绘制性别认同和性别角色在荷兰普通人群中跨性别和年龄的多样性:一项大规模队列研究。

IF 10 1区 医学 Q1 MEDICINE, GENERAL & INTERNAL
EClinicalMedicine Pub Date : 2025-07-28 eCollection Date: 2025-08-01 DOI:10.1016/j.eclinm.2025.103359
Sarah M Burke, Daniëlle B A Kroeze, S Lucette Kiewiet, Aranka V Ballering
{"title":"绘制性别认同和性别角色在荷兰普通人群中跨性别和年龄的多样性:一项大规模队列研究。","authors":"Sarah M Burke, Daniëlle B A Kroeze, S Lucette Kiewiet, Aranka V Ballering","doi":"10.1016/j.eclinm.2025.103359","DOIUrl":null,"url":null,"abstract":"<p><strong>Background: </strong>Knowledge of diversity in gender identity and gender roles in the general population is limited. This study aimed to report the prevalence estimates of gender identity and gender roles among the adult general population, stratified by age and sex.</p><p><strong>Methods: </strong>In the third general assessment of the prospective Dutch Lifelines Cohort Study, conducted between 2019 and 2023, sex and current gender identity were assessed using a self-reported categorical item, in which participants aged 18 years and older could indicate their sex assigned at birth (male or female) and current gender identity (man or woman), or select the option with a free-text field. Two separate dimensional measures assessed adherence to feminine and masculine gender roles. Using a cross-sectional study design, we describe the distribution of gender identities and adherence to gender roles, stratified by age and sex as registered by the municipality. Differences herein are assessed via independent t-tests and ANOVA.</p><p><strong>Findings: </strong>A total of 63,190 participants (mean age = 55.4 years [SD = 12.6]) were included in the study. Most participants identified as cisgender (36,835 [58.6%; 95% CI = 58.2-58.9] cisgender women; 25,893 [41.2%; 95% CI = 40.8-41.6] cisgender men). 66 (0.11%; 95% CI = 0.08%-0.13%) participants identified as non-cisgender. Among cisgender participants registered as males, masculine gender role scores increased across age groups, with younger individuals (18-30 years) scoring lower (M = 9.3, SD = 1.2) than older individuals (71-97 years; M = 9.7, SD = 1.0; <i>F</i> <sub>(5,25925)</sub> = 35.5; <i>p</i> < 0.0001; η<sup>2</sup> = 0.008 [95% CI = 0.006-0.010]). A similar pattern was observed for adherence to feminine gender roles among cisgender participants registered as females, where younger individuals (M = 9.1, SD = 1.2) scored lower than older individuals (M = 9.7, SD = 1.0; <i>F</i> <sub>(5,36900)</sub> = 137.2; <i>p</i> < 0.0001, η<sup>2</sup> = 0.018 [95% CI = 0.016-0.021]). Cisgender participants registered as male reported stronger adherence to masculine roles (M = 9.6, SD = 1.0), than their female counterparts to feminine roles (M = 9.3, SD = 1.2; t<sub>(60,459)=</sub>27.7; <i>p</i> < 0.0001, Cohen's <i>d</i> = 0.218 [95% CI = 0.202-0.234]).</p><p><strong>Interpretation: </strong>Although effect sizes are small, younger and female individuals indicate greater diversity in gender roles than older and male individuals, respectively. This shows that diversity in gender role adherence is common. A limitation of this study is the relatively older sample, which limits representation of younger individuals and may affect generalizability. These findings have implications for clinical practice and policy, as recognizing gender role diversity could help healthcare providers tailor interventions and assessments. Given the small but meaningful effect sizes, continued research on gender roles and their health impact across age groups is warranted to inform gender-sensitive policies.</p><p><strong>Funding: </strong>The Dutch Ministry of Health, Welfare and Sport, the Dutch Ministry of Economic Affairs, the University Medical Center Groningen (UMCG), Groningen University, the Provinces in the North of the Netherlands (Drenthe, Friesland, Groningen) and ZonMw (The Netherlands Organization for Health Research and Development).</p>","PeriodicalId":11393,"journal":{"name":"EClinicalMedicine","volume":"86 ","pages":"103359"},"PeriodicalIF":10.0000,"publicationDate":"2025-07-28","publicationTypes":"Journal Article","fieldsOfStudy":null,"isOpenAccess":false,"openAccessPdf":"https://www.ncbi.nlm.nih.gov/pmc/articles/PMC12399208/pdf/","citationCount":"0","resultStr":"{\"title\":\"Mapping diversity in gender identity and gender roles across sex and age in the Dutch general population: a large-scale cohort study.\",\"authors\":\"Sarah M Burke, Daniëlle B A Kroeze, S Lucette Kiewiet, Aranka V Ballering\",\"doi\":\"10.1016/j.eclinm.2025.103359\",\"DOIUrl\":null,\"url\":null,\"abstract\":\"<p><strong>Background: </strong>Knowledge of diversity in gender identity and gender roles in the general population is limited. This study aimed to report the prevalence estimates of gender identity and gender roles among the adult general population, stratified by age and sex.