马尔可夫链蒙特卡罗多变量概率模型的可辨识性和收敛性。

IF 0.8 4区 数学 Q4 STATISTICS & PROBABILITY
Xiao Zhang
{"title":"马尔可夫链蒙特卡罗多变量概率模型的可辨识性和收敛性。","authors":"Xiao Zhang","doi":"10.1080/03610926.2024.2425738","DOIUrl":null,"url":null,"abstract":"<p><p>Multivariate probit models have been popularly utilized to analysis multivariate ordinal data. However, the identifiable multivariate probit models entail the covariance matrix for the underlying multivariate normal variables to be a correlation matrix, which brings a rigorous task to conduct efficient statistical analysis. Parameter expansion to make the identifiable model to be non-identifiable has been inevitably explored. However, the effect of the expanded parameters on the convergence of Markov chain Monte Carlo (MCMC) is seldomly investigated; in addition, the comparison of MCMC developed based on the identifiable model and that based on the non-identifiable model is hardly ever explored, especially for data with large sample sizes. In this paper, we conduct a thorough investigation to illustrate the effect of the expanded parameters on the convergence of MCMC and compare the behavior of MCMC between the identifiable and non-identifiable models. Our investigation provides a practical guide regarding the construction of non-identifiable models and development of corresponding MCMC sampling methods. We conduct our investigation using simulation studies and present an application using data from the Russia Longitudinal Monitoring Survey-Higher School of Economics (RLMS-HSE) study.</p>","PeriodicalId":10531,"journal":{"name":"Communications in Statistics - Theory and Methods","volume":"54 14","pages":"4600-4615"},"PeriodicalIF":0.8000,"publicationDate":"2025-01-01","publicationTypes":"Journal Article","fieldsOfStudy":null,"isOpenAccess":false,"openAccessPdf":"https://www.ncbi.nlm.nih.gov/pmc/articles/PMC12366764/pdf/","citationCount":"0","resultStr":"{\"title\":\"Identifiability and convergence behavior for Markov chain Monte Carlo using multivariate probit models.\",\"authors\":\"Xiao Zhang\",\"doi\":\"10.1080/03610926.2024.2425738\",\"DOIUrl\":null,\"url\":null,\"abstract\":\"<p><p>Multivariate probit models have been popularly utilized to analysis multivariate ordinal data. However, the identifiable multivariate probit models entail the covariance matrix for the underlying multivariate normal variables to be a correlation matrix, which brings a rigorous task to conduct efficient statistical analysis. Parameter expansion to make the identifiable model to be non-identifiable has been inevitably explored. However, the effect of the expanded parameters on the convergence of Markov chain Monte Carlo (MCMC) is seldomly investigated; in addition, the comparison of MCMC developed based on the identifiable model and that based on the non-identifiable model is hardly ever explored, especially for data with large sample sizes. In this paper, we conduct a thorough investigation to illustrate the effect of the expanded parameters on the convergence of MCMC and compare the behavior of MCMC between the identifiable and non-identifiable models. Our investigation provides a practical guide regarding the construction of non-identifiable models and development of corresponding MCMC sampling methods. We conduct our investigation using simulation studies and present an application using data from the Russia Longitudinal Monitoring Survey-Higher School of Economics (RLMS-HSE) study.</p>\",\"PeriodicalId\":10531,\"journal\":{\"name\":\"Communications in Statistics - Theory and Methods\",\"volume\":\"54 14\",\"pages\":\"4600-4615\"},\"PeriodicalIF\":0.8000,\"publicationDate\":\"2025-01-01\",\"publicationTypes\":\"Journal Article\",\"fieldsOfStudy\":null,\"isOpenAccess\":false,\"openAccessPdf\":\"https://www.ncbi.nlm.nih.gov/pmc/articles/PMC12366764/pdf/\",\"citationCount\":\"0\",\"resultStr\":null,\"platform\":\"Semanticscholar\",\"paperid\":null,\"PeriodicalName\":\"Communications in Statistics - Theory and Methods\",\"FirstCategoryId\":\"100\",\"ListUrlMain\":\"https://doi.org/10.1080/03610926.2024.2425738\",\"RegionNum\":4,\"RegionCategory\":\"数学\",\"ArticlePicture\":[],\"TitleCN\":null,\"AbstractTextCN\":null,\"PMCID\":null,\"EPubDate\":\"2024/11/9 0:00:00\",\"PubModel\":\"Epub\",\"JCR\":\"Q4\",\"JCRName\":\"STATISTICS & PROBABILITY\",\"Score\":null,\"Total\":0}","platform":"Semanticscholar","paperid":null,"PeriodicalName":"Communications in Statistics - Theory and Methods","FirstCategoryId":"100","ListUrlMain":"https://doi.org/10.1080/03610926.2024.2425738","RegionNum":4,"RegionCategory":"数学","ArticlePicture":[],"TitleCN":null,"AbstractTextCN":null,"PMCID":null,"EPubDate":"2024/11/9 0:00:00","PubModel":"Epub","JCR":"Q4","JCRName":"STATISTICS & PROBABILITY","Score":null,"Total":0}
引用次数: 0

