疾病特异性研究与WHO-CHOICE成本估算的一致性如何?在128个低收入和中等收入国家估计每次腹泻和呼吸道合胞病毒发作费用的实例。

IF 6.1 2区 医学 Q1 PUBLIC, ENVIRONMENTAL & OCCUPATIONAL HEALTH
Xiao Li, Joke Bilcke, Ernest O Asare, Catherine Wenger, Jiye Kwon, Louis Bont, Philippe Beutels, Virginia E Pitzer
{"title":"疾病特异性研究与WHO-CHOICE成本估算的一致性如何?在128个低收入和中等收入国家估计每次腹泻和呼吸道合胞病毒发作费用的实例。","authors":"Xiao Li, Joke Bilcke, Ernest O Asare, Catherine Wenger, Jiye Kwon, Louis Bont, Philippe Beutels, Virginia E Pitzer","doi":"10.1136/bmjgh-2024-016784","DOIUrl":null,"url":null,"abstract":"<p><strong>Objective: </strong>Non-disease-specific WHO-CHOICE (CHOosing Interventions that are Cost-Effective) unit costs are often used in cost and cost-effectiveness studies in the absence of country-specific data. This study aims to compare reported country-specific disease costs and the corresponding WHO-CHOICE estimates, using generically defined 'diarrhoea' (including rotavirus diarrhoea) and pathogen-specific 'respiratory syncytial virus (RSV)' disease in children as examples.</p><p><strong>Methods: </strong>We updated systematic reviews for both diseases in low-income (LICs), lower middle-income (LMICs) and upper middle-income (UMICs) countries. Diarrhoeal (including a subanalysis of rotavirus-specific diarrhoea) and RSV-specific outpatient and inpatient costs per episode in children were extracted and compared with WHO-CHOICE estimates in the same countries. All costs were updated to 2022 international dollar values. If a consistent pattern of underestimation or overestimation was identified, we quantified the magnitude of the discrepancy as the ratio of published disease-specific costs and corresponding WHO-CHOICE-based estimates.</p><p><strong>Results: </strong>Out of 1979 records identified, 23 cost studies were included. Including previous reviews, we retained 31 diarrhoea and 16 RSV studies for comparison. WHO-CHOICE-based direct medical costs were similar for diarrhoeal disease (including rotavirus diarrhoea), but lower for RSV-related disease. We estimated the cost per episode of diarrhoea and RSV in 128 countries. RSV outpatient costs were adjusted by multiplying WHO-CHOICE costs by 6.89 (95% uncertainty interval: 5.58 to 8.58) in LICs and LMICs and 5.87 (4.95 to 6.96) in UMICs; RSV inpatient costs were multiplied by 1.43 (1.01 to 2.01) and 1.36 (0.82 to 2.27), respectively.</p><p><strong>Conclusion: </strong>While informative for economic evaluations, WHO-CHOICE-based cost estimates should be used cautiously. Our analysis shows they aligned well with empirical studies for diarrhoeal disease but underestimated the costs of RSV-related disease. For diseases with few country-specific costing studies, comparing findings of the empirical studies with WHO-CHOICE estimates is crucial before conducting economic evaluations for countries without data. We propose a simple approach for calculating adjustment factors for WHO-CHOICE estimates when empirical data on disease-specific diagnosis and treatment costs are limited.</p>","PeriodicalId":9137,"journal":{"name":"BMJ Global Health","volume":"10 8","pages":""},"PeriodicalIF":6.1000,"publicationDate":"2025-08-24","publicationTypes":"Journal Article","fieldsOfStudy":null,"isOpenAccess":false,"openAccessPdf":"https://www.ncbi.nlm.nih.gov/pmc/articles/PMC12382583/pdf/","citationCount":"0","resultStr":"{\"title\":\"How well do disease-specific studies and WHO-CHOICE cost estimates align? Example of estimating cost per episode of diarrhoea and respiratory syncytial virus in 128 low-income and middle-income countries.