gao, Wei Wang, Zeping Zhou, Guangxun Gao, Yi Wang, Hu Zhou, Yanping Song, Yinghui Lai, Zhenyu Yan, Jinsong Yan, Jie Bai, Lei Zhang","doi":"10.1016/j.eclinm.2025.103459","DOIUrl":null,"url":null,"abstract":"<p><strong>Background: </strong>Recombinant human thrombopoietin (rhTPO) at a fixed dose of 300 U/kg/day for 2 weeks has demonstrated good efficacy and safety in adults with immune thrombocytopenia (ITP). This trial aimed to develop a flexible and personalized rhTPO regimen that ensures efficacy and safety beyond previous fixed dose, with eltrombopag as an active comparator.</p><p><strong>Methods: </strong>The TE-ITP trial was conducted in 12 centers across China. Adult ITP patients with platelet count <30 × 10<sup>9</sup>/L were randomised (2:1) to receive rhTPO or eltrombopag. The initial dose in patients with baseline platelet count of 20-30 × 10<sup>9</sup>/L <i>versus</i> <20 × 10<sup>9</sup>/L was 300 <i>versus</i> 600 U/kg/day for rhTPO and 25 <i>versus</i> 50 mg/day for eltrombopag, respectively. Dosage was adjusted weekly according to platelet count, with maximum of 600 U/kg/day for rhTPO and 75 mg/day for eltrombopag. The primary endpoint was the time to first platelet count ≥50 × 10<sup>9</sup>/L. The trial is registered on ClinicalTrials.gov (NCT05583838).</p><p><strong>Findings: </strong>Between November 22, 2022 and January 16, 2024, the trial enrolled 157 patients (median age: 52 years; 104 women): 105 and 52 in the rhTPO and eltrombopag groups, respectively. Baseline platelet count was <20 × 10<sup>9</sup>/L in 57.1% (60/105) and 57.7% (30/52) in the rhTPO and eltrombopag groups, respectively. The median time to the first platelet count ≥50 × 10<sup>9</sup>/L was 7 days (95% CI 6.0-7.0) in the rhTPO group <i>versus</i> 15 days (95% CI 9.0-25.0) in the eltrombopag group (<i>p</i> < 0.001). The risk of bleeding was lower in the rhTPO group (OR 0.523, 95% CI 0.360-0.758; <i>p</i> < 0.001). Adverse events occurred in 45.7% (48/105) and 60.8% (31/52) in the rhTPO and eltrombopag groups, respectively.</p><p><strong>Interpretation: </strong>The optimised rhTPO regimen, with individualized dosing based on platelet response, showed faster platelet elevation and lower bleeding risk than eltrombopag.</p><p><strong>Funding: </strong>This trial was supported by grants from the CAMS Innovation Fund for Medical Sciences (CIFMS) (2023-I2M-2-007), Noncommunicable Chronic Diseases-National Science and Technology Major Project (2023ZD0500803), National Natural Science Foundation of China (82430010), Tianjin Municipal Science and Technology Commission Grant (24ZXZSSS00230).</p>","PeriodicalId":11393,"journal":{"name":"EClinicalMedicine","volume":"87 ","pages":"103459"},"PeriodicalIF":10.0000,"publicationDate":"2025-08-21","publicationTypes":"Journal Article","fieldsOfStudy":null,"isOpenAccess":false,"openAccessPdf":"https://www.ncbi.nlm.nih.gov/pmc/articles/PMC12396493/pdf/","citationCount":"0","resultStr":"{\"title\":\"Dose-optimised recombinant human thrombopoietin <i>versus</i> eltrombopag in patients with immune thrombocytopenia: a multicenter, randomised controlled trial (The TE-ITP Study).\",\"authors\":\"Yunfei Chen, Ting Sun, Da Gao, Wei Wang, Zeping Zhou, Guangxun Gao, Yi Wang, Hu Zhou, Yanping Song, Yinghui Lai, Zhenyu Yan, Jinsong Yan, Jie Bai, Lei Zhang\",\"doi\":\"10.1016/j.eclinm.2025.103459\",\"DOIUrl\":null,\"url\":null,\"abstract\":\"<p><strong>Background: </strong>Recombinant human thrombopoietin (rhTPO) at a fixed dose of 300 U/kg/day for 2 weeks has demonstrated good efficacy and safety in adults with immune thrombocytopenia (ITP). This trial aimed to develop a flexible and personalized rhTPO regimen that ensures efficacy and safety beyond previous fixed dose, with eltrombopag as an active comparator.