氟吡坦和帕洛诺司酮混合制剂(HR20013)联合地塞米松在计划进行高致吐性顺铂化疗的实体肿瘤患者中的药代动力学、安全性和有效性:一项I期试验。

IF 8.3 1区 医学 Q1 MEDICINE, GENERAL & INTERNAL
Yuanyuan Zhao, Yuxiang Ma, Tengrui Yin, Zhiquan Qin, Linlin Liu, Guoqiang Kong, Ranran Zhang, Yuanyuan Huang, Li Zhang, Hongyun Zhao
{"title":"氟吡坦和帕洛诺司酮混合制剂(HR20013)联合地塞米松在计划进行高致吐性顺铂化疗的实体肿瘤患者中的药代动力学、安全性和有效性:一项I期试验。","authors":"Yuanyuan Zhao, Yuxiang Ma, Tengrui Yin, Zhiquan Qin, Linlin Liu, Guoqiang Kong, Ranran Zhang, Yuanyuan Huang, Li Zhang, Hongyun Zhao","doi":"10.1186/s12916-025-04314-5","DOIUrl":null,"url":null,"abstract":"<p><strong>Background: </strong>This phase I trial aimed to assess the pharmacokinetics (PK), safety, and preliminary efficacy of a single dose of HR20013 (mixed formulation of fosrolapitant and palonosetron) plus dexamethasone in patients with malignant solid tumors.</p><p><strong>Methods: </strong>Solid tumor patients who were naive to cisplatin-based chemotherapy and scheduled to receive the single-day cisplatin-based chemotherapy were enrolled. Patients would receive a single intravenous infusion of HR20013 (Day 1) before cisplatin-based chemotherapy, alongside oral dexamethasone (Day 1, 12 mg, once a day; Day 2-4, 3.75 mg, twice a day). Primary endpoints were PK parameters of fosrolapitant, rolapitant, M19 (a major active metabolite of rolapitant), palonosetron, and dexamethasone.</p><p><strong>Results: </strong>Twenty-four patients were enrolled, and 22 received study treatment. Fosrolapitant reached maximum plasma concentration (C<sub>max</sub>) immediately at the end of the infusion of HR20013 (1 h), followed by a short terminal phase, and it was completely hydrolyzed into rolapitant. Mean elimination half-lives of rolapitant and palonosetron were 188.2 and 51.5 h, respectively. M19 reached C<sub>max</sub> at approximately 166.2 h. After a single oral administration of dexamethasone at 12 mg, when combined with HR20013, dexamethasone reached C<sub>max</sub> at approximately 1.5 h, with a mean C<sub>max</sub> of 106.0 ng/mL. Treatment-related adverse events occurred in 54.5% of patients, with constipation (22.7%), increased blood pressure (18.2%), abdominal distension (13.6%), injection site reaction (9.1%), and increased neutrophil count (9.1%) being most common. Complete response rates (no emesis/rescue therapy) were 90.9% at the overall phase (0-120 h) and 86.4% at the beyond delayed phase (120-168 h).</p><p><strong>Conclusions: </strong>HR20013 plus dexamethasone had a favorable PK profile, manageable safety, and durable antiemetic efficacy.</p><p><strong>Trial registration: </strong>ClinicalTrials.gov, NCT05465681.</p>","PeriodicalId":9188,"journal":{"name":"BMC Medicine","volume":"23 1","pages":"501"},"PeriodicalIF":8.3000,"publicationDate":"2025-08-27","publicationTypes":"Journal Article","fieldsOfStudy":null,"isOpenAccess":false,"openAccessPdf":"https://www.ncbi.nlm.nih.gov/pmc/articles/PMC12392532/pdf/","citationCount":"0","resultStr":"{\"title\":\"Pharmacokinetics, safety, and efficacy of mixed formulation of fosrolapitant and palonosetron (HR20013) in combination with dexamethasone in patients with solid tumors scheduled for highly emetogenic cisplatin-based chemotherapy: a phase I trial.\",\"authors\":\"Yuanyuan Zhao, Yuxiang Ma, Tengrui Yin, Zhiquan Qin, Linlin Liu, Guoqiang Kong, Ranran Zhang, Yuanyuan Huang, Li Zhang, Hongyun Zhao\",\"doi\":\"10.1186/s12916-025-04314-5\",\"DOIUrl\":null,\"url\":null,\"abstract\":\"<p><strong>Background: </strong>This phase I trial aimed to assess the pharmacokinetics (PK), safety, and preliminary efficacy of a single dose of HR20013 (mixed formulation of fosrolapitant and palonosetron) plus dexamethasone in patients with malignant solid tumors.</p><p><strong>Methods: </strong>Solid tumor patients who were naive to cisplatin-based chemotherapy and scheduled to receive the single-day cisplatin-based chemotherapy were enrolled. Patients would receive a single intravenous infusion of HR20013 (Day 1) before cisplatin-based chemotherapy, alongside oral dexamethasone (Day 1, 12 mg, once a day; Day 2-4, 3.75 mg, twice a day). Primary endpoints were PK parameters of fosrolapitant, rolapitant, M19 (a major active metabolite of rolapitant), palonosetron, and dexamethasone.</p><p><strong>Results: </strong>Twenty-four patients were enrolled, and 22 received study treatment. Fosrolapitant reached maximum plasma concentration (C<sub>max</sub>) immediately at the end of the infusion of HR20013 (1 h), followed by a short terminal phase, and it was completely hydrolyzed into rolapitant. Mean elimination half-lives of rolapitant and palonosetron were 188.2 and 51.5 h, respectively. M19 reached C<sub>max</sub> at approximately 166.2 h. After a single oral administration of dexamethasone at 12 mg, when combined with HR20013, dexamethasone reached C<sub>max</sub> at approximately 1.5 h, with a mean C<sub>max</sub> of 106.0 ng/mL. Treatment-related adverse events occurred in 54.5% of patients, with constipation (22.7%), increased blood pressure (18.2%), abdominal distension (13.6%), injection site reaction (9.1%), and increased neutrophil count (9.1%) being most common. Complete response rates (no emesis/rescue therapy) were 90.9% at the overall phase (0-120 h) and 86.4% at the beyond delayed phase (120-168 h).</p><p><strong>Conclusions: </strong>HR20013 plus dexamethasone had a favorable PK profile, manageable safety, and durable antiemetic efficacy.</p><p><strong>Trial registration: </strong>ClinicalTrials.gov, NCT05465681.</p>\",\"PeriodicalId\":9188,\"journal\":{\"name\":\"BMC Medicine\",\"volume\":\"23 1\",\"pages\":\"501\"},\"PeriodicalIF\":8.3000,\"publicationDate\":\"2025-08-27\",\"publicationTypes\":\"Journal Article\",\"fieldsOfStudy\":null,\"isOpenAccess\":false,\"openAccessPdf\":\"https://www.ncbi.nlm.nih.gov/pmc/articles/PMC12392532/pdf/\",\"citationCount\":\"0\",\"resultStr\":null,\"platform\":\"Semanticscholar\",\"paperid\":null,\"PeriodicalName\":\"BMC Medicine\",\"FirstCategoryId\":\"3\",\"ListUrlMain\":\"https://doi.org/10.1186/s12916-025-04314-5\",\"RegionNum\":1,\"RegionCategory\":\"医学\",\"ArticlePicture\":[],\"TitleCN\":null,\"AbstractTextCN\":null,\"PMCID\":null,\"EPubDate\":\"\",\"PubModel\":\"\",\"JCR\":\"Q1\",\"JCRName\":\"MEDICINE, GENERAL & INTERNAL\",\"Score\":null,\"Total\":0}","platform":"Semanticscholar","paperid":null,"PeriodicalName":"BMC Medicine","FirstCategoryId":"3","ListUrlMain":"https://doi.org/10.1186/s12916-025-04314-5","RegionNum":1,"RegionCategory":"医学","ArticlePicture":[],"TitleCN":null,"AbstractTextCN":null,"PMCID":null,"EPubDate":"","PubModel":"","JCR":"Q1","JCRName":"MEDICINE, GENERAL & INTERNAL","Score":null,"Total":0}
引用次数: 0

