Mepolizumab与Benralizumab治疗嗜酸性哮喘的疗效比较。

IF 2.3 Q3 RESPIRATORY SYSTEM
Aleksandra Niemiec-Górska, Olga Branicka, Paula Olszewska, Sylwia Mielcarska, Joanna Glück, Barbara Rymarczyk, Radosław Gawlik
{"title":"Mepolizumab与Benralizumab治疗嗜酸性哮喘的疗效比较。","authors":"Aleksandra Niemiec-Górska, Olga Branicka, Paula Olszewska, Sylwia Mielcarska, Joanna Glück, Barbara Rymarczyk, Radosław Gawlik","doi":"10.3390/arm93040021","DOIUrl":null,"url":null,"abstract":"<p><strong>Background: </strong>Severe asthma is associated with significant morbidity and risk of complications. Some patients, suffering from eosinophilic asthma, may benefit from biological therapies, especially anti IL-5 (anti-interleukin-5). The purpose of the study was to compare the efficacy evaluation of mepolizumab and benralizumab in the treatment of eosinophilic asthma.</p><p><strong>Methods: </strong>A retrospective, single-centre study including 59 patients with severe eosinophilic asthma treated with biologics (mepolizumab and benralizumab). Clinical outcomes, including peripheral blood morphotic characteristics, spirometry parameters, asthma control questionnaire (ACQ), mini-Asthma Quality of Life Questionnaire (mini-AQLQ) scores, daily oral corticosteroid use, body mass index, exacerbation rate, and exercise tolerance, were examined at the beginning and after 6 months of biological treatment.</p><p><strong>Results: </strong>A total of 38 patients were treated with mepolizumab and 21 with benralizumab. Significant improvements (<i>p</i> < 0.05) in eosinophil count, required daily dose of glucocorticoids, ACQ, mini-AQLQ scores, and exacerbation rate were observed in both groups after six months of treatment. There was no statistical difference (<i>p</i> < 0.05) in the abovementioned parameters between the groups.</p><p><strong>Conclusions: </strong>In patients with severe eosinophilic asthma, mepolizumab and benralizumab were associated with significant improvements in clinical state. Patients with type 2 asthma will benefit from the therapy with both anti-IL5 biologic drugs.</p>","PeriodicalId":7391,"journal":{"name":"Advances in respiratory medicine","volume":"93 4","pages":""},"PeriodicalIF":2.3000,"publicationDate":"2025-06-20","publicationTypes":"Journal Article","fieldsOfStudy":null,"isOpenAccess":false,"openAccessPdf":"https://www.ncbi.nlm.nih.gov/pmc/articles/PMC12382853/pdf/","citationCount":"0","resultStr":"{\"title\":\"The Comparative Effectiveness of Mepolizumab and Benralizumab in the Treatment of Eosinophilic Asthma.\",\"authors\":\"Aleksandra Niemiec-Górska, Olga Branicka, Paula Olszewska, Sylwia Mielcarska, Joanna Glück, Barbara Rymarczyk, Radosław Gawlik\",\"doi\":\"10.3390/arm93040021\",\"DOIUrl\":null,\"url\":null,\"abstract\":\"<p><strong>Background: </strong>Severe asthma is associated with significant morbidity and risk of complications. Some patients, suffering from eosinophilic asthma, may benefit from biological therapies, especially anti IL-5 (anti-interleukin-5). The purpose of the study was to compare the efficacy evaluation of mepolizumab and benralizumab in the treatment of eosinophilic asthma.</p><p><strong>Methods: </strong>A retrospective, single-centre study including 59 patients with severe eosinophilic asthma treated with biologics (mepolizumab and benralizumab). Clinical outcomes, including peripheral blood morphotic characteristics, spirometry parameters, asthma control questionnaire (ACQ), mini-Asthma Quality of Life Questionnaire (mini-AQLQ) scores, daily oral corticosteroid use, body mass index, exacerbation rate, and exercise tolerance, were examined at the beginning and after 6 months of biological treatment.</p><p><strong>Results: </strong>A total of 38 patients were treated with mepolizumab and 21 with benralizumab. Significant improvements (<i>p</i> < 0.05) in eosinophil count, required daily dose of glucocorticoids, ACQ, mini-AQLQ scores, and exacerbation rate were observed in both groups after six months of treatment. There was no statistical difference (<i>p</i> < 0.05) in the abovementioned parameters between the groups.</p><p><strong>Conclusions: </strong>In patients with severe eosinophilic asthma, mepolizumab and benralizumab were associated with significant improvements in clinical state. Patients with type 2 asthma will benefit from the therapy with both anti-IL5 biologic drugs.</p>\",\"PeriodicalId\":7391,\"journal\":{\"name\":\"Advances in respiratory medicine\",\"volume\":\"93 4\",\"pages\":\"\"},\"PeriodicalIF\":2.3000,\"publicationDate\":\"2025-06-20\",\"publicationTypes\":\"Journal Article\",\"fieldsOfStudy\":null,\"isOpenAccess\":false,\"openAccessPdf\":\"https://www.ncbi.nlm.nih.gov/pmc/articles/PMC12382853/pdf/\",\"citationCount\":\"0\",\"resultStr\":null,\"platform\":\"Semanticscholar\",\"paperid\":null,\"PeriodicalName\":\"Advances in respiratory medicine\",\"FirstCategoryId\":\"1085\",\"ListUrlMain\":\"https://doi.org/10.3390/arm93040021\",\"RegionNum\":0,\"RegionCategory\":null,\"ArticlePicture\":[],\"TitleCN\":null,\"AbstractTextCN\":null,\"PMCID\":null,\"EPubDate\":\"\",\"PubModel\":\"\",\"JCR\":\"Q3\",\"JCRName\":\"RESPIRATORY SYSTEM\",\"Score\":null,\"Total\":0}","platform":"Semanticscholar","paperid":null,"PeriodicalName":"Advances in respiratory medicine","FirstCategoryId":"1085","ListUrlMain":"https://doi.org/10.3390/arm93040021","RegionNum":0,"RegionCategory":null,"ArticlePicture":[],"TitleCN":null,"AbstractTextCN":null,"PMCID":null,"EPubDate":"","PubModel":"","JCR":"Q3","JCRName":"RESPIRATORY SYSTEM","Score":null,"Total":0}
引用次数: 0

