家庭二手烟暴露与青少年经常使用电子烟之间的关系:来自全国学校调查的证据。

IF 3.9 3区 医学 Q1 PUBLIC, ENVIRONMENTAL & OCCUPATIONAL HEALTH
Yusuff Adebayo Adebisi, Najim Z Alshahrani, Abdulrakib Abdulrahim, Don Eliseo Lucero-Prisno
{"title":"家庭二手烟暴露与青少年经常使用电子烟之间的关系:来自全国学校调查的证据。","authors":"Yusuff Adebayo Adebisi, Najim Z Alshahrani, Abdulrakib Abdulrahim, Don Eliseo Lucero-Prisno","doi":"10.1093/eurpub/ckaf150","DOIUrl":null,"url":null,"abstract":"<p><p>Adolescent e-cigarette use is of public health interest in England, yet the influence of household environmental factors remains poorly understood. This cross-sectional study examined the association between secondhand tobacco smoke exposure in the home and regular e-cigarette use among adolescents. We analysed data from 12 297 adolescents aged 11-15 years who participated in the 2023 wave of the Smoking, Drinking and Drug Use among Young People in England (SDD) survey. The primary exposure was self-reported frequency of secondhand smoke exposure in the home or someone else's home, categorized into five levels. The outcome was regular e-cigarette use, defined as vaping at least once per week. Logistic regression models estimated crude and adjusted associations, controlling for age, gender identity, ethnicity, family affluence, and household or peer smoking. Regular e-cigarette use was reported by 5.8% (n = 716) of the sample. Compared to those never exposed, adolescents exposed to secondhand smoke 'daily or most days' had significantly higher odds of regular e-cigarette use [adjusted odds ratio (aOR) = 7.25; 95% confidence interval (CI): 5.62-9.34; P < .001]. A clear dose-response relationship was observed across exposure categories (P for trend <.001), with increasing exposure linked to progressively higher odds of vaping. Among adolescents who had never smoked cigarettes, daily or near‑daily exposure to household secondhand smoke was still strongly associated with regular e‑cigarette use (aOR = 5.04; 95% CI: 3.64-6.99; P < .001). Frequent secondhand tobacco smoke exposure in the home is a strong and independent correlate of regular e-cigarette use among adolescents in England.</p>","PeriodicalId":12059,"journal":{"name":"European Journal of Public Health","volume":" ","pages":"938-943"},"PeriodicalIF":3.9000,"publicationDate":"2025-10-01","publicationTypes":"Journal Article","fieldsOfStudy":null,"isOpenAccess":false,"openAccessPdf":"https://www.ncbi.nlm.nih.gov/pmc/articles/PMC12529290/pdf/","citationCount":"0","resultStr":"{\"title\":\"Association between household secondhand tobacco smoke exposure and regular e-cigarette use among adolescents: evidence from a national school-based survey.\",\"authors\":\"Yusuff Adebayo Adebisi, Najim Z Alshahrani, Abdulrakib Abdulrahim, Don Eliseo Lucero-Prisno\",\"doi\":\"10.1093/eurpub/ckaf150\",\"DOIUrl\":null,\"url\":null,\"abstract\":\"<p><p>Adolescent e-cigarette use is of public health interest in England, yet the influence of household environmental factors remains poorly understood. This cross-sectional study examined the association between secondhand tobacco smoke exposure in the home and regular e-cigarette use among adolescents. We analysed data from 12 297 adolescents aged 11-15 years who participated in the 2023 wave of the Smoking, Drinking and Drug Use among Young People in England (SDD) survey. The primary exposure was self-reported frequency of secondhand smoke exposure in the home or someone else's home, categorized into five levels. The outcome was regular e-cigarette use, defined as vaping at least once per week. Logistic regression models estimated crude and adjusted associations, controlling for age, gender identity, ethnicity, family affluence, and household or peer smoking. Regular e-cigarette use was reported by 5.8% (n = 716) of the sample. Compared to those never exposed, adolescents exposed to secondhand smoke 'daily or most days' had significantly higher odds of regular e-cigarette use [adjusted odds ratio (aOR) = 7.25; 95% confidence interval (CI): 5.62-9.34; P < .001]. A clear dose-response relationship was observed across exposure categories (P for trend <.001), with increasing exposure linked to progressively higher odds of vaping. Among adolescents who had never smoked cigarettes, daily or near‑daily exposure to household secondhand smoke was still strongly associated with regular e‑cigarette use (aOR = 5.04; 95% CI: 3.64-6.99; P < .001). Frequent secondhand tobacco smoke exposure in the home is a strong and independent correlate of regular e-cigarette use among adolescents in England.</p>\",\"PeriodicalId\":12059,\"journal\":{\"name\":\"European Journal of Public Health\",\"volume\":\" \",\"pages\":\"938-943\"},\"PeriodicalIF\":3.9000,\"publicationDate\":\"2025-10-01\",\"publicationTypes\":\"Journal Article\",\"fieldsOfStudy\":null,\"isOpenAccess\":false,\"openAccessPdf\":\"https://www.ncbi.nlm.nih.gov/pmc/articles/PMC12529290/pdf/\",\"citationCount\":\"0\",\"resultStr\":null,\"platform\":\"Semanticscholar\",\"paperid\":null,\"PeriodicalName\":\"European Journal of Public Health\",\"FirstCategoryId\":\"3\",\"ListUrlMain\":\"https://doi.org/10.1093/eurpub/ckaf150\",\"RegionNum\":3,\"RegionCategory\":\"医学\",\"ArticlePicture\":[],\"TitleCN\":null,\"AbstractTextCN\":null,\"PMCID\":null,\"EPubDate\":\"\",\"PubModel\":\"\",\"JCR\":\"Q1\",\"JCRName\":\"PUBLIC, ENVIRONMENTAL & OCCUPATIONAL HEALTH\",\"Score\":null,\"Total\":0}","platform":"Semanticscholar","paperid":null,"PeriodicalName":"European Journal of Public Health","FirstCategoryId":"3","ListUrlMain":"https://doi.org/10.1093/eurpub/ckaf150","RegionNum":3,"RegionCategory":"医学","ArticlePicture":[],"TitleCN":null,"AbstractTextCN":null,"PMCID":null,"EPubDate":"","PubModel":"","JCR":"Q1","JCRName":"PUBLIC, ENVIRONMENTAL & OCCUPATIONAL HEALTH","Score":null,"Total":0}
引用次数: 0