</p><p><strong>Methods: </strong>In the third general assessment of the prospective Dutch Lifelines Cohort Study, conducted between 2019 and 2023, sex and current gender identity were assessed using a self-reported categorical item, in which participants aged 18 years and older could indicate their sex assigned at birth (male or female) and current gender identity (man or woman), or select the option with a free-text field. Two separate dimensional measures assessed adherence to feminine and masculine gender roles. Using a cross-sectional study design, we describe the distribution of gender identities and adherence to gender roles, stratified by age and sex as registered by the municipality. Differences herein are assessed via independent t-tests and ANOVA.</p><p><strong>Findings: </strong>A total of 63,190 participants (mean age = 55.4 years [SD = 12.6]) were included in the study. Most participants identified as cisgender (36,835 [58.6%; 95% CI = 58.2-58.9] cisgender women; 25,893 [41.2%; 95% CI = 40.8-41.6] cisgender men). 66 (0.11%; 95% CI = 0.08%-0.13%) participants identified as non-cisgender. Among cisgender participants registered as males, masculine gender role scores increased across age groups, with younger individuals (18-30 years) scoring lower (M = 9.3, SD = 1.2) than older individuals (71-97 years; M = 9.7, SD = 1.0; <i>F</i> <sub>(5,25925)</sub> = 35.5; <i>p</i> < 0.0001; η<sup>2</sup> = 0.008 [95% CI = 0.006-0.010]). A similar pattern was observed for adherence to feminine gender roles among cisgender participants registered as females, where younger individuals (M = 9.1, SD = 1.2) scored lower than older individuals (M = 9.7, SD = 1.0; <i>F</i> <sub>(5,36900)</sub> = 137.2; <i>p</i> < 0.0001, η<sup>2</sup> = 0.018 [95% CI = 0.016-0.021]). Cisgender participants registered as male reported stronger adherence to masculine roles (M = 9.6, SD = 1.0), than their female counterparts to feminine roles (M = 9.3, SD = 1.2; t<sub>(60,459)=</sub>27.7; <i>p</i> < 0.0001, Cohen's <i>d</i> = 0.218 [95% CI = 0.202-0.234]).</p><p><strong>Interpretation: </strong>Although effect sizes are small, younger and female individuals indicate greater diversity in gender roles than older and male individuals, respectively. This shows that diversity in gender role adherence is common. A limitation of this study is the relatively older sample, which limits representation of younger individuals and may affect generalizability. These findings have implications for clinical practice and policy, as recognizing gender role diversity could help healthcare providers tailor interventions and assessments. Given the small but meaningful effect sizes, continued research on gender roles and their health impact across age groups is warranted to inform gender-sensitive policies.</p><p><strong>Funding: </strong>The Dutch Ministry of Health, Welfare and Sport, the Dutch Ministry of Economic Affairs, the University Medical Center Groningen (UMCG), Groningen University, the Provinces in the North of the Netherlands (Drenthe, Friesland, Groningen) and ZonMw (The Netherlands Organization for Health Research and Development).</p>\",\"PeriodicalId\":11393,\"journal\":{\"name\":\"EClinicalMedicine\",\"volume\":\"86 \",\"pages\":\"103359\"},\"PeriodicalIF\":10.0000,\"publicationDate\":\"2025-07-28\",\"publicationTypes\":\"Journal Article\",\"fieldsOfStudy\":null,\"isOpenAccess\":false,\"openAccessPdf\":\"https://www.ncbi.nlm.nih.gov/pmc/articles/PMC12399208/pdf/\",\"citationCount\":\"0\",\"resultStr\":null,\"platform\":\"Semanticscholar\",\"paperid\":null,\"PeriodicalName\":\"EClinicalMedicine\",\"FirstCategoryId\":\"3\",\"ListUrlMain\":\"https://doi.org/10.1016/j.eclinm.2025.103359\",\"RegionNum\":1,\"RegionCategory\":\"医学\",\"ArticlePicture\":[],\"TitleCN\":null,\"AbstractTextCN\":null,\"PMCID\":null,\"EPubDate\":\"2025/8/1 0:00:00\",\"PubModel\":\"eCollection\",\"JCR\":\"Q1\",\"JCRName\":\"MEDICINE, GENERAL & INTERNAL\",\"Score\":null,\"Total\":0}","platform":"Semanticscholar","paperid":null,"PeriodicalName":"EClinicalMedicine","FirstCategoryId":"3","ListUrlMain":"https://doi.org/10.1016/j.eclinm.2025.103359","RegionNum":1,"RegionCategory":"医学","ArticlePicture":[],"TitleCN":null,"AbstractTextCN":null,"PMCID":null,"EPubDate":"2025/8/1 0:00:00","PubModel":"eCollection","JCR":"Q1","JCRName":"MEDICINE, GENERAL & INTERNAL","Score":null,"Total":0}
引用次数: 0

