离散元分析髋臼周围截骨术的多变量定量结果。

IF 1.6 Q3 ORTHOPEDICS
Advances in Orthopedics Pub Date : 2025-08-22 eCollection Date: 2025-01-01 DOI:10.1155/aort/1479343
Victor Grenier, Catherine Ruel, Jean Ruel, Quentin Sercia, Myriam Rioux, Philippe Corbeil, Etienne L Belzile
{"title":"离散元分析髋臼周围截骨术的多变量定量结果。","authors":"Victor Grenier, Catherine Ruel, Jean Ruel, Quentin Sercia, Myriam Rioux, Philippe Corbeil, Etienne L Belzile","doi":"10.1155/aort/1479343","DOIUrl":null,"url":null,"abstract":"<p><p><b>Introduction:</b> Multiple biomechanical models have been suggested to quantify lower limb joint contact stress distributions, with varying results. Among others, the choice of cartilage morphology and gait loading patterns can significantly affect simulation results. Moreover, there is currently no consensus on simulating the input and output data needed to obtain reliable results and enable a comprehensive analysis. <b>Objectives:</b> The aim of this study was to compare the reliability and clinical relevance of joint contact metrics by calculating pre- and postoperative hip joint contact stress distributions of a dysplastic cohort under various simulation scenarios. <b>Methods:</b> A cohort of 22 dysplastic patients has been treated using periacetabular osteotomy (6-month follow-up). Five radiographic measurements of the acetabular cup were taken from imagery pre- and postoperatively. Eight osteoarthritis-predictive joint stress metrics were computed using discrete element analysis in 6 unique simulation scenarios (2 cartilage models; 3 hip gait loading profiles) pre- and postoperatively. <b>Results:</b> A multivariate analysis of variance confirmed the significant effects of treatment, cartilage model, and loading profile on the computed stress metrics (<i>p</i> < 0.01). Also, average- and threshold-based metrics, such as average contact area, average stress, and Maxian overdose, were shown as more reliable indicators of successful surgical treatment than the maximum-based metrics. Finally, correlations between radiographic measurements and stress metrics revealed greater influence of the acetabular index and anterior center-edge angle than the lateral center-edge angle. <b>Conclusions:</b> Average and threshold-based metrics, as well as the acetabular index and anterior center-edge angle, should be of greater interest in future studies regarding hip dysplasia. <b>Clinical Significance:</b> Level 2 (Prospective Study: Therapeutic).</p>","PeriodicalId":7358,"journal":{"name":"Advances in Orthopedics","volume":"2025 ","pages":"1479343"},"PeriodicalIF":1.6000,"publicationDate":"2025-08-22","publicationTypes":"Journal Article","fieldsOfStudy":null,"isOpenAccess":false,"openAccessPdf":"https://www.ncbi.nlm.nih.gov/pmc/articles/PMC12396905/pdf/","citationCount":"0","resultStr":"{\"title\":\"Multivariate Quantitative Outcomes of Periacetabular Osteotomy Using Discrete Element Analysis.\",\"authors\":\"Victor Grenier, Catherine Ruel, Jean Ruel, Quentin Sercia, Myriam Rioux, Philippe Corbeil, Etienne L Belzile\",\"doi\":\"10.1155/aort/1479343\",\"DOIUrl\":null,\"url\":null,\"abstract\":\"<p><p><b>Introduction:</b> Multiple biomechanical models have been suggested to quantify lower limb joint contact stress distributions, with varying results. Among others, the choice of cartilage morphology and gait loading patterns can significantly affect simulation results. Moreover, there is currently no consensus on simulating the input and output data needed to obtain reliable results and enable a comprehensive analysis. <b>Objectives:</b> The aim of this study was to compare the reliability and clinical relevance of joint contact metrics by calculating pre- and postoperative hip joint contact stress distributions of a dysplastic cohort under various simulation scenarios. <b>Methods:</b> A cohort of 22 dysplastic patients has been treated using periacetabular osteotomy (6-month follow-up). Five radiographic measurements of the acetabular cup were taken from imagery pre- and postoperatively. Eight osteoarthritis-predictive joint stress metrics were computed using discrete element analysis in 6 unique simulation scenarios (2 cartilage models; 3 hip gait loading profiles) pre- and postoperatively. <b>Results:</b> A multivariate analysis of variance confirmed the significant effects of treatment, cartilage model, and loading profile on the computed stress metrics (<i>p</i> < 0.01). Also, average- and threshold-based metrics, such as average contact area, average stress, and Maxian overdose, were shown as more reliable indicators of successful surgical treatment than the maximum-based metrics. Finally, correlations between radiographic measurements and stress metrics revealed greater influence of the acetabular index and anterior center-edge angle than the lateral center-edge angle. <b>Conclusions:</b> Average and threshold-based metrics, as well as the acetabular index and anterior center-edge angle, should be of greater interest in future studies regarding hip dysplasia. <b>Clinical Significance:</b> Level 2 (Prospective Study: Therapeutic).</p>\",\"PeriodicalId\":7358,\"journal\":{\"name\":\"Advances in Orthopedics\",\"volume\":\"2025 \",\"pages\":\"1479343\"},\"PeriodicalIF\":1.6000,\"publicationDate\":\"2025-08-22\",\"publicationTypes\":\"Journal Article\",\"fieldsOfStudy\":null,\"isOpenAccess\":false,\"openAccessPdf\":\"https://www.ncbi.nlm.nih.gov/pmc/articles/PMC12396905/pdf/\",\"citationCount\":\"0\",\"resultStr\":null,\"platform\":\"Semanticscholar\",\"paperid\":null,\"PeriodicalName\":\"Advances in Orthopedics\",\"FirstCategoryId\":\"1085\",\"ListUrlMain\":\"https://doi.org/10.1155/aort/1479343\",\"RegionNum\":0,\"RegionCategory\":null,\"ArticlePicture\":[],\"TitleCN\":null,\"AbstractTextCN\":null,\"PMCID\":null,\"EPubDate\":\"2025/1/1 0:00:00\",\"PubModel\":\"eCollection\",\"JCR\":\"Q3\",\"JCRName\":\"ORTHOPEDICS\",\"Score\":null,\"Total\":0}","platform":"Semanticscholar","paperid":null,"PeriodicalName":"Advances in Orthopedics","FirstCategoryId":"1085","ListUrlMain":"https://doi.org/10.1155/aort/1479343","RegionNum":0,"RegionCategory":null,"ArticlePicture":[],"TitleCN":null,"AbstractTextCN":null,"PMCID":null,"EPubDate":"2025/1/1 0:00:00","PubModel":"eCollection","JCR":"Q3","JCRName":"ORTHOPEDICS","Score":null,"Total":0}
引用次数: 0