</p><p><strong>Methods: </strong>The TE-ITP trial was conducted in 12 centers across China. Adult ITP patients with platelet count <30 × 10<sup>9</sup>/L were randomised (2:1) to receive rhTPO or eltrombopag. The initial dose in patients with baseline platelet count of 20-30 × 10<sup>9</sup>/L <i>versus</i> <20 × 10<sup>9</sup>/L was 300 <i>versus</i> 600 U/kg/day for rhTPO and 25 <i>versus</i> 50 mg/day for eltrombopag, respectively. Dosage was adjusted weekly according to platelet count, with maximum of 600 U/kg/day for rhTPO and 75 mg/day for eltrombopag. The primary endpoint was the time to first platelet count ≥50 × 10<sup>9</sup>/L. The trial is registered on ClinicalTrials.gov (NCT05583838).</p><p><strong>Findings: </strong>Between November 22, 2022 and January 16, 2024, the trial enrolled 157 patients (median age: 52 years; 104 women): 105 and 52 in the rhTPO and eltrombopag groups, respectively. Baseline platelet count was <20 × 10<sup>9</sup>/L in 57.1% (60/105) and 57.7% (30/52) in the rhTPO and eltrombopag groups, respectively. The median time to the first platelet count ≥50 × 10<sup>9</sup>/L was 7 days (95% CI 6.0-7.0) in the rhTPO group <i>versus</i> 15 days (95% CI 9.0-25.0) in the eltrombopag group (<i>p</i> < 0.001). The risk of bleeding was lower in the rhTPO group (OR 0.523, 95% CI 0.360-0.758; <i>p</i> < 0.001). Adverse events occurred in 45.7% (48/105) and 60.8% (31/52) in the rhTPO and eltrombopag groups, respectively.</p><p><strong>Interpretation: </strong>The optimised rhTPO regimen, with individualized dosing based on platelet response, showed faster platelet elevation and lower bleeding risk than eltrombopag.</p><p><strong>Funding: </strong>This trial was supported by grants from the CAMS Innovation Fund for Medical Sciences (CIFMS) (2023-I2M-2-007), Noncommunicable Chronic Diseases-National Science and Technology Major Project (2023ZD0500803), National Natural Science Foundation of China (82430010), Tianjin Municipal Science and Technology Commission Grant (24ZXZSSS00230).</p>\",\"PeriodicalId\":11393,\"journal\":{\"name\":\"EClinicalMedicine\",\"volume\":\"87 \",\"pages\":\"103459\"},\"PeriodicalIF\":10.0000,\"publicationDate\":\"2025-08-21\",\"publicationTypes\":\"Journal Article\",\"fieldsOfStudy\":null,\"isOpenAccess\":false,\"openAccessPdf\":\"https://www.ncbi.nlm.nih.gov/pmc/articles/PMC12396493/pdf/\",\"citationCount\":\"0\",\"resultStr\":null,\"platform\":\"Semanticscholar\",\"paperid\":null,\"PeriodicalName\":\"EClinicalMedicine\",\"FirstCategoryId\":\"3\",\"ListUrlMain\":\"https://doi.org/10.1016/j.eclinm.2025.103459\",\"RegionNum\":1,\"RegionCategory\":\"医学\",\"ArticlePicture\":[],\"TitleCN\":null,\"AbstractTextCN\":null,\"PMCID\":null,\"EPubDate\":\"2025/9/1 0:00:00\",\"PubModel\":\"eCollection\",\"JCR\":\"Q1\",\"JCRName\":\"MEDICINE, GENERAL & INTERNAL\",\"Score\":null,\"Total\":0}","platform":"Semanticscholar","paperid":null,"PeriodicalName":"EClinicalMedicine","FirstCategoryId":"3","ListUrlMain":"https://doi.org/10.1016/j.eclinm.2025.103459","RegionNum":1,"RegionCategory":"医学","ArticlePicture":[],"TitleCN":null,"AbstractTextCN":null,"PMCID":null,"EPubDate":"2025/9/1 0:00:00","PubModel":"eCollection","JCR":"Q1","JCRName":"MEDICINE, GENERAL & INTERNAL","Score":null,"Total":0}
引用次数: 0

