关于Unruh辐射可能的各向异性。第三部分:筛选检测器

IF 1 4区 物理与天体物理 Q3 ASTRONOMY & ASTROPHYSICS
E. E. Kholupenko
{"title":"关于Unruh辐射可能的各向异性。第三部分:筛选检测器","authors":"E. E. Kholupenko","doi":"10.1134/S0202289325700239","DOIUrl":null,"url":null,"abstract":"<p>The process of detection of Unruh radiation by a screened pointlike monopole detector with a narrow directivity pattern is considered for massive and massless scalar fields in (3+1)D space-time. The corresponding stationary energy-angular dependencies of the screened detector responses to the Unruh radiation are calculated numerically for massive and massless particles and are estimated analytically for massless particles. It is shown that in all cases the response is significantly anisotropic, and its energy profile strongly depends on the shape of the screening function. The corresponding brightness temperature of the observed Unruh radiation may exceed the Unruh temperature by orders of magnitude for a directivity pattern narrow enough. These points confirm that the Unruh radiation cannot be considered as thermal (equilibrium) radiation. The generation of the Unruh radiation is a pair production process that is symmetric and implies the existence of counterpart radiation going to infinity. The spectrum of this outgoing counterpart radiation also depends on the accelerated detector properties and, in principle, can be observed by detectors at rest in an initial Minkowski frame. This may allow one to detect and identify the counterpart radiation in particle accelerators in the future. The interaction of the Unruh radiation with an accelerated screened detector should lead to the emergence of a reaction force acting on this detector.</p>","PeriodicalId":583,"journal":{"name":"Gravitation and Cosmology","volume":"31 3","pages":"353 - 365"},"PeriodicalIF":1.0000,"publicationDate":"2025-09-04","publicationTypes":"Journal Article","fieldsOfStudy":null,"isOpenAccess":false,"openAccessPdf":"","citationCount":"0","resultStr":"{\"title\":\"On the Possible Anisotropy of the Unruh Radiation. Part III: A Screened Detector\",\"authors\":\"E. E. Kholupenko\",\"doi\":\"10.1134/S0202289325700239\",\"DOIUrl\":null,\"url\":null,\"abstract\":\"<p>The process of detection of Unruh radiation by a screened pointlike monopole detector with a narrow directivity pattern is considered for massive and massless scalar fields in (3+1)D space-time. The corresponding stationary energy-angular dependencies of the screened detector responses to the Unruh radiation are calculated numerically for massive and massless particles and are estimated analytically for massless particles. It is shown that in all cases the response is significantly anisotropic, and its energy profile strongly depends on the shape of the screening function. The corresponding brightness temperature of the observed Unruh radiation may exceed the Unruh temperature by orders of magnitude for a directivity pattern narrow enough. These points confirm that the Unruh radiation cannot be considered as thermal (equilibrium) radiation. The generation of the Unruh radiation is a pair production process that is symmetric and implies the existence of counterpart radiation going to infinity. The spectrum of this outgoing counterpart radiation also depends on the accelerated detector properties and, in principle, can be observed by detectors at rest in an initial Minkowski frame. This may allow one to detect and identify the counterpart radiation in particle accelerators in the future. The interaction of the Unruh radiation with an accelerated screened detector should lead to the emergence of a reaction force acting on this detector.</p>\",\"PeriodicalId\":583,\"journal\":{\"name\":\"Gravitation and Cosmology\",\"volume\":\"31 3\",\"pages\":\"353 - 365\"},\"PeriodicalIF\":1.0000,\"publicationDate\":\"2025-09-04\",\"publicationTypes\":\"Journal Article\",\"fieldsOfStudy\":null,\"isOpenAccess\":false,\"openAccessPdf\":\"\",\"citationCount\":\"0\",\"resultStr\":null,\"platform\":\"Semanticscholar\",\"paperid\":null,\"PeriodicalName\":\"Gravitation and Cosmology\",\"FirstCategoryId\":\"4\",\"ListUrlMain\":\"https://link.springer.com/article/10.1134/S0202289325700239\",\"RegionNum\":4,\"RegionCategory\":\"物理与天体物理\",\"ArticlePicture\":[],\"TitleCN\":null,\"AbstractTextCN\":null,\"PMCID\":null,\"EPubDate\":\"\",\"PubModel\":\"\",\"JCR\":\"Q3\",\"JCRName\":\"ASTRONOMY & ASTROPHYSICS\",\"Score\":null,\"Total\":0}","platform":"Semanticscholar","paperid":null,"PeriodicalName":"Gravitation and Cosmology","FirstCategoryId":"4","ListUrlMain":"https://link.springer.com/article/10.1134/S0202289325700239","RegionNum":4,"RegionCategory":"物理与天体物理","ArticlePicture":[],"TitleCN":null,"AbstractTextCN":null,"PMCID":null,"EPubDate":"","PubModel":"","JCR":"Q3","JCRName":"ASTRONOMY & ASTROPHYSICS","Score":null,"Total":0}
引用次数: 0