\",\"authors\":\"Xiao Li, Joke Bilcke, Ernest O Asare, Catherine Wenger, Jiye Kwon, Louis Bont, Philippe Beutels, Virginia E Pitzer\",\"doi\":\"10.1136/bmjgh-2024-016784\",\"DOIUrl\":null,\"url\":null,\"abstract\":\"<p><strong>Objective: </strong>Non-disease-specific WHO-CHOICE (CHOosing Interventions that are Cost-Effective) unit costs are often used in cost and cost-effectiveness studies in the absence of country-specific data. This study aims to compare reported country-specific disease costs and the corresponding WHO-CHOICE estimates, using generically defined 'diarrhoea' (including rotavirus diarrhoea) and pathogen-specific 'respiratory syncytial virus (RSV)' disease in children as examples.</p><p><strong>Methods: </strong>We updated systematic reviews for both diseases in low-income (LICs), lower middle-income (LMICs) and upper middle-income (UMICs) countries. Diarrhoeal (including a subanalysis of rotavirus-specific diarrhoea) and RSV-specific outpatient and inpatient costs per episode in children were extracted and compared with WHO-CHOICE estimates in the same countries. All costs were updated to 2022 international dollar values. If a consistent pattern of underestimation or overestimation was identified, we quantified the magnitude of the discrepancy as the ratio of published disease-specific costs and corresponding WHO-CHOICE-based estimates.</p><p><strong>Results: </strong>Out of 1979 records identified, 23 cost studies were included. Including previous reviews, we retained 31 diarrhoea and 16 RSV studies for comparison. WHO-CHOICE-based direct medical costs were similar for diarrhoeal disease (including rotavirus diarrhoea), but lower for RSV-related disease. We estimated the cost per episode of diarrhoea and RSV in 128 countries. RSV outpatient costs were adjusted by multiplying WHO-CHOICE costs by 6.89 (95% uncertainty interval: 5.58 to 8.58) in LICs and LMICs and 5.87 (4.95 to 6.96) in UMICs; RSV inpatient costs were multiplied by 1.43 (1.01 to 2.01) and 1.36 (0.82 to 2.27), respectively.</p><p><strong>Conclusion: </strong>While informative for economic evaluations, WHO-CHOICE-based cost estimates should be used cautiously. Our analysis shows they aligned well with empirical studies for diarrhoeal disease but underestimated the costs of RSV-related disease. For diseases with few country-specific costing studies, comparing findings of the empirical studies with WHO-CHOICE estimates is crucial before conducting economic evaluations for countries without data. We propose a simple approach for calculating adjustment factors for WHO-CHOICE estimates when empirical data on disease-specific diagnosis and treatment costs are limited.</p>\",\"PeriodicalId\":9137,\"journal\":{\"name\":\"BMJ Global Health\",\"volume\":\"10 8\",\"pages\":\"\"},\"PeriodicalIF\":6.1000,\"publicationDate\":\"2025-08-24\",\"publicationTypes\":\"Journal Article\",\"fieldsOfStudy\":null,\"isOpenAccess\":false,\"openAccessPdf\":\"https://www.ncbi.nlm.nih.gov/pmc/articles/PMC12382583/pdf/\",\"citationCount\":\"0\",\"resultStr\":null,\"platform\":\"Semanticscholar\",\"paperid\":null,\"PeriodicalName\":\"BMJ Global Health\",\"FirstCategoryId\":\"3\",\"ListUrlMain\":\"https://doi.org/10.1136/bmjgh-2024-016784\",\"RegionNum\":2,\"RegionCategory\":\"医学\",\"ArticlePicture\":[],\"TitleCN\":null,\"AbstractTextCN\":null,\"PMCID\":null,\"EPubDate\":\"\",\"PubModel\":\"\",\"JCR\":\"Q1\",\"JCRName\":\"PUBLIC, ENVIRONMENTAL & OCCUPATIONAL HEALTH\",\"Score\":null,\"Total\":0}","platform":"Semanticscholar","paperid":null,"PeriodicalName":"BMJ Global Health","FirstCategoryId":"3","ListUrlMain":"https://doi.org/10.1136/bmjgh-2024-016784","RegionNum":2,"RegionCategory":"医学","ArticlePicture":[],"TitleCN":null,"AbstractTextCN":null,"PMCID":null,"EPubDate":"","PubModel":"","JCR":"Q1","JCRName":"PUBLIC, ENVIRONMENTAL & OCCUPATIONAL HEALTH","Score":null,"Total":0}
引用次数: 0

