在202,682名成年人中,非传染性疾病风险因素的收入不平等和预防保健服务的不平等:南亚生物银行的横断面研究。

IF 8.3 1区 医学 Q1 MEDICINE, GENERAL & INTERNAL
Bernardo Andretti, Petya Atanasova, Zoey Verdun, Nalinda Tharanga Wellappuli, Rajendra Pradeepa, Sudha Vasudevan, Akansha Tyagi, Ali Ahsan, Md Mokbul Hossain, Abu Ahmed Shamim, Fahmida Akter, Sara Mahmood, Lathika Athauda, Manoja Gamage, Manuja Kaluarachchi, Thomas Burgoine, Soren Brage, Nita G Forouhi, Ian Goon, Marie Loh, Prasad Katulanda, Anuradhani Kasturiratne, Khadija Irfan Khawaja, Sajjad Ahmad, Malay K Mridha, Vinitaa Jha, Ranjit Mohan Anjana, John C Chambers, Gary Frost, Franco Sassi, Marisa Miraldo
{"title":"在202,682名成年人中,非传染性疾病风险因素的收入不平等和预防保健服务的不平等:南亚生物银行的横断面研究。","authors":"Bernardo Andretti, Petya Atanasova, Zoey Verdun, Nalinda Tharanga Wellappuli, Rajendra Pradeepa, Sudha Vasudevan, Akansha Tyagi, Ali Ahsan, Md Mokbul Hossain, Abu Ahmed Shamim, Fahmida Akter, Sara Mahmood, Lathika Athauda, Manoja Gamage, Manuja Kaluarachchi, Thomas Burgoine, Soren Brage, Nita G Forouhi, Ian Goon, Marie Loh, Prasad Katulanda, Anuradhani Kasturiratne, Khadija Irfan Khawaja, Sajjad Ahmad, Malay K Mridha, Vinitaa Jha, Ranjit Mohan Anjana, John C Chambers, Gary Frost, Franco Sassi, Marisa Miraldo","doi":"10.1186/s12916-025-04308-3","DOIUrl":null,"url":null,"abstract":"<p><strong>Background: </strong>There is scant research examining income-based inequalities in risk factors of non-communicable diseases (NCDs) and inequities of preventive care services across the South Asian population.</p><p><strong>Methods: </strong>We conducted a cross-sectional study of 202,682 adults aged 18 or above in four South Asian countries: Bangladesh, India, Pakistan, and Sri Lanka. We combined South Asia Biobank (SAB) surveillance data with environmental mapping exposure and 24-h dietary recall to estimate income-based inequalities using concentration curves and concentration indices (CI) that measure the magnitude and directional inequality effects. We also computed the horizontal inequity index (HII) for need-standardised healthcare utilisation and advice by measuring the extent to which the distribution of health promotion advice matches the distribution of diet-related risk factor variables across the income distribution. We reported concentration index coefficients and standard errors.</p><p><strong>Results: </strong>Inequalities in exposure and diet-related risk factors of NCDs were observed. Underweight was concentrated amongst the poor (CI = - 0.16, SE = 0.005, p < 0.001), while overweight and obesity were concentrated amongst the rich (CI = 0.11, SE = 0.003, p < 0.001). Non-recommended intake of fats (CI = 0.04, SE = 0.003, p < 0.001) and carbohydrates were concentrated amongst the rich (CI = 0.05, SE = 0.003, p < 0.001), while non-recommended intake of free sugars (CI = - 0.05, SE = 0.004, p < 0.001) and fruits and vegetables amongst the poor (CI = - 0.07, SE = 0.005, p < 0.001). Exposure to unhealthy outlets was concentrated amongst the rich (CI = 0.02, SE = 0.002, p < 0.001). There were persistent and pro-rich inequities in healthcare utilisation (HII = 0.02, SE = 0.002, p < 0.001) and advice for salt reduction (HII = 0.02, SE = 0.004, p < 0.001), fat reduction (HII = 0.02, SE = 0.004, p < 0.001), healthy weight (HII = 0.03, SE = 0.006, p < 0.001), and fruits and vegetables consumption (HII = 0.04, SE = 0.004, p < 0.001).</p><p><strong>Conclusions: </strong>These findings indicate the need to address and mitigate income-based inequalities in diet-related risk factors of NCDs and underscore the need of policies directed at mitigating NCDs risk exposure and achieving improved and equitable access to healthcare.</p>","PeriodicalId":9188,"journal":{"name":"BMC Medicine","volume":"23 1","pages":"504"},"PeriodicalIF":8.3000,"publicationDate":"2025-08-29","publicationTypes":"Journal Article","fieldsOfStudy":null,"isOpenAccess":false,"openAccessPdf":"https://www.ncbi.nlm.nih.gov/pmc/articles/PMC12395800/pdf/","citationCount":"0","resultStr":"{\"title\":\"Income-based inequalities in risk factors of NCDs and inequities of preventive care services amongst 202,682 adults: a cross-sectional study of South Asia Biobank.