摘要

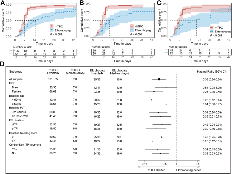
背景:重组人血小板生成素(rhTPO)固定剂量为300 U/kg/天,持续2周,对成人免疫性血小板减少症(ITP)有良好的疗效和安全性。该试验旨在开发一种灵活和个性化的rhTPO方案,以确保超过先前固定剂量的有效性和安全性,并以eltrombopag作为活性比较剂。方法:TE-ITP试验在全国12个中心进行。血小板计数为9/L的成人ITP患者随机(2:1)接受rhTPO或依波帕。在基线血小板计数为20-30 × 109/L和9/L的患者中,rhTPO的初始剂量分别为300和600 U/kg/天,电子曲巴格的初始剂量为25和50 mg/天。根据血小板计数每周调整剂量,rhTPO最大剂量为600 U/kg/天,电子波巴最大剂量为75 mg/天。主要终点为首次血小板计数≥50 × 109/L的时间。该试验已在ClinicalTrials.gov注册(NCT05583838)。研究结果:在2022年11月22日至2024年1月16日期间,该试验招募了157例患者(中位年龄:52岁;104名女性):rhTPO组和eltrombopag组分别为105例和52例。rhTPO组和eltrombopag组基线血小板计数分别为57.1%(60/105)和57.7%(30/52)。rhTPO组首次血小板计数≥50 × 109/L的中位时间为7天(95% CI 6.0-7.0),而eltrombopag组为15天(95% CI 9.0-25.0) (p < 0.001)。rhTPO组出血风险较低(OR 0.523, 95% CI 0.360-0.758; p < 0.001)。rhTPO组不良事件发生率为45.7% (48/105),eltrombopag组不良事件发生率为60.8%(31/52)。结论:优化后的rhTPO方案,基于血小板反应的个体化给药,显示血小板升高更快,出血风险低于电曲巴格。资助:本试验由中国科学院医学科学创新基金(CIFMS) (2023-I2M-2-007)、非传染性慢性病国家科技重大专项(2023ZD0500803)、国家自然科学基金(82430010)、天津市科委资助项目(24ZXZSSS00230)资助。
本文章由计算机程序翻译,如有差异,请以英文原文为准。

Dose-optimised recombinant human thrombopoietin <i>versus</i> eltrombopag in patients with immune thrombocytopenia: a multicenter, randomised controlled trial (The TE-ITP Study).

Dose-optimised recombinant human thrombopoietin <i>versus</i> eltrombopag in patients with immune thrombocytopenia: a multicenter, randomised controlled trial (The TE-ITP Study).

Dose-optimised recombinant human thrombopoietin <i>versus</i> eltrombopag in patients with immune thrombocytopenia: a multicenter, randomised controlled trial (The TE-ITP Study).

Dose-optimised recombinant human thrombopoietin versus eltrombopag in patients with immune thrombocytopenia: a multicenter, randomised controlled trial (The TE-ITP Study).