摘要

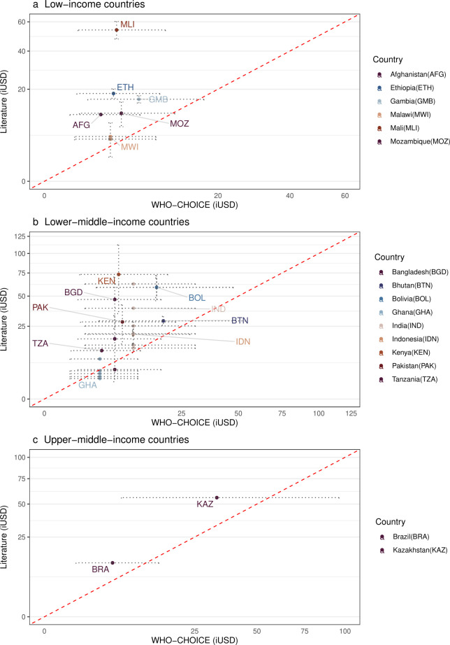
目的:在缺乏具体国家数据的情况下,通常在成本和成本效益研究中使用非特定疾病的WHO-CHOICE(选择具有成本效益的干预措施)单位成本。这项研究的目的是比较报告的国家特定疾病成本和相应的WHO-CHOICE估计,以一般定义的“腹泻”(包括轮状病毒腹泻)和病原体特异性的“呼吸道合胞病毒(RSV)”儿童疾病为例。方法:我们更新了低收入(lic)、中低收入(LMICs)和中高收入(UMICs)国家这两种疾病的系统综述。提取了儿童每次发作的腹泻(包括轮状病毒特异性腹泻的亚分析)和rsv特异性门诊和住院费用,并与世卫组织选择在同一国家的估计数进行了比较。所有费用更新为2022年国际美元价值。如果确定了一致的低估或高估模式,我们将差异的大小量化为公布的疾病特异性成本与相应的基于世卫组织选择的估计值的比率。结果:在确定的1979个记录中,包括23个成本研究。包括以前的综述,我们保留了31项腹泻研究和16项RSV研究进行比较。基于世卫组织选择的腹泻病(包括轮状病毒腹泻)的直接医疗费用相似,但rsv相关疾病的直接医疗费用较低。我们估计了128个国家每例腹泻和呼吸道合胞病毒发作的费用。通过将WHO-CHOICE成本乘以低收入国家和低收入国家的6.89(95%不确定区间:5.58至8.58)和低收入国家的5.87(4.95至6.96)来调整RSV门诊费用;RSV住院费用分别乘以1.43(1.01 ~ 2.01)和1.36(0.82 ~ 2.27)。结论:虽然为经济评价提供了信息,但应谨慎使用基于who - choice的成本估算。我们的分析表明,它们与腹泻疾病的实证研究非常一致,但低估了rsv相关疾病的成本。对于国家特定成本研究很少的疾病,在对没有数据的国家进行经济评估之前,将经验研究的结果与世卫组织选择的估计进行比较至关重要。当疾病特异性诊断和治疗费用的经验数据有限时,我们提出了一种简单的方法来计算WHO-CHOICE估计的调整因子。
本文章由计算机程序翻译,如有差异,请以英文原文为准。

How well do disease-specific studies and WHO-CHOICE cost estimates align? Example of estimating cost per episode of diarrhoea and respiratory syncytial virus in 128 low-income and middle-income countries.

How well do disease-specific studies and WHO-CHOICE cost estimates align? Example of estimating cost per episode of diarrhoea and respiratory syncytial virus in 128 low-income and middle-income countries.

How well do disease-specific studies and WHO-CHOICE cost estimates align? Example of estimating cost per episode of diarrhoea and respiratory syncytial virus in 128 low-income and middle-income countries.

