Rezum水蒸汽疗法治疗良性前列腺阻塞的1年随访结果:最大的真实世界数据来自土耳其。

IF 1.9 Q3 UROLOGY & NEPHROLOGY
Central European Journal of Urology Pub Date : 2025-01-01 Epub Date: 2025-05-25 DOI:10.5173/ceju.2024.0224
Basri Cakiroglu, İsmail Cenk Acar, Bekir Sami Uyanık
{"title":"Rezum水蒸汽疗法治疗良性前列腺阻塞的1年随访结果:最大的真实世界数据来自土耳其。","authors":"Basri Cakiroglu, İsmail Cenk Acar, Bekir Sami Uyanık","doi":"10.5173/ceju.2024.0224","DOIUrl":null,"url":null,"abstract":"<p><strong>Introduction: </strong>The study aimed to retrospectively assess the safety and efficacy of Rezum, a promising minimally invasive treatment method for BPH, in patients treated at our clinic.</p><p><strong>Material and methods: </strong>From January 1, 2022, to December 31, 2022, a cohort of 71 patients presenting with moderate to severe lower urinary tract symptoms (LUTS) associated with benign prostatic hyperplasia (BPH) were enrolled in the study. These individuals opted for Rezum therapy as their treatment approach. Primary outcome measures included the International Prostate Symptom Score (IPSS), maximum flow rate (Q<sub>max</sub>), post-void residual volume (PVR), Quality of Life (QoL), prostate volume (PV), prostate-specific antigen (PSA), and the International Index of Erectile Function (IIEF) questionnaire.</p><p><strong>Results: </strong>The median age of the 71 patients was 62.1 ±9.3 years, with a median PV of 60.4 ±16.6 ml. Preoperatively, IPSS was 21.9 ±5.2, Q<sub>max</sub> was 9.67 ±3.2, QoL was 3.35 ±0.61, IIEF-5 was 23.9 ±5.4, total PSA was 2.43 ±1.27 ng/ml, and PVR was 177.4 ±216.5 ml. At the 3-month follow-up, IPSS improved to 10.1 ±5.6, Q<sub>max</sub> to 24.5 ±3.7, QoL to 1.2±0.51, IIEF-5 to 24.5 ±5.4, total PSA to 1.8 ±0.9 ng/ml, and PVR remained at 177.4 ±216.5 ml. At the 12-month follow-up, IPSS was 6.0 ±3.1, Q<sub>max</sub> was 18.12 ±3.7, QoL was 1.2 ±0.51, IIEF-5 was 24.5 ±5.4, total PSA was 1.8 ±0.9 ng/ml, and PVR was 24.9 ±25.2 ml.</p><p><strong>Conclusions: </strong>Rezum therapy is a safe, effective, and minimally invasive option for the treatment of men with moderate to severe lower urinary tract symptoms (LUTS).</p>","PeriodicalId":9744,"journal":{"name":"Central European Journal of Urology","volume":"78 2","pages":"144-150"},"PeriodicalIF":1.9000,"publicationDate":"2025-01-01","publicationTypes":"Journal Article","fieldsOfStudy":null,"isOpenAccess":false,"openAccessPdf":"https://www.ncbi.nlm.nih.gov/pmc/articles/PMC12379829/pdf/","citationCount":"0","resultStr":"{\"title\":\"Outcomes of Rezum water vapor therapy for benign prostate obstruction with 1-year follow-up: Largest real-world data from Turkey.\",\"authors\":\"Basri Cakiroglu, İsmail Cenk Acar, Bekir Sami Uyanık\",\"doi\":\"10.5173/ceju.2024.0224\",\"DOIUrl\":null,\"url\":null,\"abstract\":\"<p><strong>Introduction: </strong>The study aimed to retrospectively assess the safety and efficacy of Rezum, a promising minimally invasive treatment method for BPH, in patients treated at our clinic.