四种沙门氏菌特异性噬菌体的基因组特征及其在牛奶中的鸡尾酒效果评价

IF 3.1 3区 农林科学 Q3 FOOD SCIENCE & TECHNOLOGY
Soo-Jin Jung, June Gu Kang, Harim Lee, Hyewon Song, Jin Hee Kim, Sang-Do Ha
{"title":"四种沙门氏菌特异性噬菌体的基因组特征及其在牛奶中的鸡尾酒效果评价","authors":"Soo-Jin Jung,&nbsp;June Gu Kang,&nbsp;Harim Lee,&nbsp;Hyewon Song,&nbsp;Jin Hee Kim,&nbsp;Sang-Do Ha","doi":"10.1007/s10068-025-01921-z","DOIUrl":null,"url":null,"abstract":"<div><p>Bacteriophages offer a promising solution for controlling multidrug-resistant <i>Salmonella</i> in food matrices. This study analyzed the genomic, proteomic, and functional characteristics of four bacteriophages (STP-1, STP-2, STP-3, and STP-4) targeting <i>Salmonella</i> Typhimurium. Genomic analysis revealed lysis-related genes, including holin, endolysin, and RZ-like spanins, with no genes linked to human toxicity or antibiotic resistance. Unique genomic features, such as viral integrase family 4 and/or tRNA genes, suggest functional and evolutionary diversity. Proteomic and phylogenetic analyses classified the phages within the <i>Guernseyvirinae</i>, <i>Casjensviridae</i>, and <i>Ackermannviridae</i> families. Cytotoxicity tests showed no significant differences at high phage concentrations than control cells (&gt; 10 log PFU/mL, <i>P</i> &gt; 0.05). A phage cocktail targeting <i>S.</i> Typhimurium strains applied to milk (MOI 1,000) reduced bacterial counts by 2.11 log CFU/mL after 7 days, greater than same phage cocktails on chicken breast in a previous study. These findings demonstrate the superior efficacy of multi-strain phage cocktails as versatile biocontrol agents, particularly in milk.</p></div>","PeriodicalId":566,"journal":{"name":"Food Science and Biotechnology","volume":"34 14","pages":"3427 - 3439"},"PeriodicalIF":3.1000,"publicationDate":"2025-07-06","publicationTypes":"Journal Article","fieldsOfStudy":null,"isOpenAccess":false,"openAccessPdf":"","citationCount":"0","resultStr":"{\"title\":\"Genomic characterization of four Salmonella-specific bacteriophages and evaluation of their cocktail efficacy in milk\",\"authors\":\"Soo-Jin Jung,&nbsp;June Gu Kang,&nbsp;Harim Lee,&nbsp;Hyewon Song,&nbsp;Jin Hee Kim,&nbsp;Sang-Do Ha\",\"doi\":\"10.1007/s10068-025-01921-z\",\"DOIUrl\":null,\"url\":null,\"abstract\":\"<div><p>Bacteriophages offer a promising solution for controlling multidrug-resistant <i>Salmonella</i> in food matrices. This study analyzed the genomic, proteomic, and functional characteristics of four bacteriophages (STP-1, STP-2, STP-3, and STP-4) targeting <i>Salmonella</i> Typhimurium. Genomic analysis revealed lysis-related genes, including holin, endolysin, and RZ-like spanins, with no genes linked to human toxicity or antibiotic resistance. Unique genomic features, such as viral integrase family 4 and/or tRNA genes, suggest functional and evolutionary diversity. Proteomic and phylogenetic analyses classified the phages within the <i>Guernseyvirinae</i>, <i>Casjensviridae</i>, and <i>Ackermannviridae</i> families. Cytotoxicity tests showed no significant differences at high phage concentrations than control cells (&gt; 10 log PFU/mL, <i>P</i> &gt; 0.05). A phage cocktail targeting <i>S.</i> Typhimurium strains applied to milk (MOI 1,000) reduced bacterial counts by 2.11 log CFU/mL after 7 days, greater than same phage cocktails on chicken breast in a previous study. These findings demonstrate the superior efficacy of multi-strain phage cocktails as versatile biocontrol agents, particularly in milk.</p></div>\",\"PeriodicalId\":566,\"journal\":{\"name\":\"Food Science and Biotechnology\",\"volume\":\"34 14\",\"pages\":\"3427 - 3439\"},\"PeriodicalIF\":3.1000,\"publicationDate\":\"2025-07-06\",\"publicationTypes\":\"Journal Article\",\"fieldsOfStudy\":null,\"isOpenAccess\":false,\"openAccessPdf\":\"\",\"citationCount\":\"0\",\"resultStr\":null,\"platform\":\"Semanticscholar\",\"paperid\":null,\"PeriodicalName\":\"Food Science and Biotechnology\",\"FirstCategoryId\":\"97\",\"ListUrlMain\":\"https://link.springer.com/article/10.1007/s10068-025-01921-z\",\"RegionNum\":3,\"RegionCategory\":\"农林科学\",\"ArticlePicture\":[],\"TitleCN\":null,\"AbstractTextCN\":null,\"PMCID\":null,\"EPubDate\":\"\",\"PubModel\":\"\",\"JCR\":\"Q3\",\"JCRName\":\"FOOD SCIENCE & TECHNOLOGY\",\"Score\":null,\"Total\":0}","platform":"Semanticscholar","paperid":null,"PeriodicalName":"Food Science and Biotechnology","FirstCategoryId":"97","ListUrlMain":"https://link.springer.com/article/10.1007/s10068-025-01921-z","RegionNum":3,"RegionCategory":"农林科学","ArticlePicture":[],"TitleCN":null,"AbstractTextCN":null,"PMCID":null,"EPubDate":"","PubModel":"","JCR":"Q3","JCRName":"FOOD SCIENCE & TECHNOLOGY","Score":null,"Total":0}
引用次数: 0