摘要

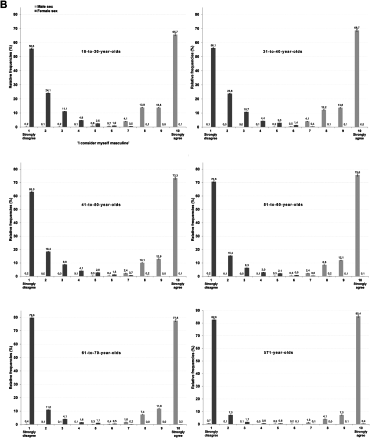
背景:对普通人群性别认同和性别角色多样性的了解是有限的。本研究旨在报告性别认同和性别角色在成年普通人群中的流行程度估计,按年龄和性别分层。方法:在2019年至2023年期间进行的前瞻性荷兰生命线队列研究的第三次一般评估中,使用自我报告的分类项目评估性别和当前的性别认同,其中18岁及以上的参与者可以指出他们出生时的性别(男性或女性)和当前的性别认同(男性或女性),或选择带有自由文本字段的选项。两个独立的维度测量评估了对女性和男性性别角色的依从性。使用横断面研究设计,我们描述了性别认同和坚持性别角色的分布,按年龄和性别分层,由市政当局登记。本文的差异通过独立t检验和方差分析进行评估。结果:研究共纳入63,190名参与者(平均年龄= 55.4岁[SD = 12.6])。大多数参与者确定为顺性别(36,835 [58.6%;95% CI = 58.2-58.9]名顺性别女性;25,893 [41.2%;95% CI = 40.8-41.6]名顺性别男性)。66名(0.11%;95% CI = 0.08%-0.13%)参与者被确定为非顺性别。在登记为男性的顺性别参与者中,男性性别角色得分在各个年龄组中都有所增加,年轻人(18-30岁)的得分低于老年人(71-97岁),M = 9.7, SD = 1.0, F (5,25925) = 35.5;P < 0.0001;η2 = 0.008 [95% ci = 0.006-0.010])。在登记为女性的顺性别参与者中,也观察到类似的模式,其中年轻个体(M = 9.1, SD = 1.2)得分低于年长个体(M = 9.7, SD = 1.0; F (5,36900) = 137.2;p < 0.0001, η2 = 0.018 [95% CI = 0.016-0.021])。登记为男性的顺性别参与者比登记为女性角色的女性参与者(M = 9.3, SD = 1.2; t(60,459)=27.7;p < 0.0001, Cohen’s d = 0.218 [95% CI = 0.202 ~ 0.234])。解释:虽然效应量很小,但年轻和女性个体分别比年长和男性个体表现出更大的性别角色多样性。这表明性别角色的多样性是普遍存在的。本研究的一个局限性是样本相对较老,这限制了年轻个体的代表性,并可能影响普遍性。这些发现对临床实践和政策具有启示意义,因为认识到性别角色的多样性可以帮助医疗保健提供者量身定制干预和评估。鉴于影响虽小但意义重大,有必要继续研究性别角色及其对各年龄组的健康影响,为性别敏感政策提供信息。资助:荷兰卫生、福利和体育部、荷兰经济部、格罗宁根大学医学中心、格罗宁根大学、荷兰北部各省(德伦特、弗里斯兰、格罗宁根)和ZonMw(荷兰卫生研究与发展组织)。
本文章由计算机程序翻译,如有差异,请以英文原文为准。

Mapping diversity in gender identity and gender roles across sex and age in the Dutch general population: a large-scale cohort study.

Mapping diversity in gender identity and gender roles across sex and age in the Dutch general population: a large-scale cohort study.

Mapping diversity in gender identity and gender roles across sex and age in the Dutch general population: a large-scale cohort study.