\",\"authors\":\"Bernardo Andretti, Petya Atanasova, Zoey Verdun, Nalinda Tharanga Wellappuli, Rajendra Pradeepa, Sudha Vasudevan, Akansha Tyagi, Ali Ahsan, Md Mokbul Hossain, Abu Ahmed Shamim, Fahmida Akter, Sara Mahmood, Lathika Athauda, Manoja Gamage, Manuja Kaluarachchi, Thomas Burgoine, Soren Brage, Nita G Forouhi, Ian Goon, Marie Loh, Prasad Katulanda, Anuradhani Kasturiratne, Khadija Irfan Khawaja, Sajjad Ahmad, Malay K Mridha, Vinitaa Jha, Ranjit Mohan Anjana, John C Chambers, Gary Frost, Franco Sassi, Marisa Miraldo\",\"doi\":\"10.1186/s12916-025-04308-3\",\"DOIUrl\":null,\"url\":null,\"abstract\":\"<p><strong>Background: </strong>There is scant research examining income-based inequalities in risk factors of non-communicable diseases (NCDs) and inequities of preventive care services across the South Asian population.</p><p><strong>Methods: </strong>We conducted a cross-sectional study of 202,682 adults aged 18 or above in four South Asian countries: Bangladesh, India, Pakistan, and Sri Lanka. We combined South Asia Biobank (SAB) surveillance data with environmental mapping exposure and 24-h dietary recall to estimate income-based inequalities using concentration curves and concentration indices (CI) that measure the magnitude and directional inequality effects. We also computed the horizontal inequity index (HII) for need-standardised healthcare utilisation and advice by measuring the extent to which the distribution of health promotion advice matches the distribution of diet-related risk factor variables across the income distribution. We reported concentration index coefficients and standard errors.</p><p><strong>Results: </strong>Inequalities in exposure and diet-related risk factors of NCDs were observed. Underweight was concentrated amongst the poor (CI = - 0.16, SE = 0.005, p < 0.001), while overweight and obesity were concentrated amongst the rich (CI = 0.11, SE = 0.003, p < 0.001). Non-recommended intake of fats (CI = 0.04, SE = 0.003, p < 0.001) and carbohydrates were concentrated amongst the rich (CI = 0.05, SE = 0.003, p < 0.001), while non-recommended intake of free sugars (CI = - 0.05, SE = 0.004, p < 0.001) and fruits and vegetables amongst the poor (CI = - 0.07, SE = 0.005, p < 0.001). Exposure to unhealthy outlets was concentrated amongst the rich (CI = 0.02, SE = 0.002, p < 0.001). There were persistent and pro-rich inequities in healthcare utilisation (HII = 0.02, SE = 0.002, p < 0.001) and advice for salt reduction (HII = 0.02, SE = 0.004, p < 0.001), fat reduction (HII = 0.02, SE = 0.004, p < 0.001), healthy weight (HII = 0.03, SE = 0.006, p < 0.001), and fruits and vegetables consumption (HII = 0.04, SE = 0.004, p < 0.001).</p><p><strong>Conclusions: </strong>These findings indicate the need to address and mitigate income-based inequalities in diet-related risk factors of NCDs and underscore the need of policies directed at mitigating NCDs risk exposure and achieving improved and equitable access to healthcare.</p>\",\"PeriodicalId\":9188,\"journal\":{\"name\":\"BMC Medicine\",\"volume\":\"23 1\",\"pages\":\"504\"},\"PeriodicalIF\":8.3000,\"publicationDate\":\"2025-08-29\",\"publicationTypes\":\"Journal Article\",\"fieldsOfStudy\":null,\"isOpenAccess\":false,\"openAccessPdf\":\"https://www.ncbi.nlm.nih.gov/pmc/articles/PMC12395800/pdf/\",\"citationCount\":\"0\",\"resultStr\":null,\"platform\":\"Semanticscholar\",\"paperid\":null,\"PeriodicalName\":\"BMC Medicine\",\"FirstCategoryId\":\"3\",\"ListUrlMain\":\"https://doi.org/10.1186/s12916-025-04308-3\",\"RegionNum\":1,\"RegionCategory\":\"医学\",\"ArticlePicture\":[],\"TitleCN\":null,\"AbstractTextCN\":null,\"PMCID\":null,\"EPubDate\":\"\",\"PubModel\":\"\",\"JCR\":\"Q1\",\"JCRName\":\"MEDICINE, GENERAL & INTERNAL\",\"Score\":null,\"Total\":0}","platform":"Semanticscholar","paperid":null,"PeriodicalName":"BMC Medicine","FirstCategoryId":"3","ListUrlMain":"https://doi.org/10.1186/s12916-025-04308-3","RegionNum":1,"RegionCategory":"医学","ArticlePicture":[],"TitleCN":null,"AbstractTextCN":null,"PMCID":null,"EPubDate":"","PubModel":"","JCR":"Q1","JCRName":"MEDICINE, GENERAL & INTERNAL","Score":null,"Total":0}
引用次数: 0

