伴路易体痴呆的血浆和MRI生物标志物之间的关系。

IF 7.6 1区 医学 Q1 CLINICAL NEUROLOGY
Carmen Peña-Bautista, Katharina Bolsewig, Maria C Gonzalez, Nicholas J Ashton, Dag Aarsland, Henrik Zetterberg, Eric Westman, Olivier Bousiges, Frederic Blanc, Charlotte E Teunissen, Afina W Lemstra, Consuelo Cháfer-Pericás, Miguel Baquero, Daniel Ferreira
{"title":"伴路易体痴呆的血浆和MRI生物标志物之间的关系。","authors":"Carmen Peña-Bautista, Katharina Bolsewig, Maria C Gonzalez, Nicholas J Ashton, Dag Aarsland, Henrik Zetterberg, Eric Westman, Olivier Bousiges, Frederic Blanc, Charlotte E Teunissen, Afina W Lemstra, Consuelo Cháfer-Pericás, Miguel Baquero, Daniel Ferreira","doi":"10.1186/s13195-025-01848-x","DOIUrl":null,"url":null,"abstract":"<p><strong>Background: </strong>The diagnosis of Dementia with Lewy Bodies (DLB) is primarily based on clinical features. The main driver of DLB is alpha-synuclein-related pathology, but cerebrovascular disease (CVD) and Alzheimer's Disease (AD) co-pathologies are often found in patients with DLB. Fluid biomarkers and magnetic resonance imaging (MRI) can provide mechanistic and diagnostic information beyond clinical features. Therefore, the aim of this study was to investigate the association of plasma biomarkers (GFAP, NfL, Aβ42/40, pTau231, pTau181) with MRI markers of neurodegeneration and CVD in DLB and in patients with AD as a control group. We also evaluated the ability of biomarkers and clinical features to discriminate between DLB and AD.</p><p><strong>Methods: </strong>We included 134 patients from the European DLB consortium (DLB (n = 92) and AD (n = 43)) with plasma biomarkers determined with Simoa and MRI assessed with radiological scales for medial temporal lobe atrophy (MTA), global cortical atrophy scale - frontal subscale (GCA-F), posterior atrophy (PA), and cerebrovascular disease (Fazekas scale). Associations between plasma and MRI biomarkers were assessed with the Mann-Whitney U test, and group differences and the discrimination between DLB and AD were assessed with ANCOVA, Random Forest, and ROC analyses.</p><p><strong>Results: </strong>In DLB, plasma concentrations of GFAP and NfL were associated with MTA, GCA-F, and Fazekas scale; and the Aβ42/40 ratio was associated with PA and Fazekas. Most of these associations were not statistically significant in AD. Individually, plasma and MRI biomarkers had a limited ability to discriminate DLB from AD. Plasma biomarkers helped increase the low specificity of core clinical features from 68% up to 79%, keeping the high sensitivity of 90%.</p><p><strong>Conclusions: </strong>Plasma biomarkers of AD co-pathology, glial processes and unspecific neurodegeneration are associated with MRI biomarkers of atrophy and cerebrovascular disease in DLB patients. Plasma biomarkers increase the ability of core clinical features to discriminate between DLB and AD.</p>","PeriodicalId":7516,"journal":{"name":"Alzheimer's Research & Therapy","volume":"17 1","pages":"197"},"PeriodicalIF":7.6000,"publicationDate":"2025-08-22","publicationTypes":"Journal Article","fieldsOfStudy":null,"isOpenAccess":false,"openAccessPdf":"https://www.ncbi.nlm.nih.gov/pmc/articles/PMC12374387/pdf/","citationCount":"0","resultStr":"{\"title\":\"The association between plasma and MRI biomarkers in dementia with lewy bodies.\",\"authors\":\"Carmen Peña-Bautista, Katharina Bolsewig, Maria C Gonzalez, Nicholas J Ashton, Dag Aarsland, Henrik Zetterberg, Eric Westman, Olivier Bousiges, Frederic Blanc, Charlotte E Teunissen, Afina W Lemstra, Consuelo Cháfer-Pericás, Miguel Baquero, Daniel Ferreira\",\"doi\":\"10.1186/s13195-025-01848-x\",\"DOIUrl\":null,\"url\":null,\"abstract\":\"<p><strong>Background: </strong>The diagnosis of Dementia with Lewy Bodies (DLB) is primarily based on clinical features. The main driver of DLB is alpha-synuclein-related pathology, but cerebrovascular disease (CVD) and Alzheimer's Disease (AD) co-pathologies are often found in patients with DLB. Fluid biomarkers and magnetic resonance imaging (MRI) can provide mechanistic and diagnostic information beyond clinical features. Therefore, the aim of this study was to investigate the association of plasma biomarkers (GFAP, NfL, Aβ42/40, pTau231, pTau181) with MRI markers of neurodegeneration and CVD in DLB and in patients with AD as a control group. We also evaluated the ability of biomarkers and clinical features to discriminate between DLB and AD.</p><p><strong>Methods: </strong>We included 134 patients from the European DLB consortium (DLB (n = 92) and AD (n = 43)) with plasma biomarkers determined with Simoa and MRI assessed with radiological scales for medial temporal lobe atrophy (MTA), global cortical atrophy scale - frontal subscale (GCA-F), posterior atrophy (PA), and cerebrovascular disease (Fazekas scale). Associations between plasma and MRI biomarkers were assessed with the Mann-Whitney U test, and group differences and the discrimination between DLB and AD were assessed with ANCOVA, Random Forest, and ROC analyses.</p><p><strong>Results: </strong>In DLB, plasma concentrations of GFAP and NfL were associated with MTA, GCA-F, and Fazekas scale; and the Aβ42/40 ratio was associated with PA and Fazekas. Most of these associations were not statistically significant in AD. Individually, plasma and MRI biomarkers had a limited ability to discriminate DLB from AD. Plasma biomarkers helped increase the low specificity of core clinical features from 68% up to 79%, keeping the high sensitivity of 90%.</p><p><strong>Conclusions: </strong>Plasma biomarkers of AD co-pathology, glial processes and unspecific neurodegeneration are associated with MRI biomarkers of atrophy and cerebrovascular disease in DLB patients. Plasma biomarkers increase the ability of core clinical features to discriminate between DLB and AD.</p>\",\"PeriodicalId\":7516,\"journal\":{\"name\":\"Alzheimer's Research & Therapy\",\"volume\":\"17 1\",\"pages\":\"197\"},\"PeriodicalIF\":7.6000,\"publicationDate\":\"2025-08-22\",\"publicationTypes\":\"Journal Article\",\"fieldsOfStudy\":null,\"isOpenAccess\":false,\"openAccessPdf\":\"https://www.ncbi.nlm.nih.gov/pmc/articles/PMC12374387/pdf/\",\"citationCount\":\"0\",\"resultStr\":null,\"platform\":\"Semanticscholar\",\"paperid\":null,\"PeriodicalName\":\"Alzheimer's Research & Therapy\",\"FirstCategoryId\":\"3\",\"ListUrlMain\":\"https://doi.org/10.1186/s13195-025-01848-x\",\"RegionNum\":1,\"RegionCategory\":\"医学\",\"ArticlePicture\":[],\"TitleCN\":null,\"AbstractTextCN\":null,\"PMCID\":null,\"EPubDate\":\"\",\"PubModel\":\"\",\"JCR\":\"Q1\",\"JCRName\":\"CLINICAL NEUROLOGY\",\"Score\":null,\"Total\":0}","platform":"Semanticscholar","paperid":null,"PeriodicalName":"Alzheimer's Research & Therapy","FirstCategoryId":"3","ListUrlMain":"https://doi.org/10.1186/s13195-025-01848-x","RegionNum":1,"RegionCategory":"医学","ArticlePicture":[],"TitleCN":null,"AbstractTextCN":null,"PMCID":null,"EPubDate":"","PubModel":"","JCR":"Q1","JCRName":"CLINICAL NEUROLOGY","Score":null,"Total":0}
引用次数: 0