摘要

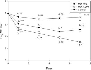
噬菌体为控制食品基质中的多重耐药沙门氏菌提供了一种很有前途的解决方案。本研究分析了针对鼠伤寒沙门菌的四种噬菌体(STP-1、STP-2、STP-3和STP-4)的基因组学、蛋白质组学和功能特征。基因组分析显示裂解相关基因,包括holin、endolyysis和rz样spanins,没有与人类毒性或抗生素耐药性相关的基因。独特的基因组特征,如病毒整合酶家族4和/或tRNA基因,表明功能和进化多样性。蛋白质组学和系统发育分析将噬菌体分为革恩西病毒科、卡仁病毒科和阿克曼病毒科。细胞毒性试验显示,高浓度噬菌体与对照细胞无显著差异(> 10 log PFU/mL, P > 0.05)。将针对鼠伤寒沙门氏菌菌株的噬菌体鸡尾酒应用于牛奶(MOI为1000),7天后细菌计数减少2.11 log CFU/mL,高于先前研究中鸡胸肉的相同噬菌体鸡尾酒。这些发现证明了多菌种噬菌体鸡尾酒作为多用途生物防治剂的卓越功效,特别是在牛奶中。
本文章由计算机程序翻译,如有差异,请以英文原文为准。

Genomic characterization of four Salmonella-specific bacteriophages and evaluation of their cocktail efficacy in milk

Genomic characterization of four Salmonella-specific bacteriophages and evaluation of their cocktail efficacy in milk

Genomic characterization of four Salmonella-specific bacteriophages and evaluation of their cocktail efficacy in milk

Bacteriophages offer a promising solution for controlling multidrug-resistant Salmonella in food matrices. This study analyzed the genomic, proteomic, and functional characteristics of four bacteriophages (STP-1, STP-2, STP-3, and STP-4) targeting Salmonella Typhimurium. Genomic analysis revealed lysis-related genes, including holin, endolysin, and RZ-like spanins, with no genes linked to human toxicity or antibiotic resistance. Unique genomic features, such as viral integrase family 4 and/or tRNA genes, suggest functional and evolutionary diversity. Proteomic and phylogenetic analyses classified the phages within the GuernseyvirinaeCasjensviridae, and Ackermannviridae families. Cytotoxicity tests showed no significant differences at high phage concentrations than control cells (> 10 log PFU/mL, P > 0.05). A phage cocktail targeting S. Typhimurium strains applied to milk (MOI 1,000) reduced bacterial counts by 2.11 log CFU/mL after 7 days, greater than same phage cocktails on chicken breast in a previous study. These findings demonstrate the superior efficacy of multi-strain phage cocktails as versatile biocontrol agents, particularly in milk.

求助全文
通过发布文献求助,成功后即可免费获取论文全文。 去求助
来源期刊
Food Science and Biotechnology
Food Science and Biotechnology FOOD SCIENCE & TECHNOLOGY-
CiteScore
5.40
自引率
3.40%
发文量
174
审稿时长
2.3 months
期刊介绍: The FSB journal covers food chemistry and analysis for compositional and physiological activity changes, food hygiene and toxicology, food microbiology and biotechnology, and food engineering involved in during and after food processing through physical, chemical, and biological ways. Consumer perception and sensory evaluation on processed foods are accepted only when they are relevant to the laboratory research work. As a general rule, manuscripts dealing with analysis and efficacy of extracts from natural resources prior to the processing or without any related food processing may not be considered within the scope of the journal. The FSB journal does not deal with only local interest and a lack of significant scientific merit. The main scope of our journal is seeking for human health and wellness through constructive works and new findings in food science and biotechnology field.
×
引用
GB/T 7714-2015
复制
MLA
复制
APA
复制
导出至
BibTeX EndNote RefMan NoteFirst NoteExpress
×
提示
您的信息不完整,为了账户安全,请先补充。
现在去补充
×
提示
您因"违规操作"
具体请查看互助需知
我知道了
×
提示
确定
请完成安全验证×
copy
已复制链接
快去分享给好友吧!
我知道了
右上角分享
点击右上角分享
0
联系我们:info@booksci.cn Book学术提供免费学术资源搜索服务,方便国内外学者检索中英文文献。致力于提供最便捷和优质的服务体验。 Copyright © 2023 布克学术 All rights reserved.
京ICP备2023020795号-1
ghs 京公网安备 11010802042870号
Book学术文献互助
Book学术文献互助群
群 号:604180095
Book学术官方微信