摘要

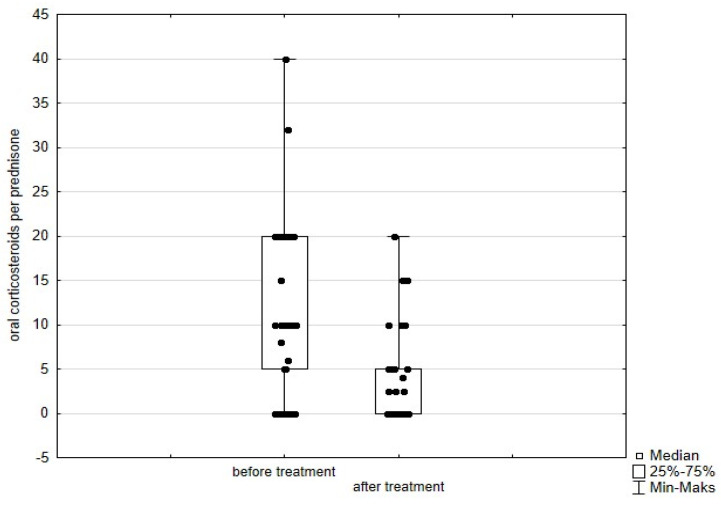
背景:严重哮喘与显著的发病率和并发症风险相关。一些患有嗜酸性粒细胞哮喘的患者可能受益于生物治疗,特别是抗IL-5(抗白细胞介素-5)。本研究的目的是比较mepolizumab和benralizumab治疗嗜酸性哮喘的疗效评价。方法:一项回顾性、单中心研究,包括59例使用生物制剂(mepolizumab和benralizumab)治疗的严重嗜酸性粒细胞哮喘患者。临床结果,包括外周血形态特征、肺活量测定参数、哮喘控制问卷(ACQ)、迷你哮喘生活质量问卷(mini-AQLQ)评分、每日口服皮质类固醇使用、体重指数、加重率和运动耐量,在生物治疗开始和6个月后进行检查。结果:共有38例患者接受美polizumab治疗,21例患者接受贝纳利珠单抗治疗。治疗6个月后,两组患者的嗜酸性粒细胞计数、糖皮质激素日剂量、ACQ、mini-AQLQ评分及加重率均有显著改善(p < 0.05)。各组间上述参数比较,差异均无统计学意义(p < 0.05)。结论:在重度嗜酸性粒细胞哮喘患者中,mepolizumab和benralizumab与临床状态的显著改善相关。2型哮喘患者将受益于抗il - 5生物药物的治疗。
本文章由计算机程序翻译,如有差异,请以英文原文为准。