</p><p><strong>Material and methods: </strong>From January 1, 2022, to December 31, 2022, a cohort of 71 patients presenting with moderate to severe lower urinary tract symptoms (LUTS) associated with benign prostatic hyperplasia (BPH) were enrolled in the study. These individuals opted for Rezum therapy as their treatment approach. Primary outcome measures included the International Prostate Symptom Score (IPSS), maximum flow rate (Q<sub>max</sub>), post-void residual volume (PVR), Quality of Life (QoL), prostate volume (PV), prostate-specific antigen (PSA), and the International Index of Erectile Function (IIEF) questionnaire.</p><p><strong>Results: </strong>The median age of the 71 patients was 62.1 ±9.3 years, with a median PV of 60.4 ±16.6 ml. Preoperatively, IPSS was 21.9 ±5.2, Q<sub>max</sub> was 9.67 ±3.2, QoL was 3.35 ±0.61, IIEF-5 was 23.9 ±5.4, total PSA was 2.43 ±1.27 ng/ml, and PVR was 177.4 ±216.5 ml. At the 3-month follow-up, IPSS improved to 10.1 ±5.6, Q<sub>max</sub> to 24.5 ±3.7, QoL to 1.2±0.51, IIEF-5 to 24.5 ±5.4, total PSA to 1.8 ±0.9 ng/ml, and PVR remained at 177.4 ±216.5 ml. At the 12-month follow-up, IPSS was 6.0 ±3.1, Q<sub>max</sub> was 18.12 ±3.7, QoL was 1.2 ±0.51, IIEF-5 was 24.5 ±5.4, total PSA was 1.8 ±0.9 ng/ml, and PVR was 24.9 ±25.2 ml.</p><p><strong>Conclusions: </strong>Rezum therapy is a safe, effective, and minimally invasive option for the treatment of men with moderate to severe lower urinary tract symptoms (LUTS).</p>\",\"PeriodicalId\":9744,\"journal\":{\"name\":\"Central European Journal of Urology\",\"volume\":\"78 2\",\"pages\":\"144-150\"},\"PeriodicalIF\":1.9000,\"publicationDate\":\"2025-01-01\",\"publicationTypes\":\"Journal Article\",\"fieldsOfStudy\":null,\"isOpenAccess\":false,\"openAccessPdf\":\"https://www.ncbi.nlm.nih.gov/pmc/articles/PMC12379829/pdf/\",\"citationCount\":\"0\",\"resultStr\":null,\"platform\":\"Semanticscholar\",\"paperid\":null,\"PeriodicalName\":\"Central European Journal of Urology\",\"FirstCategoryId\":\"1085\",\"ListUrlMain\":\"https://doi.org/10.5173/ceju.2024.0224\",\"RegionNum\":0,\"RegionCategory\":null,\"ArticlePicture\":[],\"TitleCN\":null,\"AbstractTextCN\":null,\"PMCID\":null,\"EPubDate\":\"2025/5/25 0:00:00\",\"PubModel\":\"Epub\",\"JCR\":\"Q3\",\"JCRName\":\"UROLOGY & NEPHROLOGY\",\"Score\":null,\"Total\":0}","platform":"Semanticscholar","paperid":null,"PeriodicalName":"Central European Journal of Urology","FirstCategoryId":"1085","ListUrlMain":"https://doi.org/10.5173/ceju.2024.0224","RegionNum":0,"RegionCategory":null,"ArticlePicture":[],"TitleCN":null,"AbstractTextCN":null,"PMCID":null,"EPubDate":"2025/5/25 0:00:00","PubModel":"Epub","JCR":"Q3","JCRName":"UROLOGY & NEPHROLOGY","Score":null,"Total":0}
引用次数: 0