摘要

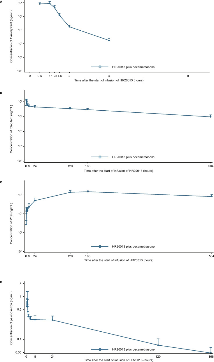
背景:本I期临床试验旨在评估单剂量HR20013 (fosrolapitan和palonosetron混合制剂)加地塞米松治疗恶性实体瘤患者的药代动力学(PK)、安全性和初步疗效。方法:纳入首次接受顺铂类化疗并计划接受1天顺铂类化疗的实体瘤患者。在以顺铂为基础的化疗之前,患者将接受单次静脉输注HR20013(第1天),同时口服地塞米松(第1天,12 mg,每天1次;第2-4天,3.75 mg,每天2次)。主要终点是磷匹坦、洛匹坦、M19(洛匹坦的主要活性代谢物)、帕洛诺司琼和地塞米松的PK参数。结果:24例患者入组,22例患者接受研究治疗。氟硝吡坦在HR20013输注结束后(1 h)立即达到最大血药浓度(Cmax),随后有一个短暂的终末期,完全水解为氟硝吡坦。罗拉匹坦和帕洛诺司琼的平均消除半衰期分别为188.2和51.5 h。单次口服地塞米松12mg后,与HR20013联合使用时,地塞米松在约1.5 h达到Cmax,平均Cmax为106.0 ng/mL。54.5%的患者发生治疗相关不良事件,其中便秘(22.7%)、血压升高(18.2%)、腹胀(13.6%)、注射部位反应(9.1%)和中性粒细胞计数增加(9.1%)最为常见。完全缓解率(无呕吐/抢救治疗)在总期(0-120 h)为90.9%,在延迟期(120-168 h)为86.4%。结论:HR20013联合地塞米松具有良好的PK特征、可管理的安全性和持久的止吐效果。试验注册:ClinicalTrials.gov, NCT05465681。
本文章由计算机程序翻译,如有差异,请以英文原文为准。

Pharmacokinetics, safety, and efficacy of mixed formulation of fosrolapitant and palonosetron (HR20013) in combination with dexamethasone in patients with solid tumors scheduled for highly emetogenic cisplatin-based chemotherapy: a phase I trial.