摘要

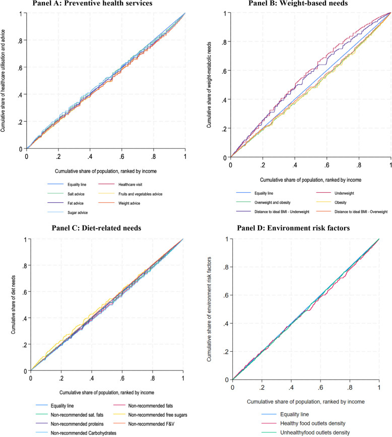
背景:关于南亚人口中非传染性疾病(NCDs)风险因素的收入不平等和预防保健服务不平等的研究很少。方法:我们对来自四个南亚国家(孟加拉国、印度、巴基斯坦和斯里兰卡)的202,682名18岁或以上的成年人进行了横断面研究。我们将南亚生物银行(SAB)监测数据与环境映射暴露和24小时饮食召回相结合,使用浓度曲线和浓度指数(CI)来估计基于收入的不平等,浓度曲线和浓度指数(CI)衡量不平等影响的大小和方向。我们还通过测量健康促进建议的分布与饮食相关风险因素变量在收入分布中的分布匹配程度,计算了需求标准化医疗保健利用和建议的水平不平等指数(HII)。我们报告了浓度指标系数和标准误差。结果:观察到非传染性疾病暴露和饮食相关危险因素的不平等。结论:这些发现表明,有必要解决和减轻非传染性疾病饮食相关风险因素中基于收入的不平等,并强调有必要制定旨在减轻非传染性疾病风险暴露和实现改善和公平获得医疗保健的政策。
本文章由计算机程序翻译,如有差异,请以英文原文为准。

Income-based inequalities in risk factors of NCDs and inequities of preventive care services amongst 202,682 adults: a cross-sectional study of South Asia Biobank.

Income-based inequalities in risk factors of NCDs and inequities of preventive care services amongst 202,682 adults: a cross-sectional study of South Asia Biobank.