摘要

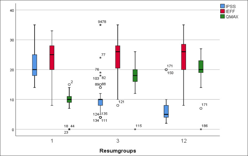
简介:本研究旨在回顾性评估Rezum(一种很有前景的BPH微创治疗方法)在我诊所治疗的患者中的安全性和有效性。材料和方法:从2022年1月1日至2022年12月31日,入选了71例出现中度至重度下尿路症状(LUTS)并伴有良性前列腺增生(BPH)的患者。这些个体选择Rezum疗法作为他们的治疗方法。主要结局指标包括国际前列腺症状评分(IPSS)、最大血流率(Qmax)、空后残留体积(PVR)、生活质量(QoL)、前列腺体积(PV)、前列腺特异性抗原(PSA)和国际勃起功能指数(IIEF)问卷。结果:71名患者的平均年龄为62.1±9.3年,平均PV为60.4±16.6毫升。术前,入侵防御为21.9±5.2,Qmax为9.67±3.2,生命质量为3.35±0.61,IIEF-5为23.9±5.4,总PSA值为2.43±1.27 ng / ml, PVR是177.4±216.5毫升。3个月随访,入侵防御提高到10.1±5.6,Qmax 24.5±3.7,生命质量为1.2±0.51,IIEF-5 24.5±5.4,1.8±0.9 ng / ml的总PSA, PVR保持在177.4±216.5毫升。12个月随访,入侵防御为6.0±3.1,Qmax为18.12±3.7,QoL为1.2±0.51,IIEF-5为24.5±5.4,总PSA为1.8±0.9 ng/ml, PVR为24.9±25.2 ml。结论:Rezum治疗中重度下尿路症状(LUTS)是一种安全、有效、微创的治疗方法。
本文章由计算机程序翻译,如有差异,请以英文原文为准。

Outcomes of Rezum water vapor therapy for benign prostate obstruction with 1-year follow-up: Largest real-world data from Turkey.

Outcomes of Rezum water vapor therapy for benign prostate obstruction with 1-year follow-up: Largest real-world data from Turkey.

Introduction: The study aimed to retrospectively assess the safety and efficacy of Rezum, a promising minimally invasive treatment method for BPH, in patients treated at our clinic.

Material and methods: From January 1, 2022, to December 31, 2022, a cohort of 71 patients presenting with moderate to severe lower urinary tract symptoms (LUTS) associated with benign prostatic hyperplasia (BPH) were enrolled in the study. These individuals opted for Rezum therapy as their treatment approach. Primary outcome measures included the International Prostate Symptom Score (IPSS), maximum flow rate (Qmax), post-void residual volume (PVR), Quality of Life (QoL), prostate volume (PV), prostate-specific antigen (PSA), and the International Index of Erectile Function (IIEF) questionnaire.

Results: The median age of the 71 patients was 62.1 ±9.3 years, with a median PV of 60.4 ±16.6 ml. Preoperatively, IPSS was 21.9 ±5.2, Qmax was 9.67 ±3.2, QoL was 3.35 ±0.61, IIEF-5 was 23.9 ±5.4, total PSA was 2.43 ±1.27 ng/ml, and PVR was 177.4 ±216.5 ml. At the 3-month follow-up, IPSS improved to 10.1 ±5.6, Qmax to 24.5 ±3.7, QoL to 1.2±0.51, IIEF-5 to 24.5 ±5.4, total PSA to 1.8 ±0.9 ng/ml, and PVR remained at 177.4 ±216.5 ml. At the 12-month follow-up, IPSS was 6.0 ±3.1, Qmax was 18.12 ±3.7, QoL was 1.2 ±0.51, IIEF-5 was 24.5 ±5.4, total PSA was 1.8 ±0.9 ng/ml, and PVR was 24.9 ±25.2 ml.

Conclusions: Rezum therapy is a safe, effective, and minimally invasive option for the treatment of men with moderate to severe lower urinary tract symptoms (LUTS).

求助全文
通过发布文献求助,成功后即可免费获取论文全文。 去求助
来源期刊
Central European Journal of Urology
Central European Journal of Urology UROLOGY & NEPHROLOGY-
CiteScore
2.30
自引率
8.30%
发文量
48
×
引用
GB/T 7714-2015
复制
MLA
复制
APA
复制
导出至
BibTeX EndNote RefMan NoteFirst NoteExpress
×
提示
您的信息不完整,为了账户安全,请先补充。
现在去补充
×
提示
您因"违规操作"
具体请查看互助需知
我知道了
×
提示
确定
请完成安全验证×
copy
已复制链接
快去分享给好友吧!
我知道了
右上角分享
点击右上角分享
0
联系我们:info@booksci.cn Book学术提供免费学术资源搜索服务,方便国内外学者检索中英文文献。致力于提供最便捷和优质的服务体验。 Copyright © 2023 布克学术 All rights reserved.
京ICP备2023020795号-1
ghs 京公网安备 11010802042870号
Book学术文献互助
Book学术文献互助群
群 号:604180095
Book学术官方微信