How well do disease-specific studies and WHO-CHOICE cost estimates align? Example of estimating cost per episode of diarrhoea and respiratory syncytial virus in 128 low-income and middle-income countries.

Objective: Non-disease-specific WHO-CHOICE (CHOosing Interventions that are Cost-Effective) unit costs are often used in cost and cost-effectiveness studies in the absence of country-specific data. This study aims to compare reported country-specific disease costs and the corresponding WHO-CHOICE estimates, using generically defined 'diarrhoea' (including rotavirus diarrhoea) and pathogen-specific 'respiratory syncytial virus (RSV)' disease in children as examples.

Methods: We updated systematic reviews for both diseases in low-income (LICs), lower middle-income (LMICs) and upper middle-income (UMICs) countries. Diarrhoeal (including a subanalysis of rotavirus-specific diarrhoea) and RSV-specific outpatient and inpatient costs per episode in children were extracted and compared with WHO-CHOICE estimates in the same countries. All costs were updated to 2022 international dollar values. If a consistent pattern of underestimation or overestimation was identified, we quantified the magnitude of the discrepancy as the ratio of published disease-specific costs and corresponding WHO-CHOICE-based estimates.

Results: Out of 1979 records identified, 23 cost studies were included. Including previous reviews, we retained 31 diarrhoea and 16 RSV studies for comparison. WHO-CHOICE-based direct medical costs were similar for diarrhoeal disease (including rotavirus diarrhoea), but lower for RSV-related disease. We estimated the cost per episode of diarrhoea and RSV in 128 countries. RSV outpatient costs were adjusted by multiplying WHO-CHOICE costs by 6.89 (95% uncertainty interval: 5.58 to 8.58) in LICs and LMICs and 5.87 (4.95 to 6.96) in UMICs; RSV inpatient costs were multiplied by 1.43 (1.01 to 2.01) and 1.36 (0.82 to 2.27), respectively.

Conclusion: While informative for economic evaluations, WHO-CHOICE-based cost estimates should be used cautiously. Our analysis shows they aligned well with empirical studies for diarrhoeal disease but underestimated the costs of RSV-related disease. For diseases with few country-specific costing studies, comparing findings of the empirical studies with WHO-CHOICE estimates is crucial before conducting economic evaluations for countries without data. We propose a simple approach for calculating adjustment factors for WHO-CHOICE estimates when empirical data on disease-specific diagnosis and treatment costs are limited.

求助全文
通过发布文献求助,成功后即可免费获取论文全文。 去求助
来源期刊
BMJ Global Health
BMJ Global Health Medicine-Health Policy
CiteScore
11.40
自引率
4.90%
发文量
429
审稿时长
18 weeks
期刊介绍: BMJ Global Health is an online Open Access journal from BMJ that focuses on publishing high-quality peer-reviewed content pertinent to individuals engaged in global health, including policy makers, funders, researchers, clinicians, and frontline healthcare workers. The journal encompasses all facets of global health, with a special emphasis on submissions addressing underfunded areas such as non-communicable diseases (NCDs). It welcomes research across all study phases and designs, from study protocols to phase I trials to meta-analyses, including small or specialized studies. The journal also encourages opinionated discussions on controversial topics.
×
引用
GB/T 7714-2015
复制
MLA
复制
APA
复制
导出至
BibTeX EndNote RefMan NoteFirst NoteExpress
×
提示
您的信息不完整,为了账户安全,请先补充。
现在去补充
×
提示
您因"违规操作"
具体请查看互助需知
我知道了
×
提示
确定
请完成安全验证×
copy
已复制链接
快去分享给好友吧!
我知道了
右上角分享
点击右上角分享
0
联系我们:info@booksci.cn Book学术提供免费学术资源搜索服务,方便国内外学者检索中英文文献。致力于提供最便捷和优质的服务体验。 Copyright © 2023 布克学术 All rights reserved.
京ICP备2023020795号-1
ghs 京公网安备 11010802042870号
Book学术文献互助
Book学术文献互助群
群 号:604180095
Book学术官方微信