摘要

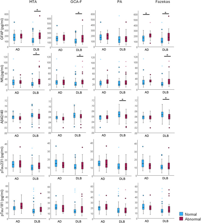
背景:路易体痴呆(DLB)的诊断主要基于临床特征。DLB的主要驱动因素是α -突触核蛋白相关病理,但在DLB患者中经常发现脑血管疾病(CVD)和阿尔茨海默病(AD)共病理。流体生物标志物和磁共振成像(MRI)可以提供临床特征之外的机制和诊断信息。因此,本研究的目的是研究血浆生物标志物(GFAP、NfL、a β42/40、pTau231、pTau181)与DLB患者和AD患者神经变性和CVD的MRI标志物的关系。我们还评估了生物标志物和临床特征区分DLB和AD的能力。方法:我们纳入了来自欧洲DLB联盟的134例患者(DLB (n = 92)和AD (n = 43)),用Simoa测定血浆生物标志物,并用MRI评估内侧颞叶萎缩(MTA)、整体皮质萎缩量表-额叶亚量表(GCA-F)、后部萎缩(PA)和脑血管疾病(Fazekas量表)的放射学量表。采用Mann-Whitney U检验评估血浆和MRI生物标志物之间的相关性,采用ANCOVA、Random Forest和ROC分析评估DLB和AD的组间差异和区别。结果:DLB患者血浆GFAP、NfL浓度与MTA、GCA-F、Fazekas量表相关;Aβ42/40比值与PA和Fazekas相关。大多数这些关联在AD中没有统计学意义。单独而言,血浆和MRI生物标志物区分DLB和AD的能力有限。血浆生物标志物有助于将核心临床特征的低特异性从68%提高到79%,保持90%的高灵敏度。结论:AD共病理、胶质过程和非特异性神经退行性变的血浆生物标志物与DLB患者萎缩和脑血管疾病的MRI生物标志物相关。血浆生物标志物增加了区分DLB和AD的核心临床特征的能力。
本文章由计算机程序翻译,如有差异,请以英文原文为准。