摘要

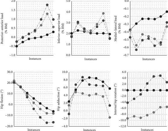
已有多种生物力学模型被用于量化下肢关节接触应力分布,但结果各不相同。其中,软骨形态和步态加载模式的选择会显著影响仿真结果。此外,对于模拟获得可靠结果和进行全面分析所需的输入和输出数据,目前还没有达成共识。目的:本研究的目的是通过计算一个发育不良队列在各种模拟情景下的术前和术后髋关节接触应力分布,来比较关节接触指标的可靠性和临床相关性。方法:22例发育不良患者采用髋臼周围截骨术治疗(随访6个月)。术前和术后影像学对髋臼杯进行了5次x线测量。在术前和术后6种独特的模拟情景(2种软骨模型;3种髋关节步态负荷谱)中,使用离散元分析计算8种骨关节炎预测关节应力指标。结果:多变量方差分析证实,治疗、软骨模型和载荷轮廓对计算的应力指标有显著影响(p < 0.01)。此外,基于平均值和阈值的指标,如平均接触面积、平均应力和Maxian过量,被证明是比基于最大值的指标更可靠的手术治疗成功的指标。最后,x线测量和应力指标之间的相关性显示,髋臼指数和前中心边缘角的影响大于外侧中心边缘角的影响。结论:基于平均值和阈值的指标,以及髋臼指数和前中心边缘角,应该在未来关于髋关节发育不良的研究中得到更大的关注。临床意义:2级(前瞻性研究:治疗性)。
本文章由计算机程序翻译,如有差异,请以英文原文为准。