摘要

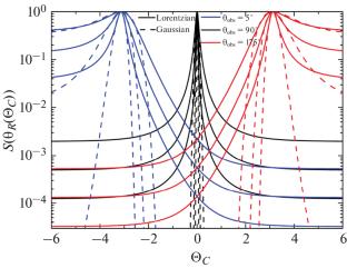
研究了(3+1)D时空中有质量和无质量标量场的窄指向性屏蔽类点单极子探测器对Unruh辐射的探测过程。对于有质量和无质量粒子,筛选探测器响应对Unruh辐射的相应平稳能量角依赖关系进行了数值计算,并对无质量粒子进行了解析估计。结果表明,在所有情况下,响应都具有明显的各向异性,其能量分布强烈依赖于筛选函数的形状。观测到的Unruh辐射的相应亮度温度可能会超过Unruh温度的数量级,以获得足够窄的指向性模式。这些点证实了安鲁辐射不能被认为是热平衡辐射。昂鲁辐射的产生是一个对的生产过程,是对称的,并意味着存在对应的辐射走向无限。这种向外的对应辐射的光谱也取决于加速探测器的特性,原则上,可以在初始闵可夫斯基坐标系中由静止的探测器观察到。这可能允许人们在未来检测和识别粒子加速器中的对应辐射。安鲁辐射与一个加速筛选探测器的相互作用应该导致一个反作用力作用在这个探测器上的出现。
本文章由计算机程序翻译,如有差异,请以英文原文为准。

On the Possible Anisotropy of the Unruh Radiation. Part III: A Screened Detector

On the Possible Anisotropy of the Unruh Radiation. Part III: A Screened Detector

On the Possible Anisotropy of the Unruh Radiation. Part III: A Screened Detector

The process of detection of Unruh radiation by a screened pointlike monopole detector with a narrow directivity pattern is considered for massive and massless scalar fields in (3+1)D space-time. The corresponding stationary energy-angular dependencies of the screened detector responses to the Unruh radiation are calculated numerically for massive and massless particles and are estimated analytically for massless particles. It is shown that in all cases the response is significantly anisotropic, and its energy profile strongly depends on the shape of the screening function. The corresponding brightness temperature of the observed Unruh radiation may exceed the Unruh temperature by orders of magnitude for a directivity pattern narrow enough. These points confirm that the Unruh radiation cannot be considered as thermal (equilibrium) radiation. The generation of the Unruh radiation is a pair production process that is symmetric and implies the existence of counterpart radiation going to infinity. The spectrum of this outgoing counterpart radiation also depends on the accelerated detector properties and, in principle, can be observed by detectors at rest in an initial Minkowski frame. This may allow one to detect and identify the counterpart radiation in particle accelerators in the future. The interaction of the Unruh radiation with an accelerated screened detector should lead to the emergence of a reaction force acting on this detector.

求助全文
通过发布文献求助,成功后即可免费获取论文全文。 去求助
来源期刊
Gravitation and Cosmology
Gravitation and Cosmology ASTRONOMY & ASTROPHYSICS-
CiteScore
1.70
自引率
22.20%
发文量
31
审稿时长
>12 weeks
期刊介绍: Gravitation and Cosmology is a peer-reviewed periodical, dealing with the full range of topics of gravitational physics and relativistic cosmology and published under the auspices of the Russian Gravitation Society and Peoples’ Friendship University of Russia. The journal publishes research papers, review articles and brief communications on the following fields: theoretical (classical and quantum) gravitation; relativistic astrophysics and cosmology, exact solutions and modern mathematical methods in gravitation and cosmology, including Lie groups, geometry and topology; unification theories including gravitation; fundamental physical constants and their possible variations; fundamental gravity experiments on Earth and in space; related topics. It also publishes selected old papers which have not lost their topicality but were previously published only in Russian and were not available to the worldwide research community
×
引用
GB/T 7714-2015
复制
MLA
复制
APA
复制
导出至
BibTeX EndNote RefMan NoteFirst NoteExpress
×
提示
您的信息不完整,为了账户安全,请先补充。
现在去补充
×
提示
您因"违规操作"
具体请查看互助需知
我知道了
×
提示
确定
请完成安全验证×
copy
已复制链接
快去分享给好友吧!
我知道了
右上角分享
点击右上角分享
0
联系我们:info@booksci.cn Book学术提供免费学术资源搜索服务,方便国内外学者检索中英文文献。致力于提供最便捷和优质的服务体验。 Copyright © 2023 布克学术 All rights reserved.
京ICP备2023020795号-1
ghs 京公网安备 11010802042870号
Book学术文献互助
Book学术文献互助群
群 号:604180095
Book学术官方微信