The association between plasma and MRI biomarkers in dementia with lewy bodies.

The association between plasma and MRI biomarkers in dementia with lewy bodies.

The association between plasma and MRI biomarkers in dementia with lewy bodies.

Background: The diagnosis of Dementia with Lewy Bodies (DLB) is primarily based on clinical features. The main driver of DLB is alpha-synuclein-related pathology, but cerebrovascular disease (CVD) and Alzheimer's Disease (AD) co-pathologies are often found in patients with DLB. Fluid biomarkers and magnetic resonance imaging (MRI) can provide mechanistic and diagnostic information beyond clinical features. Therefore, the aim of this study was to investigate the association of plasma biomarkers (GFAP, NfL, Aβ42/40, pTau231, pTau181) with MRI markers of neurodegeneration and CVD in DLB and in patients with AD as a control group. We also evaluated the ability of biomarkers and clinical features to discriminate between DLB and AD.

Methods: We included 134 patients from the European DLB consortium (DLB (n = 92) and AD (n = 43)) with plasma biomarkers determined with Simoa and MRI assessed with radiological scales for medial temporal lobe atrophy (MTA), global cortical atrophy scale - frontal subscale (GCA-F), posterior atrophy (PA), and cerebrovascular disease (Fazekas scale). Associations between plasma and MRI biomarkers were assessed with the Mann-Whitney U test, and group differences and the discrimination between DLB and AD were assessed with ANCOVA, Random Forest, and ROC analyses.

Results: In DLB, plasma concentrations of GFAP and NfL were associated with MTA, GCA-F, and Fazekas scale; and the Aβ42/40 ratio was associated with PA and Fazekas. Most of these associations were not statistically significant in AD. Individually, plasma and MRI biomarkers had a limited ability to discriminate DLB from AD. Plasma biomarkers helped increase the low specificity of core clinical features from 68% up to 79%, keeping the high sensitivity of 90%.

Conclusions: Plasma biomarkers of AD co-pathology, glial processes and unspecific neurodegeneration are associated with MRI biomarkers of atrophy and cerebrovascular disease in DLB patients. Plasma biomarkers increase the ability of core clinical features to discriminate between DLB and AD.

求助全文
通过发布文献求助,成功后即可免费获取论文全文。 去求助
来源期刊
Alzheimer's Research & Therapy
Alzheimer's Research & Therapy 医学-神经病学
CiteScore
13.10
自引率
3.30%
发文量
172
审稿时长
>12 weeks
期刊介绍: Alzheimer's Research & Therapy is an international peer-reviewed journal that focuses on translational research into Alzheimer's disease and other neurodegenerative diseases. It publishes open-access basic research, clinical trials, drug discovery and development studies, and epidemiologic studies. The journal also includes reviews, viewpoints, commentaries, debates, and reports. All articles published in Alzheimer's Research & Therapy are included in several reputable databases such as CAS, Current contents, DOAJ, Embase, Journal Citation Reports/Science Edition, MEDLINE, PubMed, PubMed Central, Science Citation Index Expanded (Web of Science) and Scopus.
×
引用
GB/T 7714-2015
复制
MLA
复制
APA
复制
导出至
BibTeX EndNote RefMan NoteFirst NoteExpress
×
提示
您的信息不完整,为了账户安全,请先补充。
现在去补充
×
提示
您因"违规操作"
具体请查看互助需知
我知道了
×
提示
确定
请完成安全验证×
copy
已复制链接
快去分享给好友吧!
我知道了
右上角分享
点击右上角分享
0
联系我们:info@booksci.cn Book学术提供免费学术资源搜索服务,方便国内外学者检索中英文文献。致力于提供最便捷和优质的服务体验。 Copyright © 2023 布克学术 All rights reserved.
京ICP备2023020795号-1
ghs 京公网安备 11010802042870号
Book学术文献互助
Book学术文献互助群
群 号:604180095
Book学术官方微信