Background: Recombinant human thrombopoietin (rhTPO) at a fixed dose of 300 U/kg/day for 2 weeks has demonstrated good efficacy and safety in adults with immune thrombocytopenia (ITP). This trial aimed to develop a flexible and personalized rhTPO regimen that ensures efficacy and safety beyond previous fixed dose, with eltrombopag as an active comparator.

Methods: The TE-ITP trial was conducted in 12 centers across China. Adult ITP patients with platelet count <30 × 109/L were randomised (2:1) to receive rhTPO or eltrombopag. The initial dose in patients with baseline platelet count of 20-30 × 109/L versus <20 × 109/L was 300 versus 600 U/kg/day for rhTPO and 25 versus 50 mg/day for eltrombopag, respectively. Dosage was adjusted weekly according to platelet count, with maximum of 600 U/kg/day for rhTPO and 75 mg/day for eltrombopag. The primary endpoint was the time to first platelet count ≥50 × 109/L. The trial is registered on ClinicalTrials.gov (NCT05583838).

Findings: Between November 22, 2022 and January 16, 2024, the trial enrolled 157 patients (median age: 52 years; 104 women): 105 and 52 in the rhTPO and eltrombopag groups, respectively. Baseline platelet count was <20 × 109/L in 57.1% (60/105) and 57.7% (30/52) in the rhTPO and eltrombopag groups, respectively. The median time to the first platelet count ≥50 × 109/L was 7 days (95% CI 6.0-7.0) in the rhTPO group versus 15 days (95% CI 9.0-25.0) in the eltrombopag group (p < 0.001). The risk of bleeding was lower in the rhTPO group (OR 0.523, 95% CI 0.360-0.758; p < 0.001). Adverse events occurred in 45.7% (48/105) and 60.8% (31/52) in the rhTPO and eltrombopag groups, respectively.

Interpretation: The optimised rhTPO regimen, with individualized dosing based on platelet response, showed faster platelet elevation and lower bleeding risk than eltrombopag.

Funding: This trial was supported by grants from the CAMS Innovation Fund for Medical Sciences (CIFMS) (2023-I2M-2-007), Noncommunicable Chronic Diseases-National Science and Technology Major Project (2023ZD0500803), National Natural Science Foundation of China (82430010), Tianjin Municipal Science and Technology Commission Grant (24ZXZSSS00230).

求助全文
通过发布文献求助,成功后即可免费获取论文全文。 去求助
来源期刊
EClinicalMedicine
EClinicalMedicine Medicine-Medicine (all)
CiteScore
18.90
自引率
1.30%
发文量
506
审稿时长
22 days
期刊介绍: eClinicalMedicine is a gold open-access clinical journal designed to support frontline health professionals in addressing the complex and rapid health transitions affecting societies globally. The journal aims to assist practitioners in overcoming healthcare challenges across diverse communities, spanning diagnosis, treatment, prevention, and health promotion. Integrating disciplines from various specialties and life stages, it seeks to enhance health systems as fundamental institutions within societies. With a forward-thinking approach, eClinicalMedicine aims to redefine the future of healthcare.
×
引用
GB/T 7714-2015
复制
MLA
复制
APA
复制
导出至
BibTeX EndNote RefMan NoteFirst NoteExpress
×
提示
您的信息不完整,为了账户安全,请先补充。
现在去补充
×
提示
您因"违规操作"
具体请查看互助需知
我知道了
×
提示
确定
请完成安全验证×
copy
已复制链接
快去分享给好友吧!
我知道了
右上角分享
点击右上角分享
0
联系我们:info@booksci.cn Book学术提供免费学术资源搜索服务,方便国内外学者检索中英文文献。致力于提供最便捷和优质的服务体验。 Copyright © 2023 布克学术 All rights reserved.
京ICP备2023020795号-1
ghs 京公网安备 11010802042870号
Book学术文献互助
Book学术文献互助群
群 号:604180095
Book学术官方微信