The Comparative Effectiveness of Mepolizumab and Benralizumab in the Treatment of Eosinophilic Asthma.

The Comparative Effectiveness of Mepolizumab and Benralizumab in the Treatment of Eosinophilic Asthma.

The Comparative Effectiveness of Mepolizumab and Benralizumab in the Treatment of Eosinophilic Asthma.

The Comparative Effectiveness of Mepolizumab and Benralizumab in the Treatment of Eosinophilic Asthma.

Background: Severe asthma is associated with significant morbidity and risk of complications. Some patients, suffering from eosinophilic asthma, may benefit from biological therapies, especially anti IL-5 (anti-interleukin-5). The purpose of the study was to compare the efficacy evaluation of mepolizumab and benralizumab in the treatment of eosinophilic asthma.

Methods: A retrospective, single-centre study including 59 patients with severe eosinophilic asthma treated with biologics (mepolizumab and benralizumab). Clinical outcomes, including peripheral blood morphotic characteristics, spirometry parameters, asthma control questionnaire (ACQ), mini-Asthma Quality of Life Questionnaire (mini-AQLQ) scores, daily oral corticosteroid use, body mass index, exacerbation rate, and exercise tolerance, were examined at the beginning and after 6 months of biological treatment.

Results: A total of 38 patients were treated with mepolizumab and 21 with benralizumab. Significant improvements (p < 0.05) in eosinophil count, required daily dose of glucocorticoids, ACQ, mini-AQLQ scores, and exacerbation rate were observed in both groups after six months of treatment. There was no statistical difference (p < 0.05) in the abovementioned parameters between the groups.

Conclusions: In patients with severe eosinophilic asthma, mepolizumab and benralizumab were associated with significant improvements in clinical state. Patients with type 2 asthma will benefit from the therapy with both anti-IL5 biologic drugs.

求助全文
通过发布文献求助,成功后即可免费获取论文全文。 去求助
来源期刊
Advances in respiratory medicine
Advances in respiratory medicine RESPIRATORY SYSTEM-
CiteScore
2.60
自引率
0.00%
发文量
90
期刊介绍: "Advances in Respiratory Medicine" is a new international title for "Pneumonologia i Alergologia Polska", edited bimonthly and addressed to respiratory professionals. The Journal contains peer-reviewed original research papers, short communications, case-reports, recommendations of the Polish Respiratory Society concerning the diagnosis and treatment of lung diseases, editorials, postgraduate education articles, letters and book reviews in the field of pneumonology, allergology, oncology, immunology and infectious diseases. "Advances in Respiratory Medicine" is an open access, official journal of Polish Society of Lung Diseases, Polish Society of Allergology and National Research Institute of Tuberculosis and Lung Diseases.
×
引用
GB/T 7714-2015
复制
MLA
复制
APA
复制
导出至
BibTeX EndNote RefMan NoteFirst NoteExpress
×
提示
您的信息不完整,为了账户安全,请先补充。
现在去补充
×
提示
您因"违规操作"
具体请查看互助需知
我知道了
×
提示
确定
请完成安全验证×
copy
已复制链接
快去分享给好友吧!
我知道了
右上角分享
点击右上角分享
0
联系我们:info@booksci.cn Book学术提供免费学术资源搜索服务,方便国内外学者检索中英文文献。致力于提供最便捷和优质的服务体验。 Copyright © 2023 布克学术 All rights reserved.
京ICP备2023020795号-1
ghs 京公网安备 11010802042870号
Book学术文献互助
Book学术文献互助群
群 号:604180095
Book学术官方微信