摘要

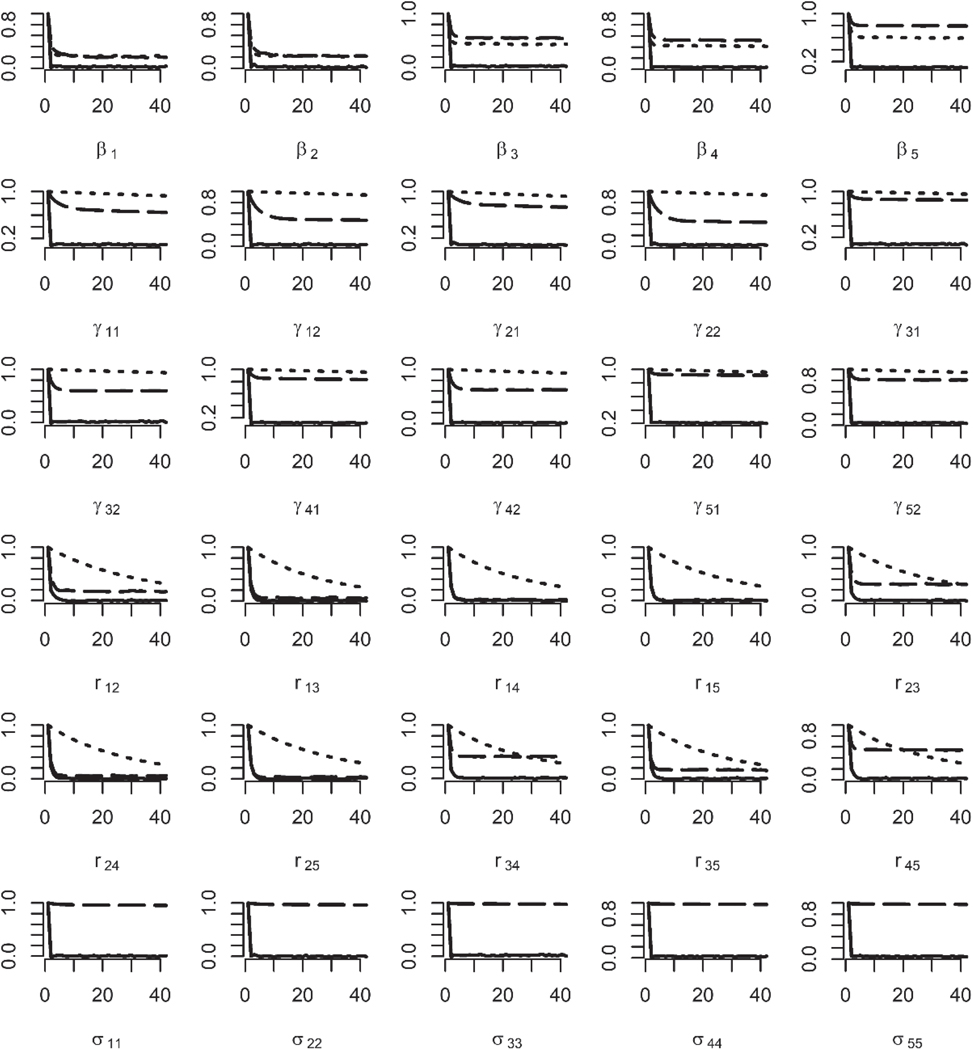
多元概率模型已被广泛用于分析多元有序数据。然而,可识别的多变量probit模型需要多变量正态变量的协方差矩阵为相关矩阵,这给进行高效的统计分析带来了艰巨的任务。将可识别模型扩展为不可识别模型是不可避免的探索。然而,展开参数对马尔可夫链蒙特卡罗(MCMC)收敛性的影响研究较少;此外,基于可识别模型的MCMC和基于不可识别模型的MCMC的比较很少被探索,特别是对于大样本量的数据。本文深入研究了扩展参数对MCMC收敛的影响,并比较了可识别模型和不可识别模型的MCMC行为。我们的研究为非识别模型的构建和相应MCMC采样方法的发展提供了实用指导。我们使用模拟研究进行调查,并使用俄罗斯纵向监测调查-高等经济学院(RLMS-HSE)研究的数据提出了一个应用程序。
本文章由计算机程序翻译,如有差异,请以英文原文为准。