Background: There is scant research examining income-based inequalities in risk factors of non-communicable diseases (NCDs) and inequities of preventive care services across the South Asian population.

Methods: We conducted a cross-sectional study of 202,682 adults aged 18 or above in four South Asian countries: Bangladesh, India, Pakistan, and Sri Lanka. We combined South Asia Biobank (SAB) surveillance data with environmental mapping exposure and 24-h dietary recall to estimate income-based inequalities using concentration curves and concentration indices (CI) that measure the magnitude and directional inequality effects. We also computed the horizontal inequity index (HII) for need-standardised healthcare utilisation and advice by measuring the extent to which the distribution of health promotion advice matches the distribution of diet-related risk factor variables across the income distribution. We reported concentration index coefficients and standard errors.

Results: Inequalities in exposure and diet-related risk factors of NCDs were observed. Underweight was concentrated amongst the poor (CI = - 0.16, SE = 0.005, p < 0.001), while overweight and obesity were concentrated amongst the rich (CI = 0.11, SE = 0.003, p < 0.001). Non-recommended intake of fats (CI = 0.04, SE = 0.003, p < 0.001) and carbohydrates were concentrated amongst the rich (CI = 0.05, SE = 0.003, p < 0.001), while non-recommended intake of free sugars (CI = - 0.05, SE = 0.004, p < 0.001) and fruits and vegetables amongst the poor (CI = - 0.07, SE = 0.005, p < 0.001). Exposure to unhealthy outlets was concentrated amongst the rich (CI = 0.02, SE = 0.002, p < 0.001). There were persistent and pro-rich inequities in healthcare utilisation (HII = 0.02, SE = 0.002, p < 0.001) and advice for salt reduction (HII = 0.02, SE = 0.004, p < 0.001), fat reduction (HII = 0.02, SE = 0.004, p < 0.001), healthy weight (HII = 0.03, SE = 0.006, p < 0.001), and fruits and vegetables consumption (HII = 0.04, SE = 0.004, p < 0.001).

Conclusions: These findings indicate the need to address and mitigate income-based inequalities in diet-related risk factors of NCDs and underscore the need of policies directed at mitigating NCDs risk exposure and achieving improved and equitable access to healthcare.

求助全文
通过发布文献求助,成功后即可免费获取论文全文。 去求助
来源期刊
BMC Medicine
BMC Medicine 医学-医学:内科
CiteScore
13.10
自引率
1.10%
发文量
435
审稿时长
4-8 weeks
期刊介绍: BMC Medicine is an open access, transparent peer-reviewed general medical journal. It is the flagship journal of the BMC series and publishes outstanding and influential research in various areas including clinical practice, translational medicine, medical and health advances, public health, global health, policy, and general topics of interest to the biomedical and sociomedical professional communities. In addition to research articles, the journal also publishes stimulating debates, reviews, unique forum articles, and concise tutorials. All articles published in BMC Medicine are included in various databases such as Biological Abstracts, BIOSIS, CAS, Citebase, Current contents, DOAJ, Embase, MEDLINE, PubMed, Science Citation Index Expanded, OAIster, SCImago, Scopus, SOCOLAR, and Zetoc.
×
引用
GB/T 7714-2015
复制
MLA
复制
APA
复制
导出至
BibTeX EndNote RefMan NoteFirst NoteExpress
×
提示
您的信息不完整,为了账户安全,请先补充。
现在去补充
×
提示
您因"违规操作"
具体请查看互助需知
我知道了
×
提示
确定
请完成安全验证×
copy
已复制链接
快去分享给好友吧!
我知道了
右上角分享
点击右上角分享
0
联系我们:info@booksci.cn Book学术提供免费学术资源搜索服务,方便国内外学者检索中英文文献。致力于提供最便捷和优质的服务体验。 Copyright © 2023 布克学术 All rights reserved.
京ICP备2023020795号-1
ghs 京公网安备 11010802042870号
Book学术文献互助
Book学术文献互助群
群 号:604180095
Book学术官方微信