摘要

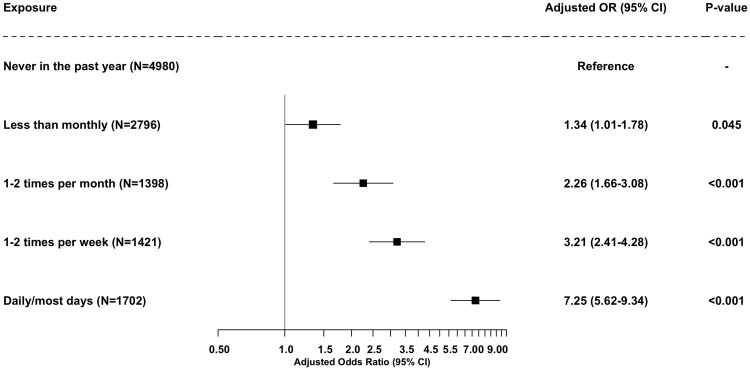
在英国,青少年使用电子烟与公共卫生有关,但家庭环境因素的影响仍然知之甚少。这项横断面研究调查了家庭二手烟暴露与青少年经常使用电子烟之间的关系。我们分析了参加2023年英国年轻人吸烟、饮酒和吸毒(SDD)调查浪潮的12297名11-15岁青少年的数据。初级接触是指在家中或他人家中接触二手烟的自我报告频率,分为五个级别。结果是定期使用电子烟,定义为每周至少吸一次电子烟。逻辑回归模型估计了粗糙和调整的关联,控制了年龄、性别认同、种族、家庭富裕程度、家庭或同伴吸烟。5.8% (n = 716)的样本报告经常使用电子烟。与从未接触过二手烟的青少年相比,“每天或大部分时间”接触二手烟的青少年经常使用电子烟的几率明显更高[调整后优势比(aOR) = 7.25;95%置信区间(CI): 5.62-9.34;P
本文章由计算机程序翻译,如有差异,请以英文原文为准。