Identifiability and convergence behavior for Markov chain Monte Carlo using multivariate probit models.

Identifiability and convergence behavior for Markov chain Monte Carlo using multivariate probit models.

Identifiability and convergence behavior for Markov chain Monte Carlo using multivariate probit models.

Identifiability and convergence behavior for Markov chain Monte Carlo using multivariate probit models.

Multivariate probit models have been popularly utilized to analysis multivariate ordinal data. However, the identifiable multivariate probit models entail the covariance matrix for the underlying multivariate normal variables to be a correlation matrix, which brings a rigorous task to conduct efficient statistical analysis. Parameter expansion to make the identifiable model to be non-identifiable has been inevitably explored. However, the effect of the expanded parameters on the convergence of Markov chain Monte Carlo (MCMC) is seldomly investigated; in addition, the comparison of MCMC developed based on the identifiable model and that based on the non-identifiable model is hardly ever explored, especially for data with large sample sizes. In this paper, we conduct a thorough investigation to illustrate the effect of the expanded parameters on the convergence of MCMC and compare the behavior of MCMC between the identifiable and non-identifiable models. Our investigation provides a practical guide regarding the construction of non-identifiable models and development of corresponding MCMC sampling methods. We conduct our investigation using simulation studies and present an application using data from the Russia Longitudinal Monitoring Survey-Higher School of Economics (RLMS-HSE) study.

求助全文
通过发布文献求助,成功后即可免费获取论文全文。 去求助
来源期刊
CiteScore
2.00
自引率
12.50%
发文量
320
审稿时长
7.5 months
期刊介绍: The Theory and Methods series intends to publish papers that make theoretical and methodological advances in Probability and Statistics. New applications of statistical and probabilistic methods will also be considered for publication. In addition, special issues dedicated to a specific topic of current interest will also be published in this series periodically, providing an exhaustive and up-to-date review of that topic to the readership.
×
引用
GB/T 7714-2015
复制
MLA
复制
APA
复制
导出至
BibTeX EndNote RefMan NoteFirst NoteExpress
×
提示
您的信息不完整,为了账户安全,请先补充。
现在去补充
×
提示
您因"违规操作"
具体请查看互助需知
我知道了
×
提示
确定
请完成安全验证×
copy
已复制链接
快去分享给好友吧!
我知道了
右上角分享
点击右上角分享
0
联系我们:info@booksci.cn Book学术提供免费学术资源搜索服务,方便国内外学者检索中英文文献。致力于提供最便捷和优质的服务体验。 Copyright © 2023 布克学术 All rights reserved.
京ICP备2023020795号-1
ghs 京公网安备 11010802042870号
Book学术文献互助
Book学术文献互助群
群 号:604180095
Book学术官方微信