Mapping diversity in gender identity and gender roles across sex and age in the Dutch general population: a large-scale cohort study.

Background: Knowledge of diversity in gender identity and gender roles in the general population is limited. This study aimed to report the prevalence estimates of gender identity and gender roles among the adult general population, stratified by age and sex.

Methods: In the third general assessment of the prospective Dutch Lifelines Cohort Study, conducted between 2019 and 2023, sex and current gender identity were assessed using a self-reported categorical item, in which participants aged 18 years and older could indicate their sex assigned at birth (male or female) and current gender identity (man or woman), or select the option with a free-text field. Two separate dimensional measures assessed adherence to feminine and masculine gender roles. Using a cross-sectional study design, we describe the distribution of gender identities and adherence to gender roles, stratified by age and sex as registered by the municipality. Differences herein are assessed via independent t-tests and ANOVA.

Findings: A total of 63,190 participants (mean age = 55.4 years [SD = 12.6]) were included in the study. Most participants identified as cisgender (36,835 [58.6%; 95% CI = 58.2-58.9] cisgender women; 25,893 [41.2%; 95% CI = 40.8-41.6] cisgender men). 66 (0.11%; 95% CI = 0.08%-0.13%) participants identified as non-cisgender. Among cisgender participants registered as males, masculine gender role scores increased across age groups, with younger individuals (18-30 years) scoring lower (M = 9.3, SD = 1.2) than older individuals (71-97 years; M = 9.7, SD = 1.0; F (5,25925) = 35.5; p < 0.0001; η2 = 0.008 [95% CI = 0.006-0.010]). A similar pattern was observed for adherence to feminine gender roles among cisgender participants registered as females, where younger individuals (M = 9.1, SD = 1.2) scored lower than older individuals (M = 9.7, SD = 1.0; F (5,36900) = 137.2; p < 0.0001, η2 = 0.018 [95% CI = 0.016-0.021]). Cisgender participants registered as male reported stronger adherence to masculine roles (M = 9.6, SD = 1.0), than their female counterparts to feminine roles (M = 9.3, SD = 1.2; t(60,459)=27.7; p < 0.0001, Cohen's d = 0.218 [95% CI = 0.202-0.234]).

Interpretation: Although effect sizes are small, younger and female individuals indicate greater diversity in gender roles than older and male individuals, respectively. This shows that diversity in gender role adherence is common. A limitation of this study is the relatively older sample, which limits representation of younger individuals and may affect generalizability. These findings have implications for clinical practice and policy, as recognizing gender role diversity could help healthcare providers tailor interventions and assessments. Given the small but meaningful effect sizes, continued research on gender roles and their health impact across age groups is warranted to inform gender-sensitive policies.

Funding: The Dutch Ministry of Health, Welfare and Sport, the Dutch Ministry of Economic Affairs, the University Medical Center Groningen (UMCG), Groningen University, the Provinces in the North of the Netherlands (Drenthe, Friesland, Groningen) and ZonMw (The Netherlands Organization for Health Research and Development).

求助全文
通过发布文献求助,成功后即可免费获取论文全文。 去求助
来源期刊
EClinicalMedicine
EClinicalMedicine Medicine-Medicine (all)
CiteScore
18.90
自引率
1.30%
发文量
506
审稿时长
22 days
期刊介绍: eClinicalMedicine is a gold open-access clinical journal designed to support frontline health professionals in addressing the complex and rapid health transitions affecting societies globally. The journal aims to assist practitioners in overcoming healthcare challenges across diverse communities, spanning diagnosis, treatment, prevention, and health promotion. Integrating disciplines from various specialties and life stages, it seeks to enhance health systems as fundamental institutions within societies. With a forward-thinking approach, eClinicalMedicine aims to redefine the future of healthcare.
×
引用
GB/T 7714-2015
复制
MLA
复制
APA
复制
导出至
BibTeX EndNote RefMan NoteFirst NoteExpress
×
提示
您的信息不完整,为了账户安全,请先补充。
现在去补充
×
提示
您因"违规操作"
具体请查看互助需知
我知道了
×
提示
确定
请完成安全验证×
copy
已复制链接
快去分享给好友吧!
我知道了
右上角分享
点击右上角分享
0
联系我们:info@booksci.cn Book学术提供免费学术资源搜索服务,方便国内外学者检索中英文文献。致力于提供最便捷和优质的服务体验。 Copyright © 2023 布克学术 All rights reserved.
京ICP备2023020795号-1
ghs 京公网安备 11010802042870号
Book学术文献互助
Book学术文献互助群
群 号:604180095
Book学术官方微信