Association between household secondhand tobacco smoke exposure and regular e-cigarette use among adolescents: evidence from a national school-based survey.

Association between household secondhand tobacco smoke exposure and regular e-cigarette use among adolescents: evidence from a national school-based survey.

Adolescent e-cigarette use is of public health interest in England, yet the influence of household environmental factors remains poorly understood. This cross-sectional study examined the association between secondhand tobacco smoke exposure in the home and regular e-cigarette use among adolescents. We analysed data from 12 297 adolescents aged 11-15 years who participated in the 2023 wave of the Smoking, Drinking and Drug Use among Young People in England (SDD) survey. The primary exposure was self-reported frequency of secondhand smoke exposure in the home or someone else's home, categorized into five levels. The outcome was regular e-cigarette use, defined as vaping at least once per week. Logistic regression models estimated crude and adjusted associations, controlling for age, gender identity, ethnicity, family affluence, and household or peer smoking. Regular e-cigarette use was reported by 5.8% (n = 716) of the sample. Compared to those never exposed, adolescents exposed to secondhand smoke 'daily or most days' had significantly higher odds of regular e-cigarette use [adjusted odds ratio (aOR) = 7.25; 95% confidence interval (CI): 5.62-9.34; P < .001]. A clear dose-response relationship was observed across exposure categories (P for trend <.001), with increasing exposure linked to progressively higher odds of vaping. Among adolescents who had never smoked cigarettes, daily or near‑daily exposure to household secondhand smoke was still strongly associated with regular e‑cigarette use (aOR = 5.04; 95% CI: 3.64-6.99; P < .001). Frequent secondhand tobacco smoke exposure in the home is a strong and independent correlate of regular e-cigarette use among adolescents in England.

求助全文
通过发布文献求助,成功后即可免费获取论文全文。 去求助
来源期刊
European Journal of Public Health
European Journal of Public Health 医学-公共卫生、环境卫生与职业卫生
CiteScore
5.60
自引率
2.30%
发文量
2039
审稿时长
3-8 weeks
期刊介绍: The European Journal of Public Health (EJPH) is a multidisciplinary journal aimed at attracting contributions from epidemiology, health services research, health economics, social sciences, management sciences, ethics and law, environmental health sciences, and other disciplines of relevance to public health. The journal provides a forum for discussion and debate of current international public health issues, with a focus on the European Region. Bi-monthly issues contain peer-reviewed original articles, editorials, commentaries, book reviews, news, letters to the editor, announcements of events, and various other features.
×
引用
GB/T 7714-2015
复制
MLA
复制
APA
复制
导出至
BibTeX EndNote RefMan NoteFirst NoteExpress
×
提示
您的信息不完整,为了账户安全,请先补充。
现在去补充
×
提示
您因"违规操作"
具体请查看互助需知
我知道了
×
提示
确定
请完成安全验证×
copy
已复制链接
快去分享给好友吧!
我知道了
右上角分享
点击右上角分享
0
联系我们:info@booksci.cn Book学术提供免费学术资源搜索服务,方便国内外学者检索中英文文献。致力于提供最便捷和优质的服务体验。 Copyright © 2023 布克学术 All rights reserved.
京ICP备2023020795号-1
ghs 京公网安备 11010802042870号
Book学术文献互助
Book学术文献互助群
群 号:604180095
Book学术官方微信