Pharmacokinetics, safety, and efficacy of mixed formulation of fosrolapitant and palonosetron (HR20013) in combination with dexamethasone in patients with solid tumors scheduled for highly emetogenic cisplatin-based chemotherapy: a phase I trial.

Pharmacokinetics, safety, and efficacy of mixed formulation of fosrolapitant and palonosetron (HR20013) in combination with dexamethasone in patients with solid tumors scheduled for highly emetogenic cisplatin-based chemotherapy: a phase I trial.

Pharmacokinetics, safety, and efficacy of mixed formulation of fosrolapitant and palonosetron (HR20013) in combination with dexamethasone in patients with solid tumors scheduled for highly emetogenic cisplatin-based chemotherapy: a phase I trial.

Background: This phase I trial aimed to assess the pharmacokinetics (PK), safety, and preliminary efficacy of a single dose of HR20013 (mixed formulation of fosrolapitant and palonosetron) plus dexamethasone in patients with malignant solid tumors.

Methods: Solid tumor patients who were naive to cisplatin-based chemotherapy and scheduled to receive the single-day cisplatin-based chemotherapy were enrolled. Patients would receive a single intravenous infusion of HR20013 (Day 1) before cisplatin-based chemotherapy, alongside oral dexamethasone (Day 1, 12 mg, once a day; Day 2-4, 3.75 mg, twice a day). Primary endpoints were PK parameters of fosrolapitant, rolapitant, M19 (a major active metabolite of rolapitant), palonosetron, and dexamethasone.

Results: Twenty-four patients were enrolled, and 22 received study treatment. Fosrolapitant reached maximum plasma concentration (Cmax) immediately at the end of the infusion of HR20013 (1 h), followed by a short terminal phase, and it was completely hydrolyzed into rolapitant. Mean elimination half-lives of rolapitant and palonosetron were 188.2 and 51.5 h, respectively. M19 reached Cmax at approximately 166.2 h. After a single oral administration of dexamethasone at 12 mg, when combined with HR20013, dexamethasone reached Cmax at approximately 1.5 h, with a mean Cmax of 106.0 ng/mL. Treatment-related adverse events occurred in 54.5% of patients, with constipation (22.7%), increased blood pressure (18.2%), abdominal distension (13.6%), injection site reaction (9.1%), and increased neutrophil count (9.1%) being most common. Complete response rates (no emesis/rescue therapy) were 90.9% at the overall phase (0-120 h) and 86.4% at the beyond delayed phase (120-168 h).

Conclusions: HR20013 plus dexamethasone had a favorable PK profile, manageable safety, and durable antiemetic efficacy.

Trial registration: ClinicalTrials.gov, NCT05465681.

求助全文
通过发布文献求助,成功后即可免费获取论文全文。 去求助
来源期刊
BMC Medicine
BMC Medicine 医学-医学:内科
CiteScore
13.10
自引率
1.10%
发文量
435
审稿时长
4-8 weeks
期刊介绍: BMC Medicine is an open access, transparent peer-reviewed general medical journal. It is the flagship journal of the BMC series and publishes outstanding and influential research in various areas including clinical practice, translational medicine, medical and health advances, public health, global health, policy, and general topics of interest to the biomedical and sociomedical professional communities. In addition to research articles, the journal also publishes stimulating debates, reviews, unique forum articles, and concise tutorials. All articles published in BMC Medicine are included in various databases such as Biological Abstracts, BIOSIS, CAS, Citebase, Current contents, DOAJ, Embase, MEDLINE, PubMed, Science Citation Index Expanded, OAIster, SCImago, Scopus, SOCOLAR, and Zetoc.
×
引用
GB/T 7714-2015
复制
MLA
复制
APA
复制
导出至
BibTeX EndNote RefMan NoteFirst NoteExpress
×
提示
您的信息不完整,为了账户安全,请先补充。
现在去补充
×
提示
您因"违规操作"
具体请查看互助需知
我知道了
×
提示
确定
请完成安全验证×
copy
已复制链接
快去分享给好友吧!
我知道了
右上角分享
点击右上角分享
0
联系我们:info@booksci.cn Book学术提供免费学术资源搜索服务,方便国内外学者检索中英文文献。致力于提供最便捷和优质的服务体验。 Copyright © 2023 布克学术 All rights reserved.
京ICP备2023020795号-1
ghs 京公网安备 11010802042870号
Book学术文献互助
Book学术文献互助群
群 号:604180095
Book学术官方微信