Multivariate Quantitative Outcomes of Periacetabular Osteotomy Using Discrete Element Analysis.

Multivariate Quantitative Outcomes of Periacetabular Osteotomy Using Discrete Element Analysis.

Multivariate Quantitative Outcomes of Periacetabular Osteotomy Using Discrete Element Analysis.

Multivariate Quantitative Outcomes of Periacetabular Osteotomy Using Discrete Element Analysis.

Introduction: Multiple biomechanical models have been suggested to quantify lower limb joint contact stress distributions, with varying results. Among others, the choice of cartilage morphology and gait loading patterns can significantly affect simulation results. Moreover, there is currently no consensus on simulating the input and output data needed to obtain reliable results and enable a comprehensive analysis. Objectives: The aim of this study was to compare the reliability and clinical relevance of joint contact metrics by calculating pre- and postoperative hip joint contact stress distributions of a dysplastic cohort under various simulation scenarios. Methods: A cohort of 22 dysplastic patients has been treated using periacetabular osteotomy (6-month follow-up). Five radiographic measurements of the acetabular cup were taken from imagery pre- and postoperatively. Eight osteoarthritis-predictive joint stress metrics were computed using discrete element analysis in 6 unique simulation scenarios (2 cartilage models; 3 hip gait loading profiles) pre- and postoperatively. Results: A multivariate analysis of variance confirmed the significant effects of treatment, cartilage model, and loading profile on the computed stress metrics (p < 0.01). Also, average- and threshold-based metrics, such as average contact area, average stress, and Maxian overdose, were shown as more reliable indicators of successful surgical treatment than the maximum-based metrics. Finally, correlations between radiographic measurements and stress metrics revealed greater influence of the acetabular index and anterior center-edge angle than the lateral center-edge angle. Conclusions: Average and threshold-based metrics, as well as the acetabular index and anterior center-edge angle, should be of greater interest in future studies regarding hip dysplasia. Clinical Significance: Level 2 (Prospective Study: Therapeutic).

求助全文
通过发布文献求助,成功后即可免费获取论文全文。 去求助
来源期刊
CiteScore
2.40
自引率
0.00%
发文量
36
审稿时长
21 weeks
期刊介绍: Advances in Orthopedics is a peer-reviewed, Open Access journal that provides a forum for orthopaedics working on improving the quality of orthopedic health care. The journal publishes original research articles, review articles, and clinical studies related to arthroplasty, hand surgery, limb reconstruction, pediatric orthopaedics, sports medicine, trauma, spinal deformities, and orthopaedic oncology.
×
引用
GB/T 7714-2015
复制
MLA
复制
APA
复制
导出至
BibTeX EndNote RefMan NoteFirst NoteExpress
×
提示
您的信息不完整,为了账户安全,请先补充。
现在去补充
×
提示
您因"违规操作"
具体请查看互助需知
我知道了
×
提示
确定
请完成安全验证×
copy
已复制链接
快去分享给好友吧!
我知道了
右上角分享
点击右上角分享
0
联系我们:info@booksci.cn Book学术提供免费学术资源搜索服务,方便国内外学者检索中英文文献。致力于提供最便捷和优质的服务体验。 Copyright © 2023 布克学术 All rights reserved.
京ICP备2023020795号-1
ghs 京公网安备 11010802042870号
Book学术文献互助
Book学术文献互助群
群 号:604180095
Book学术官方微信